| Publicación Diario Oficial No.: | 47937, el día:29/December/2010 |
| Publicada en la WEB CREG el: | 29/December/2010 |
| Comentarios hasta el: | 29/March/2011 |
| Favor Dirigir los Comentarios a: | Dr. JAVIER AUGUSTO DIAZ VELASCO - DIRECTOR EJECUTIVO |
EN CONSULTA
| República de Colombia Ministerio de Minas y Energía
COMISIÓN DE REGULACIÓN DE ENERGÍA Y GAS
RESOLUCIÓN No. 184 DE 2010
( 20 DIC. 2010 )
Por la cual se ordena hacer público tres proyectos de resolución de carácter general, para definir la metodología para el establecimiento de los planes de reducción de pérdidas no técnicas en los Sistemas de Distribución Local.
LA COMISIÓN DE REGULACIÓN DE ENERGÍA Y GAS
En ejercicio de sus facultades legales, en especial de las conferidas por la Ley 142 de 1994, y en desarrollo de los Decretos 2253 de 1994 y 2696 de 2004,
C O N S I D E R A N D O:
Que conforme a lo dispuesto por el artículo 9 del Decreto 2696 de 2004, la Comisión debe hacer público en su página web todos los proyectos de resoluciones de carácter general que pretenda adoptar;
Que conforme a lo dispuesto por el artículo 11 del Decreto 2696 de 2004, “tres (3) meses antes de la fecha prevista para que inicie el periodo de vigencia de las fórmulas tarifarias, se deberán hacer públicos en la página Web de la Comisión correspondiente los proyectos de metodologías y de fórmulas, los estudios respectivos y los textos de los proyectos de resoluciones”;
Que la Comisión de Regulación de Energía y Gas, en su Sesión 476 del 20 de diciembre de 2010, aprobó hacer públicos los proyectos de resolución i) “Por la cual se define la metodología para el establecimiento de los planes de reducción de pérdidas no técnicas en los Sistemas de Distribución Local”, ii) “Por la cual se modifica la fórmula tarifaria general que permite a los Comercializadores Minoristas de electricidad establecer los costos de prestación del servicio a usuarios regulados en el Sistema Interconectado Nacional establecida en la Resolución CREG 119 de 2007.” y iii) “Por la cual se modifica la Resolución CREG 121 de 2007, en relación con la asignación de pérdidas entre Comercializadores Minoristas en un Mercado de Comercialización”;
Que en el Documento CREG 138 de 2010 se encuentran los análisis de la propuesta que se somete a consulta;
R E S U E L V E:
Artículo 1. Objeto. Háganse públicos los siguientes proyectos de resolución: i) “Por la cual se define la metodología para el establecimiento de los planes de reducción de pérdidas no técnicas en los Sistemas de Distribución Local”, ii) “Por la cual se modifica la fórmula tarifaria general que permite a los Comercializadores Minoristas de electricidad establecer los costos de prestación del servicio a usuarios regulados en el Sistema Interconectado Nacional establecida en la Resolución CREG 119 de 2007.” y iii) “Por la cual se modifica la Resolución CREG 121 de 2007, en relación con la asignación de pérdidas entre Comercializadores Minoristas en un Mercado de Comercialización”.
Artículo 2. Presentación de comentarios, observaciones y sugerencias. Se invita a los agentes, a los usuarios, a las Autoridades Locales Municipales y Departamentales competentes, a la Superintendencia de Servicios Públicos Domiciliarios y a los demás interesados, para que remitan sus observaciones o sugerencias sobre la propuesta, dentro de los noventa (90) días calendario siguientes a la publicación de la presente Resolución en la página Web de la Comisión de Regulación de Energía y Gas y participen en las consultas públicas que se llevarán a cabo conforme a lo previsto en el Artículo 11, numeral 11.5 del Decreto 2696 de 2004.
Artículo 3. Información. Infórmese en la página web la identificación de la dependencia administrativa y de las personas a quienes se podrá solicitar información sobre el proyecto y hacer llegar las observaciones, reparos o sugerencias, y los demás aspectos previsto en el artículo 10 del Decreto 2696 de 2004.
Artículo 4. Vigencia. La presente Resolución no deroga ni modifica disposiciones vigentes por tratarse de un acto de trámite.
PUBLÍQUESE Y CÚMPLASE
Dada en Bogotá, D.C., 20 DIC. 2010
TOMÁS GONZÁLEZ ESTRADA | JAVIER AUGUSTO DÍAZ VELASCO |
Viceministro de Minas y Energía | Director Ejecutivo |
Delegado del Ministro de Minas y Energía
Presidente |  |
PROYECTO DE RESOLUCIÓN No.1
Por la cual se define la metodología para el establecimiento de los planes de reducción de pérdidas no técnicas en los Sistemas de Distribución Local.
LA COMISIÓN DE REGULACIÓN DE ENERGÍA Y GAS
en ejercicio de las atribuciones legales, en especial las conferidas por las Leyes 142 y 143 de 1994, y los decretos 1524 y 2253 de 1994.
C O N S I D E R A N D O:
Que conforme a lo previsto en el numeral 14.10 del artículo 14, de la Ley 142 de 1994 la libertad regulada es el régimen de tarifas mediante el cual la comisión de regulación respectiva fijará los criterios y la metodología con arreglo a los cuales las empresas de servicios públicos domiciliarios pueden determinar o modificar los precios máximos para los servicios ofrecidos al usuario o consumidor;
Que de acuerdo con el numeral 88.1 del artículo 88 de la Ley 142 de 1994, “las empresas deberán ceñirse a las fórmulas que defina periódicamente la respectiva comisión para fijar sus tarifas, salvo en los casos excepcionales que señala la Ley. De acuerdo con los estudios de costos, la comisión reguladora podrá establecer topes máximos y mínimos tarifarios, de obligatorio cumplimiento por parte de las empresas; igualmente, podrá definir las metodologías para determinación de tarifas si conviene en aplicar el régimen de libertad regulada o vigilada”;
Que en concordancia con lo anterior, el artículo 11 de la Ley 143 de 1994 dispone que, bajo el régimen tarifario de libertad regulada le corresponde a la Comisión de Regulación de Energía y Gas fijar “los criterios y la metodología con arreglo a los cuales las empresas de electricidad podrán determinar o modificar los precios máximos para los servicios ofrecidos”;Que según lo dispuesto en el artículo 87 de la Ley 142 y el artículo 44 de la Ley 143 del mismo año, el régimen tarifario para usuarios finales regulados de una misma empresa estará orientado por los criterios de eficiencia económica, suficiencia financiera, neutralidad, solidaridad y redistribución del ingreso, simplicidad y transparencia;
Que en virtud del principio de eficiencia económica definido en el numeral 87.1 del artículo 87 de la Ley 142 y el artículo 44 de la Ley 143 del mismo año, el régimen de tarifas procurará que éstas se aproximen a lo que serían los precios de un mercado competitivo, garantizándose una asignación eficiente de recursos en la economía;
Que el artículo 144 de la Ley 142 de 1994 establece que los contratos uniformes pueden exigir que los suscriptores o usuarios adquieran, instalen, mantengan y reparen los instrumentos necesarios para medir sus consumos, que la empresa podrá establecer en las condiciones uniformes del contrato las características técnicas de los medidores, y del mantenimiento que deba dárselas y que será obligación de los usuarios hacerlos reparar o reemplazarlos, a satisfacción de la empresa, cuando se establezca que el funcionamiento no permite determinar en forma adecuada los consumos, o cuando el desarrollo tecnológico ponga a su disposición instrumentos de medida más precisos;
Que de acuerdo con el numeral 87.8 del artículo 87 de la Ley 142 de 1994, toda tarifa tendrá un carácter integral, en el sentido de que supondrá una calidad y grado de cobertura del servicio, cuyas características definirán las comisiones reguladoras. Un cambio en estas características se considerará como un cambio en la tarifa;Que según lo previsto en el artículo 6º de la Ley 143 de 1994, la actividad de distribución de energía eléctrica se rige por los principios de eficiencia, calidad, continuidad, adaptabilidad, neutralidad, solidaridad y equidad;Que conforme al artículo 126 de la Ley 142 de 1994, las fórmulas tarifarias tendrán una vigencia de cinco (5) años, salvo que antes haya acuerdo entre la empresa de servicios públicos y la comisión para modificarlas o prorrogarlas por un período igual.
Que de acuerdo con lo previsto en los artículos 23, literales c) y d), y 41 de la Ley 143 de 1994, es función de la Comisión de Regulación de Energía y Gas definir la metodología para el cálculo y fijar las tarifas por el acceso y uso de las redes eléctricas, así como el procedimiento para hacer efectivo su pago;
Que el artículo 45 de la Ley 143 de 1994 dispuso que “los costos de distribución que servirán de base para la definición de tarifas a los usuarios regulados del servicio de electricidad, por parte de la Comisión de Regulación de Energía y Gas, tendrán en cuenta empresas eficientes de referencia según áreas de distribución comparables, teniendo en cuenta las características propias de la región, tomarán en cuenta los costos de inversión de las redes de distribución, incluido el costo de oportunidad de capital, y los costos de administración, operación y mantenimiento por unidad de potencia máxima suministrada. Además, tendrán en cuenta niveles de pérdidas de energía y potencia característicos de empresas eficientes comparables”;
Que mediante el Decreto 387 de 2007, modificado por el Decreto 4977 de 2007, el Gobierno Nacional estableció las políticas generales en relación con la actividad de comercialización del servicio de energía eléctrica;
Que la Comisión de Regulación de Energía y Gas mediante la Resolución CREG 119 de 2007 estableció la fórmula tarifaria general que permite a los Comercializadores Minoristas de electricidad establecer los costos de prestación del servicio a usuarios regulados en el Sistema Interconectado Nacional;
Que la Comisión de Regulación de Energía y Gas, mediante la Resolución CREG 121 de 2007, incorporó las políticas definidas en el artículo 3 del Decreto 387 de 2007, modificado por el Decreto 4977 del 27 de diciembre de 2007, en relación con la asignación de pérdidas entre Comercializadores Minoristas en un Mercado de Comercialización;
Que la Comisión de Regulación de Energía y Gas, mediante la Resolución CREG 097 de 2008, aprobó los principios generales y la metodología para el establecimiento de los cargos por uso de los Sistemas de Transmisión Regional y Distribución Local. Dicha Resolución incluye disposiciones correspondientes al tratamiento de las pérdidas reconocidas en los sistemas de transmisión regional y distribución local;
Que para el establecimiento de las pérdidas a reconocer por Operador de Red, la Comisión contrató la “Consultoría para la determinación de las pérdidas de energía en los mercados de comercialización presentes en el SIN y definición de criterios para la evaluación de Planes de Reducción y/o mantenimiento de pérdidas de Energía. CDP-152-07”, con la firma IEB Ingeniería Especializada S.A. cuyo documento final fue publicado en la página Web de la CREG con la Circular CREG 057 de 2009, mediante la cual se divulgaron los resultados obtenidos por el consultor;
Que a través de las comunicaciones con radicados CREG E-2010-000872, E-2010-000913, E-2010-000315, E-2010-000891, E-2010-000925, E-2010-000930, E-2010-000934, E-2010-000935, E-2010-000936, E-2010-000937, E-2010-000939, E-2010-000941 y E-2010-000964 se recibieron comentarios de EPSA S.A. E.S.P., EDEQ S.A. E.S.P., EMCALI E.I.C.E., EEC S.A. E.S.P., CODENSA S.A. E.S.P., ASOCODIS, CHEC S.A. E.S.P., ELECTRICARIBE S.A. E.S.P., ENERTOLIMA S.A. E.S.P., CENS S.A. E.S.P., EPM E.S.P., DISPAC S.A. E.S.P. y CETSA S.A. E.S.P. respectivamente;
Que se realizó un convenio interadministrativo entre la CREG y la Universidad Tecnológica de Pereira para el estudio de las pérdidas de energía eléctrica en las redes del nivel de tensión 1 de los sistemas de distribución local y el acompañamiento en la definición de modelos de estimación de costos de planes de reducción de pérdidas;
R E S U E L V E:
Artículo 1. Objeto y Ámbito de aplicación. La presente resolución tiene por objeto establecer la metodología para el establecimiento de los planes de reducción de pérdidas no técnicas de energía en los Sistemas de Distribución Local. Se aplicará a los Operadores de Red y Comercializadores Minoristas que atienden usuarios regulados y no regulados en el Sistema Interconectado Nacional. Artículo 2. Definiciones. Para la interpretación y aplicación de esta Resolución, se tendrán en cuenta, además de las definiciones establecidas en las Leyes 142 y 143 de 1994, en el Decreto 387 de 2007 y en las resoluciones vigentes de la CREG, las siguientes:
Actividad de Comercialización Minorista: Actividad que consiste en la intermediación comercial entre los agentes que prestan los servicios de generación, transmisión y distribución de energía eléctrica y los usuarios finales de dichos servicios, bien sea que esa actividad se desarrolle o no en forma combinada con otras actividades del sector eléctrico, según lo dispuesto por la regulación y la ley.
Comercializador Minorista: Generador-Comercializador, Distribuidor-Comercializador o Comercializador que desarrolla la Actividad de Comercialización Minorista.
CAPj: Costo anual del Plan de Reducción de Pérdidas no Técnicas del mercado de comercialización j, aprobado al OR.
CPROGj,m: Cargo en $/kWh por concepto del Plan de Reducción de Pérdidas no Técnicas, del mercado de comercialización j, en el mes m.
Liquidador y Administrador de Cuentas -LAC-: Entidad encargada de la Liquidación y Administración de Cuentas de los cargos por uso de las redes del Sistema Interconectado Nacional que le sean asignadas y de calcular el ingreso regulado de los transportadores, de acuerdo con las disposiciones contenidas en la regulación vigente.
Mercado de Comercialización: Conjunto de Usuarios Regulados y No Regulados conectados a un mismo Sistema de Transmisión Regional y/o Distribución Local, servido por un mismo Operador de Red (OR), y los conectados al STN del área de influencia del respectivo OR.
Operador de Red de STR y SDL (OR). Persona encargada de la planeación de la expansión, las inversiones, la operación y el mantenimiento de todo o parte de un STR o SDL, incluidas sus conexiones al STN. Los activos pueden ser de su propiedad o de terceros. Para todos los propósitos son las empresas que tienen Cargos por Uso de los STR o SDL aprobados por la CREG. El OR siempre debe ser una Empresa de Servicios Públicos Domiciliarios. La unidad mínima de un SDL para que un OR solicite Cargos de Uso corresponde a un Municipio.
Pérdidas Eficientes de Energía: Corresponden a las pérdidas técnicas de energía en los niveles de tensión 2, 3 y 4 aprobadas en las resoluciones particulares que aprueban cargos por uso con base en la Resolución CREG 097 de 2008. En el nivel de tensión 1 es la suma de las pérdidas técnicas de energía más las pérdidas no técnicas reconocidas.
Pérdidas No Técnicas de Energía: Energía que se pierde en un Mercado de Comercialización por motivos diferentes al transporte y transformación de la energía eléctrica.
Pérdidas Técnicas de Energía: Energía que se pierde en los Sistemas de Transmisión Regional y/o Distribución Local durante el transporte y la transformación de la energía eléctrica. El valor de las pérdidas técnicas de nivel de tensión 1 se aprobará en resolución aparte.
Pérdidas Totales de Energía: Energía total que se pierde en un Mercado de Comercialización y en los Sistemas de Transmisión y/o Distribución Local por efecto de las Pérdidas Técnicas y No Técnicas de Energía, calculada según lo expuesto en el numeral 4.1.1 del ANEXO 4 de la presente resolución.
Período de evaluación: Cada uno de los dos semestres de un año. El primer período incluirá los meses previos al primer semestre completo de ejecución del plan.
Plan de Reducción de Pérdidas No Técnicas: Conjunto de actividades que debe ejecutar un Operador de Red para reducir el índice de pérdidas de su sistema y que debe contener como mínimo las etapas de planeación, implementación, seguimiento y control.
Senda de Reducción de Pérdidas: Trayectoria del índice de pérdidas totales de energía que un Operador de Red deberá seguir en un período determinado para lograr un índice de pérdidas de energía menor al del nivel inicial.
Sistema de Distribución Local (SDL). Sistema de transporte de energía eléctrica compuesto por el conjunto de líneas y subestaciones, con sus equipos asociados, que operan a los Niveles de Tensión 3, 2 y 1 dedicados a la prestación del servicio en un Mercado de Comercialización.
Sistema de Transmisión Nacional (STN). Es el sistema interconectado de transmisión de energía eléctrica compuesto por el conjunto de líneas, equipos de compensación y subestaciones que operan a tensiones iguales o superiores a 220 kV, los transformadores con este nivel de tensión en el lado de baja y los correspondientes módulos de conexión.
Sistema de Transmisión Regional (STR). Sistema de transporte de energía eléctrica compuesto por los Activos de Conexión del OR al STN y el conjunto de líneas, equipos y subestaciones, con sus equipos asociados, que operan en el Nivel de Tensión 4. Los STR pueden estar conformados por los activos de uno o más Operadores de Red.
Usuario. Persona natural o jurídica que se beneficia con la prestación de un servicio público, bien como propietario del inmueble en donde éste se presta, o como receptor directo del servicio. A este último usuario se le denomina también consumidor. Para los efectos de esta Resolución se denominará Usuario Final.
Usuario Conectado Directamente al STN: Un usuario final está conectado directamente al STN cuando su equipo de medida está ubicado en el punto de conexión al STN y tiene un transformador de uso exclusivo para su conexión al STN. También son usuarios conectados directamente al STN los que a la fecha de entrada en vigencia de la Resolución CREG 097 de 2008 tenían reconocida dicha condición y por lo tanto no se les cobraban cargos por uso de STR o SDL a esa fecha.
Un usuario conectado directamente al STN pertenece al Mercado de Comercialización del OR que atiende la mayor cantidad de usuarios en el municipio donde se encuentre ubicado. Cuando el usuario conectado directamente al STN está ubicado en un municipio donde no existan usuarios conectados a ningún OR del SIN, pertenecerá al Mercado de Comercialización del OR que atienda la mayor cantidad de usuarios en el departamento donde se encuentre ubicado.
Artículo 3. Inicio del Programa de Reducción de Pérdidas no Técnicas. Para efectos de lo establecido en el Artículo 14 de la Resolución CREG 119 de 2007, el inicio del programa de reducción de pérdidas no técnicas corresponde al primer día hábil del mes siguiente a la fecha límite para presentación de los planes.
Artículo 4. Criterios generales. La metodología para la aprobación de los planes de reducción de pérdidas técnicas tiene en cuenta los siguientes criterios:
a) Se remunerarán los costos eficientes del plan de reducción de pérdidas no técnicas para cada OR, excluyendo la infraestructura utilizada en la prestación del servicio que es remunerada a través de los cargos por uso del STR o SDL vigentes o la que se encuentre en servicio a la fecha de aprobación del plan.
También se excluyen de esta remuneración las inversiones requeridas para garantizar la confiabilidad, mejorar la calidad del servicio y aquellas destinadas a reducir las pérdidas técnicas e, igualmente, aquellos costos y gastos asociados con la recuperación de pérdidas que ya se encuentren remunerados.
b) Los costos eficientes del plan están constituidos por las inversiones y por los costos y gastos en que incurra el agente en desarrollo del mismo.
c) Las inversiones que correspondan a activos de uso de un OR y sean remuneradas en el plan de reducción de pérdidas no técnicas, se incluirán en la variable CAPj hasta que sean incluidos en los cargos que se aprueben con base en la metodología de distribución que reemplace la establecida en la Resolución CREG 097 de 2008 o finalice la vigencia del cobro de la variable CAPj.
d) La remuneración de los planes de reducción de pérdidas será aplicable únicamente en los mercados de comercialización que presenten índices de pérdidas superiores a las pérdidas reconocidas a la fecha de entrada en vigencia de esta resolución y tendrá una duración de cinco años.
e) La remuneración asociada con los planes de reducción de pérdidas está sujeta al cumplimiento de las metas aprobadas a cada OR en resolución particular. El no cumplimiento de las metas será causal de devolución de parte o de la totalidad de los recursos recibidos por este concepto, para lo cual se tendrá en cuenta el grado de cumplimiento de la meta.
Artículo 5. Requisitos para la presentación del Plan de Reducción de Pérdidas no Técnicas. El OR deberá someter para aprobación de la CREG el Plan de Reducción de pérdidas no técnicas que debe contener, como mínimo, lo establecido en el ANEXO 1.
Artículo 6. Plazo para la Presentación de los planes de reducción de pérdidas no técnicas. Los OR deberán presentar su plan de reducción de pérdidas no técnicas dentro de los noventa (90) días calendario posteriores a la fecha de publicación de la presente resolución en el Diario Oficial.
Parágrafo 1. En caso de que el OR con pérdidas superiores a las reconocidas no presente un Plan de Reducción de Pérdidas no técnicas en el plazo determinado, la variable CPROGj,m será igual a cero y no podrá recibir ingresos por este concepto.
Parágrafo 2. Los OR de los mercados de comercialización que a la vigencia de la presente Resolución presenten índices de pérdidas inferiores o iguales a las pérdidas reconocidas, no deberán presentar un Plan de Reducción de Pérdidas no técnicas. La variable CPROGj,m para este mercado será igual a cero y no podrá recibir ingresos por este concepto.
Artículo 7. Evaluación del plan presentado por un OR. Como resultado del proceso de evaluación, análisis de la información y la aplicación de costos eficientes, la CREG aprobará el costo del Plan de reducción de pérdidas no técnicas de energía a cada OR y las metas de reducción de pérdidas presentadas por el mismo agente.
Se verificará que el costo total del plan presentado por el OR no supere el costo total de referencia calculado con el modelo de costos de reducción de pérdidas de referencia a partir de las metas de pérdidas de energía solicitadas por el OR. El costo total del plan a aprobar será el menor entre el costo total del plan y el costo total de referencia.
La CREG podrá aprobar un valor inferior al solicitado por el OR para la ejecución de su Plan, sin perjuicio de lo cual, el OR que acepte la ejecución del Plan deberá cumplir con las metas de reducción de pérdidas para cada período de evaluación.
Artículo 8. Inicio del plan de reducción de pérdidas no técnicas de energía. Una vez en firme la resolución particular que apruebe un plan de reducción de pérdidas no técnicas a un OR, este deberá informar, en un plazo máximo de dos (2) meses, a la CREG, el LAC y a los comercializadores presentes en su mercado, su aceptación del plan y el inicio del cobro de la variable CPROGj aprobado para su sistema siendo la fecha de aceptación la misma fecha de inicio del Plan. Igualmente deberá publicar, en el mismo plazo, en un diario de amplia circulación en su área de influencia, un resumen del plan aprobado, y enviar copia de la publicación efectuada a la CREG.
Parágrafo. En caso de no informar a la CREG la aceptación del plan en el plazo indicado, se entenderá que dicho agente no aceptó el plan de reducción de pérdidas no técnicas aprobado y por tanto no tendrá derecho a ningún cobro por este concepto, ni a volver a presentar un nuevo plan.
Artículo 9. Seguimiento del plan de reducción de pérdidas no técnicas. Una vez iniciado el plan de reducción de pérdidas no técnicas, para revisar el cumplimiento de las metas aprobadas el LAC calculará los índices de pérdidas de acuerdo con la metodología definida en el ANEXO 6 de la presente resolución.
Artículo 10. Causales para la suspensión del reconocimiento de los costos asociados con los planes de reducción de pérdidas. Serán causales de suspensión del reconocimiento de los costos asociados con los planes de reducción de pérdidas las siguientes:
a) Incumplimiento en la meta de reducción de pérdidas en dos períodos de evaluación consecutivos. Se entiende que un OR incumple una meta cuando el resultado final de su índice se encuentra por encima del valor máximo permitido para el respectivo período de evaluación.
b) Cuando la CREG verifique que la vinculación de usuarios a la red está incompleta o desactualizada en el SUI de acuerdo con lo establecido en el ANEXO 7.
c) Cuando los recursos destinados al plan de reducción de pérdidas no técnicas sean utilizados en actividades diferentes a las incluidas en el plan, como se describe en el ANEXO 7.
d) Cuando se encuentren fronteras comerciales entre agentes de responsabilidad del OR j o de responsabilidad del Comercializador integrado con el OR j que no cuenten con su debido registro ante el ASIC o cuando, estando inscritas, su información real difiera de la registrada.
Cuando se presente una de estas situaciones el OR tendrá un plazo de seis (6) meses, a partir de su identificación y notificación al OR correspondiente, para que la frontera sea debidamente registrada o para corregir la información. En caso de que al cabo de dicho periodo no sea registrada o corregida la situación, se entenderá como incumplimiento al Plan y se procederá a la devolución de los ingresos según lo establecido en el Artículo 13 y el Artículo 14 de la presente resolución según corresponda y se dará por finalizado el mismo.
Artículo 11. Causales para la cancelación automática del Plan. Serán causales de cancelación automática del Plan, sin que se requiera declaración de ninguna autoridad, las siguientes:
a) Incumplimiento de las metas del plan durante tres períodos de evaluación consecutivos.
b) Reincidencia en una de las causales de suspensión del plan.
c) Cuando hayan transcurrido seis (6) meses posteriores a la detección y notificación de inconsistencias en la información del vínculo cliente red y el OR no haya corregido la situación, según lo establecido en el ANEXO 7.
d) En caso de que el OR reporte, como parte de la ejecución del plan de reducción de pérdidas no técnicas, redes existentes a la fecha de solicitud del plan, según lo establecido en el ANEXO 7.
e) En el caso de que la CREG encuentre que los ingresos obtenidos por la ejecución del plan sean superiores a la suma de los gastos más los excedentes, según lo establecido en el ANEXO 7.
f) Cuando un OR decida finalizar el Plan.
g) No constituir la fiducia, según lo establecido en el Artículo 12 de la presente resolución.
Artículo 12. Constitución de una Fiducia por suspensión del Plan. Cuando el OR incurra en alguna de las causales de suspensión del plan, según lo establecido en el Artículo 10 de esta Resolución, deberá constituir una fiducia para que allí sean depositados los recursos recaudados por los Comercializadores por concepto del CPROG durante el periodo de suspensión de la remuneración del plan al OR.
El OR tendrá un plazo de un (1) mes para constituir la fiducia y no podrá utilizar los recursos depositados en esta mientras se encuentre suspendida la remuneración del plan al OR. Los costos asociados con la Fiducia estarán a cargo del OR.
Una vez constituida la fiducia el OR deberá comunicar al LAC y a los Comercializadores del mercado la información necesaria para que sean consignados los recursos del programa durante el período de suspensión.
Si al finalizar el siguiente período de evaluación posterior al de la suspensión de la remuneración el OR cumple con la meta aprobada para ese período, se reiniciará la remuneración del plan y el OR podrá cancelar la Fiducia y utilizar los recursos depositados en ésta.
Artículo 13. Devolución de ingresos por parte del OR. Cuando se presente incumplimiento en la ejecución del plan de reducción de pérdidas no técnicas por parte de un OR de acuerdo con lo establecido en el numeral 4 del ANEXO 6 de la presente resolución, ó, en caso de que un OR decida finalizar unilateralmente la ejecución del plan, el OR deberá retornar los ingresos recibidos por este concepto a los usuarios del Mercado de Comercialización, durante los (6) seis meses posteriores a la cancelación del plan, como un valor negativo de la variable CPROGj,m, de acuerdo con la metodología establecida en el numeral 8.2 del ANEXO 8 de la presente resolución.
Artículo 14. Devolución de ingresos depositados en la Fiducia Cuando se presente incumplimiento en la ejecución del plan de reducción de pérdidas no técnicas por parte de un OR de acuerdo con lo establecido en el numeral 4 del ANEXO 6 de la presente resolución ó en caso de que un OR decida finalizar unilateralmente la ejecución del plan, los ingresos depositados en la Fiducia se trasladaran a los usuarios del Mercado de Comercialización durante un periodo de seis (6) meses posteriores a la devolución de ingresos por parte del OR, de que trata el Artículo 13 de esta Resolución, como un valor negativo de la variable CPROGj,m, de acuerdo con la metodología establecida en el numeral 8.3 del ANEXO 8 de la presente resolución.
Artículo 15. Pérdidas reconocidas en los niveles de tensión 2, 3 y 4. Para los niveles de tensión 2, 3 y 4, las pérdidas reconocidas, Pj,n, n= 2, 3 o 4, corresponden a las pérdidas técnicas aprobadas a cada OR en la resolución particular de costos y cargos máximos de distribución, calculadas de acuerdo con lo establecido en el numeral 12.1 del anexo general de la Resolución CREG 097 de 2008. De acuerdo con los parágrafos 1 y 2 del artículo 14 de la Resolución CREG 119 de 2007 los valores de las variables IPRn,m,j corresponderán a los definidos en este artículo a partir del primer día hábil del mes siguiente a la fecha límite para la presentación de los planes.
Artículo 16. Pérdidas reconocidas en el nivel de tensión 1, Pj,1. Corresponden a las pérdidas eficientes en el nivel de tensión 1, definidas en esta resolución, y son calculadas de acuerdo con lo establecido en la Resolución CREG 097 de 2008 y el ANEXO 5 de la presente resolución. Esté valor de pérdidas reemplaza al aprobado en la resolución particular de costos y cargos máximos de distribución para cada OR y el definido en la Resolución CREG 119 de 2008 para cada mercado de comercialización. De acuerdo con los parágrafos 1 y 2 del artículo 14 de la Resolución CREG 119 de 2007 los valores de las variables IPR1,m,j corresponderán a los definidos en este artículo a partir del primer día hábil del mes siguiente a la fecha límite para presentación de los planes.
Parágrafo. El valor de la variable Pj,1 será igual al menor valor entre el índice de pérdidas reconocidas del nivel de tensión 1 (Pj,1) vigente para el OR al momento de presentación del plan de reducción de pérdidas no técnicas y el índice de Pérdidas Eficientes de Energía de Referencia de Nivel de Tensión 1, cuando se presente una de las siguientes situaciones:
a) El OR no presentó plan de reducción de pérdidas no técnicas en la oportunidad establecida en el Artículo 6 de la presente resolución.
b) Cuando el OR haya presentado un plan de reducción de pérdidas no técnicas que no fue aprobado por incumplimiento de los requisitos mínimos exigidos en el Artículo 5 de la presente resolución.
c) Cuando la CREG haya aprobado la ejecución del plan en resolución particular y el OR no haya informado a la CREG su aceptación en el término establecido en la presente resolución.
d) Cuando se cancele el plan según lo establecido en el Artículo 11 de la presente resolución.
Este índice será aplicable a partir del tercer mes de la publicación del índice de Pérdidas Eficientes de Energía de Referencia de Nivel de Tensión 1 por parte de la CREG.
Artículo 17. Verificación de la información. Durante el proceso de aprobación del plan de reducción de pérdidas no técnicas y durante su ejecución, la CREG podrá hacer la revisión de la información entregada, cuando lo estime conveniente.
La CREG aplicará el mecanismo de verificación que se establece en el ANEXO 7 de la presente Resolución, sin perjuicio de la facultad de decretar otras pruebas conforme al artículo 108 de la Ley 142 de 1994.
Artículo 18. Actualización, Liquidación y Recaudo del CPROGj,m Los cargos por concepto de remuneración de los planes de reducción de pérdidas serán actualizados y liquidados por el Liquidador y Administrador de Cuentas (LAC) y facturados y recaudados por los OR a los comercializadores que atienden Usuarios en su mercado de comercialización, siguiendo las disposiciones contenidas en el ANEXO 3 de la presente Resolución.
Artículo 19. Variación del Costo Unitario de Prestación del Servicio. Los comercializadores no podrán efectuar incrementos mensuales superiores al 3% del Costo Unitario de Prestación del Servicio por la aplicación del cobro de la variable CPROGj,m.
Artículo 20. Recursos. De acuerdo con lo previsto por el artículo 113 de la Ley 142 de 1994, contra la decisión mediante la cual la Comisión apruebe los planes de reducción de pérdidas de cada Operador de Red, procede el recurso de reposición, ante la Dirección Ejecutiva de la Comisión, dentro de los cinco (5) días hábiles siguientes a la fecha en que sea notificada o publicada, según el caso.
Artículo 21. Vigencia. La presente resolución rige a partir de su publicación en el Diario Oficial y deroga las disposiciones que le sean contrarias.
Firma del proyecto
TOMÁS GONZÁLEZ ESTRADA | JAVIER AUGUSTO DÍAZ VELASCO |
Viceministro de Minas y Energía | Director Ejecutivo |
Delegado del Ministro de Minas y Energía |  |
Presidente |  |

ANEXO 1 GUÍA PARA LA PRESENTACIÓN DEL PLAN DE REDUCCIÓN DE PÉRDIDAS no técnicas
El plan de reducción de pérdidas no técnicas contendrá como mínimo la siguiente información:
· Resumen del Plan: El cual debe incluir el costo total, el cálculo de la variable CAPj, el índice de pérdidas inicial y las metas para cada período de evaluación, según el formato definido en el numeral 1.1 del presente anexo.
· Balance de energía por nivel de tensión para el año anterior al de presentación de la solicitud, detallando el código SIC de cada Frontera Comercial, según lo expuesto en el ANEXO 4 de la presente resolución.
· Listado de todas las fronteras comerciales existentes en el Mercado de Comercialización del OR, señalando el tipo de frontera, el código SIC y el nivel de tensión asociado.
· Formato de actividades a desarrollar en el plan de reducción de pérdidas no técnicas como se presenta en el numeral 1.2 del presente anexo.
· Inventario de las redes antifraude existentes a la fecha de presentación del Plan, con los correspondientes códigos de transformadores de distribución asociados.
· El OR deberá contar con un procedimiento verificado por un auditor externo que garantice la actualización permanente de la información de georreferenciación la red y de la vinculación de usuarios a los circuitos y transformadores de aquellos que son intervenidos con el plan.
· Inventario georreferenciado de los equipos de medida instalados por el OR para realizar balances energéticos entre niveles de tensión y su ubicación en un diagrama unifilar del sistema, existentes a la fecha de presentación del plan.
· Inventario de los macromedidores existentes a la fecha de presentación del plan, relacionando el código del transformador donde se encuentra ubicado el equipo de medida.
· Inventario de los sistemas de medición centralizada existentes a la fecha de presentación del plan, relacionando el código del transformador donde se encuentra ubicado el equipo de medida.
· Listado de usuarios conectados directamente al STN en el Mercado de Comercialización del OR, indicando su ubicación y código SIC.
· Certificación del revisor fiscal detallando el código de las cuentas creadas en la contabilidad, que permitan el registro independiente de todas las actividades relacionadas con el plan de reducción de pérdidas no técnicas.
1.1 Formato resumen del plan de reducción de pérdidas no técnicas
Variable (%) |  |
| Índice de pérdidas de Nivel de Tensión 1 al inicio del plan, Pj,1,0 | |
| Índice de pérdidas totales de energía al inicio del plan, IPTj,0 |  |
| Metas de la senda de reducción de pérdidas |  |
| Periodo de evaluación 1, IPTSj,1 | |
| Periodo de evaluación 2, IPTSj,2 | |
| Periodo de evaluación 3, IPTSj,3 | |
| Periodo de evaluación 4, IPTSj,4 | |
| Periodo de evaluación 5, IPTSj,5 | |
| Periodo de evaluación 6, IPTSj,6 | |
| Periodo de evaluación 7, IPTSj,7 | |
| Periodo de evaluación 8, IPTSj,8 | |
| Periodo de evaluación 9, IPTSj,9 | |
| Periodo de evaluación 10, IPTSj,10 | |
Las metas de reducción de pérdidas de cada período de evaluación deben cumplir con la siguiente condición:
Donde:
PTSj,s: Índice de Pérdidas Totales de la Senda propuesto por el OR j en el período de evaluación s al momento de presentación del plan.
1.2 Formato de actividades a desarrollar
Firma del proyecto
ANEXO 2 CÁLCULO DEL COSTO DEL PLAN
El costo del plan de reducción de pérdidas no técnicas está compuesto por las inversiones asociadas con la reducción de pérdidas no técnicas y por los costos y gastos en que incurra el agente en la ejecución del plan.
2.1 Calculo de la variable CAPj
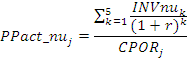
La variable CAPj corresponde a la anualidad a remunerar al Operador de Red por la ejecución del plan de reducción de pérdidas no técnicas.

Con:




Donde:
CTPj: Costo total del plan de reducción de pérdidas no técnicas para el OR j, en pesos de diciembre de 2010, calculado de acuerdo con lo establecido en el numeral 2.2 de este Anexo.
PPact_uj: Participación del total de la inversión eficiente en activos que son clasificados como activos de uso de la actividad de distribución de energía eléctrica, necesarios para la ejecución del plan de reducción de pérdidas no técnicas, respecto del costo del plan ajustado.
PPact_nuj: Participación del total de la inversión eficiente en activos que no son clasificados como activos de uso de la actividad de distribución de energía eléctrica, necesarios para la ejecución del plan de reducción de pérdidas no técnicas, respecto del costo del plan ajustado.
PPaomj: Participación del total de costos y gastos eficientes, necesarios para la ejecución del plan de reducción de pérdidas no técnicas, respecto del costo del plan ajustado.
INVuk: Inversión en el año k en activos que son clasificados como activos de uso de la actividad de distribución de energía eléctrica, necesarios para la ejecución del plan de reducción de pérdidas no técnicas.
INVnuk: Inversión en el año k en activos que no son clasificados como activos de uso de la actividad de distribución de energía eléctrica, necesarios para la ejecución del plan de reducción de pérdidas no técnicas.
AOMk: Costos y gastos en el año k, necesarios para la ejecución del plan de reducción de pérdidas no técnicas.
CPORj: Costo total del plan de reducción de pérdidas no técnicas, en pesos de diciembre de 2010, presentado por el OR j para su aprobación.
r: Tasa de Retorno para la remuneración con la Metodología de Ingreso Regulado utilizada en la Resolución CREG 097 de 2008. Es igual a 13,0 %.
AOMdj: Promedio anual de costos y gastos asociados con la recuperación de pérdidas de energía reconocidos en el AOM de la actividad de distribución de energía eléctrica según lo establecido en la Resolución CREG 097 de 2008.
PAOMGj,04-07: Porcentaje de AOM gastado por el OR j, en el periodo 2004-2007. Valor utilizado en la aprobación de cargos por uso de acuerdo con la Resolución CREG 097 de 2008.
PAOMj,ref: Porcentaje de AOM de referencia para el OR j. Valor utilizado en la aprobación de de cargos por uso de acuerdo con la Resolución CREG 097 de 2008
AOMPj,k: Gastos del OR j en planes de reducción de pérdidas de energía, durante los años k (de 2004 al 2007), donde K es el número de años con información reportada. Esta información corresponde a la entregada por los OR en respuesta a la Circular CREG 019 de 2010, en pesos de diciembre de 2010. En el caso de que un OR no haya reportado información en respuesta a esta Circular, esta variable se calculará de la siguiente manera:


Donde:
PA: Máximo porcentaje de gastos en reducción de pérdidas respecto al AOM gastado durante el periodo 2004-2007, calculado para los Operadores de Red que presentaron información en respuesta a la Circular CREG 019 de 2010.
AOMGj,04-07: AOM gastado por el OR j, en el periodo 2004-2007. Valor utilizado en la aprobación de de cargos por uso de acuerdo con la Resolución CREG 097 de 2008
2.2 Costo total del plan
El costo total del plan de reducción de pérdidas no técnicas a aprobar a cada OR se determinará según la siguiente expresión:

CTPj: Costo total del plan de reducción de pérdidas no técnicas para el OR j, en pesos de diciembre de 2010.
CPCEj: Costo total del plan de reducción de pérdidas no técnicas, en pesos de diciembre de 2010, resultante de la aplicación del modelo de costos eficientes de que trata el numeral 2.3 del presente anexo.
CPORj: Costo total del plan de reducción de pérdidas no técnicas, en pesos de diciembre de 2010, presentado por el OR j para su aprobación.
2.3 Calculo de la variable CPCEj
La variable CPCEj se obtendrá a partir del modelo de optimización desarrollado por la CREG, considerando los índices de pérdidas iniciales de cada OR, el índice de pérdidas esperado al final del plan y los costos eficientes de reducción de pérdidas no técnicas obtenidos a partir de la información entregada por los OR en respuesta a la Circular 019 de 2010.
El modelo de optimización será publicado por la Comisión mediante Circular aparte.
2.3.1 Listado de activos a reconocer
Se incluyen las siguientes inversiones: Medidores de usuarios finales regulados que no cuenten con medidor a la fecha de presentación del plan y su costo no sea trasladado al usuario, medidores en la arranque de todas las líneas, medida en los puntos de entrada de cada nivel de tensión, Macromedidores instalados en transformadores de distribución e inversiones en redes antifraude y sistemas de medición centralizada.
En el desarrollo de los planes de reducción de pérdidas de energía, en las redes de nivel de tensión 1 donde estén instalados o se vayan a instalar sistemas de medición centralizada, el Operador de Red podrá exigir a los Comercializadores que sus usuarios tengan un medidor que incluya el elemento de comunicaciones para interrogación remota y/o para lectura de consumos acumulados a través de un visualizador para lectura en terreno. El usuario podrá cambiar su medidor por uno de las calidades exigidas o acogerse a la medida dispuesta por el OR a través de su sistema de medición centralizada. En este último caso, el medidor no tendrá ningún costo para el usuario y la responsabilidad por su custodia es del OR.
Se incluyen también las unidades constructivas relacionadas en el numeral 5.2 del Anexo General de la Resolución CREG 097 de 2008. Para activos de nivel de tensión 1 se reconocen los relacionados en el numeral 5.3 del mismo Anexo.
Las inversiones realizadas con anterioridad a la fecha de presentación del Plan no se consideran dentro del cálculo de la remuneración de que trata la presente resolución.
Tampoco se consideraran las inversiones realizadas o a efectuar con recursos de Fondos de la Nación, PRONE, FAER, FOES.
2.3.2 Listado de actividades a reconocer
Se incluyen las actividades relacionadas en el numeral 1.2 del ANEXO 1 de la presente resolución.
Firma del proyecto
ANEXO 3 METODOLOGÍA PARA LA ACTUALIZACIÓN, LIQUIDACIÓN Y RECAUDO DEL CPROGj,m
El ingreso mensual para remunerar los planes de reducción de pérdidas, en un mercado de comercialización, será liquidado y actualizado por el Liquidador y Administrador de Cuentas (LAC), mediante la aplicación de los CAPj, aprobados a cada OR, hasta que finalice o se cancele el plan de un OR.
3.1 Determinación del cargo mensual
El cargo que debe ser cobrado a los usuarios finales en cada mercado de comercialización será calculado y publicado por el LAC los primeros cinco (5) días de cada mes, de la siguiente manera:
Donde:
CPROGj,m: Cargo en $/kWh por concepto del Plan de Reducción de Pérdidas no técnicas, del mercado de comercialización j, en el mes m.
CAPj: Costo anual del Plan de Reducción de Pérdidas ($), del mercado de comercialización j, aprobado al OR, calculado según lo expuesto en el numeral 2.1 del ANEXO 2 de la presente resolución.
VSTNj,m: Ventas en kWh a usuarios conectados directamente al STN que corresponden al mercado de comercialización j en el mes m. Corresponde a las lecturas tomadas directamente de los medidores de los usuarios conectados directamente al STN.
Eej,n,s: Energía de entrada al sistema del OR j en el Nivel de Tensión n, en el período de evaluación s, expresada en kWh, calculada como se establece en el numeral 4.1.3 del ANEXO 4.
IPTj,s: Índice de pérdidas totales de energía en el mercado de comercialización servido por el OR j, en el período de evaluación s, calculado como se establece en el numeral 4.1 del ANEXO 4.
IPPm-1: Índice de Precios al Productor Total Nacional correspondiente al mes m-1.
IPPo: Índice de Precios al Productor Total Nacional correspondiente al mes de diciembre de 2007.
3.2 Liquidación y recaudo
El LAC determinará el valor que cada Comercializador debe trasladar al OR en los plazos definidos en el reglamento de comercialización, de acuerdo con la siguiente expresión:

Donde:
LCPROGi,j,m: Liquidación por concepto de CPROG, en pesos, en el mercado de comercialización j, por las ventas en el mes m, que facturará el OR j al comercializador i.
VCi,j,m-1: Ventas de energía del Comercializador i, en el mercado de comercialización j, durante el mes de consumo m-1, considerando las ventas a usuarios conectados directamente al STN que hacen parte del mercado de comercialización j, reportadas al SUI.
Cuando, para un comercializador no incumbente, el LAC encuentre diferencias de más del 3% entre las ventas totales reportadas al SUI y la suma de la energía medida, sin referir al STN, en las fronteras comerciales de su responsabilidad para un mismo mes; el comercializador deberá soportar la razón de las diferencias ante el LAC en un término de (2) dos días hábiles siguientes a la publicación del informe de ventas que efectúe el LAC. En caso de no explicar las diferencias el LAC utilizará una energía equivalente a (2) dos veces el mayor valor entre los dos comparados.
La facturación y recaudo a los agentes comercializadores le corresponderá a los OR, utilizando la liquidación elaborada por el LAC.
Los ingresos provenientes de los usuarios por concepto del CPROG deberán ser trasladados por los comercializadores a los respectivos OR de acuerdo con los plazos establecidos en el Reglamento de Comercialización.
Se debe tener en cuenta que para la liquidación de los primeros meses, en los casos que la variable CPROG sea superior al 3% del costo unitario de Prestación del servicio del comercializador integrado al OR, los comercializadores del mercado deberán trasladar únicamente lo que corresponda según el aumento determinado en el Artículo 19 de la presente resolución.
Firma del proyecto
ANEXO 4 CÁLCULO DE ÍNDICES DE PÉRDIDAS
El ASIC debe aplicar la siguiente metodología para el cálculo de las pérdidas totales de energía, las pérdidas de energía en el Nivel de Tensión 1 y las pérdidas de energía a distribuir en los mercados de comercialización.
Para determinar las pérdidas de energía se deberá emplear la información de las fronteras comerciales consolidadas y registradas en el ASIC y la reportada al SUI de acuerdo con los formatos C1 y C2 de la Circular Conjunta SSPD – CREG 0002 de 2002 y la Resolución SSPD 20102400008055 de 2010 o aquella que la complemente, modifique o sustituya.
4.1 Pérdidas totales de energía y perdidas de energía en el Nivel de tensión 1 en los mercados de comercialización
4.1.1 Pérdidas totales de energía
Las pérdidas totales de energía en el mercado de comercialización servido por el OR j para el período de evaluación s son:
El índice de pérdidas totales de energía en el mercado de comercialización servido por el OR j para el período de evaluación s es:
Donde:
PTj,s Pérdidas totales de energía en el mercado de comercialización servido por el OR j, para el período de evaluación s, expresadas en kWh.
IPTj,s Índice de pérdidas totales de energía en el mercado de comercialización servido por el OR j, para el período de evaluación s.
Eej,n,s Energía de entrada al sistema del OR j en el Nivel de Tensión n durante los períodos de evaluación s y s-1, expresada en kWh. Calculada como se establece en el numeral 4.1.3.
Esj,n,s Energía de salida del sistema del OR j en el Nivel de Tensión n durante los períodos de evaluación s y s-1, expresada en kWh. Calculada como se establece en el numeral 4.1.4.
FeNS,j,n,s Flujo de energía desde Niveles de Tensión superiores en el sistema del OR j, al Nivel de Tensión n, durante los períodos de evaluación s y s-1, expresado en kWh. Calculada como se establece en el numeral 4.1.6.
FsOR,j,n,s Flujo de energía de salida desde el sistema del OR j en el Nivel de Tensión n, a otros STR y/o SDL, durante los períodos de evaluación s y s-1, expresado en kWh. Corresponde a la suma de las energías medidas en las fronteras comerciales entre OR, sin referir al STN, registradas en el ASIC
n Corresponde al Nivel de Tensión para el cual se determina la energía. Toma los valores de 1, 2, 3 y 4.
4.1.2 Pérdidas de energía en el Nivel de Tensión 1
Para determinar las pérdidas del Nivel de Tensión 1, el ASIC debe realizar el balance de energía para los niveles de tensión superiores, empleando lo definido en el presente anexo.
Las pérdidas de energía en el Nivel de Tensión 1 del sistema del OR j son:

El índice de pérdidas de energía en el Nivel de Tensión 1 del sistema del OR j es:
Donde,
IPEj,1,s Índice de pérdidas de energía en el sistema del OR j, Nivel de Tensión 1 del sistema del OR j para el período de evaluación s.
PEj,1,s Pérdidas de energía en el sistema del OR j, en el Nivel de Tensión 1 durante los períodos de evaluación s y s-1, expresadas en kWh.
Eej,1,s Energía de entrada al sistema del OR j en el Nivel de Tensión 1 durante los períodos de evaluación s y s-1, expresada en kWh. Calculada como se establece en el numeral 4.1.3.
Esj,1,s Energía de salida del sistema del OR j, en el Nivel de Tensión 1 durante los períodos de evaluación s y s-1, expresada en kWh. Calculada como se establece en el numeral 4.1.4.
4.1.3 Cálculo de la energía de entrada para cada Nivel de Tensión
La energía de entrada en cada uno de los Niveles de Tensión del sistema del OR j, se calcula como sigue:
Donde,
Eej,n,s Energía de entrada al sistema del OR j en el Nivel de Tensión n durante los períodos de evaluación s y s-1, expresada en kWh.
EeG,j,n,s Energía entregada por los generadores, incluyendo plantas menores, cogeneradores y autogeneradores, conectados directamente al sistema del OR j, en el Nivel de Tensión n, durante los períodos de evaluación s y s-1, expresada en kWh. Corresponde a la suma de las energías medidas en las fronteras comerciales, sin referir al STN, registrada en el ASIC para estos agentes.
FeSTN,j,n,s Flujo de Energía del STN al sistema del OR j en el Nivel de Tensión n, durante los períodos de evaluación s y s-1, expresado en kWh. Corresponde a la suma de las energías medidas en las fronteras comerciales, sin referir al STN, registradas en el ASIC para los puntos de conexión del OR j al STN.
Para los puntos de conexión en los cuales exista un transformador tridevanado, el OR deberá reportar mensualmente al ASIC los valores de energía de entrada al transformador y los de energía de salida por cada uno de los devanados para que el ASIC efectúe la asignación al nivel de tensión que corresponda.
FeOR,j,n,s Flujo de energía desde el sistema de otro OR al sistema del OR j, en el Nivel de Tensión n, durante los períodos de evaluación s y s-1, expresado en kWh. Corresponde a la suma de las energías medidas en cada frontera comercial entre OR, sin referir al STN, registrada en el ASIC.
FeNS,j,n,s Flujo de energía desde Niveles de Tensión superiores en el sistema del OR j, al Nivel de Tensión n, durante los períodos de evaluación s y s-1, expresado en kWh. Calculada como se establece en el numeral 4.1.6.
n Corresponde al Nivel de Tensión para el cual se determina la energía de entrada. Toma los valores de 1, 2, 3 y 4.
4.1.4 Cálculo de la energía de salida para cada Nivel de Tensión
La energía de salida en cada uno de los Niveles de Tensión del sistema del OR j, se calcula como:
Donde,
Esj,n,s Energía de salida del sistema del OR j en el Nivel de Tensión n, durante los períodos de evaluación s y s-1, expresada en kWh.
EsVCI,j,n,s Ventas de energía del comercializador incumbente en el Nivel de Tensión n del sistema del OR j, durante los períodos de evaluación s y s-1. Corresponde a la suma de las ventas de energía a usuarios regulados y no regulados registradas en el SUI por el Comercializador incumbente, expresadas en kWh. Incluye la energía entregada a los auxiliares de las subestaciones que no están conectadas directamente al STN.
EsVCP,j,n,s Ventas de energía en el sistema del OR j, en el Nivel de Tensión n, durante los períodos de evaluación s y s-1, por comercializadores distintos al integrado. Corresponde a la suma de las medidas en las fronteras comerciales, sin referir al STN, registradas en el ASIC por los comercializadores no integrados con el OR para la venta de energía a usuarios regulados y no regulados. Incluye la energía entregada a los auxiliares de las subestaciones que no están conectadas directamente al STN.
FsSTN,j,n,s Flujo de energía de salida en el Nivel de Tensión n desde los puntos de conexión del OR j al STN, durante los períodos de evaluación s y s-1, expresado en kWh. Corresponde a la suma de las energías medidas en las fronteras comerciales, sin referir al STN, registradas en el ASIC para los puntos de conexión del OR j al STN.
FsOR,j,n,s Flujo de energía de salida desde el sistema del OR j en el Nivel de Tensión n, a otros STR y/o SDL, durante los períodos de evaluación s y s-1, expresado en kWh. Corresponde a la suma de las energías medidas en las fronteras comerciales entre ORs, sin referir al STN, registradas en el ASIC.
EsA,j,n,s Energía de salida desde el sistema del OR j, en el Nivel de Tensión n, a los auxiliares de plantas de generación y/o subestaciones del SIN, durante los períodos de evaluación s y s-1, expresada en kWh. Corresponde a la suma de las energías medidas las fronteras comerciales, sin referir al STN, registradas en el ASIC como auxiliares.
n Corresponde al Nivel de Tensión para el cual se determina la energía de salida. Toma los valores de 1, 2, 3 y 4.
En el cálculo de la variable Esj,n,s no se debe tener en cuenta la energía recuperada que se haya dejado de factura.
4.1.5 Pérdidas de energía reconocidas
Las pérdidas de energía reconocidas en cada uno de los Niveles de Tensión del sistema del OR j, se calculan como:
Donde,
PRj,n,s Pérdidas de energía reconocidas en el sistema del OR j, en el Nivel de Tensión n, durante los períodos de evaluación s y s-1, expresadas en kWh.
Eej,n,s Energía de entrada al sistema del OR j, en el Nivel de Tensión n, durante los períodos de evaluación s y s-1, expresada en kWh.
Pj,n Índice de pérdidas reconocidas en el Nivel de Tensión n para el OR j aprobado en la Resolución de Cargos vigentes.
n Corresponde al Nivel de Tensión para el cual se determinan las pérdidas de energía. Toma los valores de 2, 3 y 4
4.1.6 Energía de entrada desde Niveles de Tensión superiores
La energía de entrada desde Niveles de Tensión superiores hacia cada uno de los Niveles de Tensión en el sistema del OR j, corresponde a:

Donde,
FeNS,j,n,s Energía de entrada desde Niveles de Tensión superiores al Nivel de Tensión n, en el sistema del OR j, durante los períodos de evaluación s y s-1, expresada en kWh. Para el Nivel de Tensión 4, el valor de FeNS,j,4,m es cero.
Eej,k,s Energía de entrada en el Nivel de Tensión superior k del sistema del OR j, durante los períodos de evaluación s y s-1, expresada en kWh.
Esj,k,s Energía de salida del sistema del OR j, en el Nivel de Tensión superior k, durante los períodos de evaluación s y s-1, expresada en kWh.
PRk,j,s Pérdidas de energía reconocidas en el Nivel de Tensión superior k, en el sistema del OR j, durante los períodos de evaluación s y s-1, expresadas en kWh.
FDFj,kn,s Factor de distribución del flujo de energía en el sistema del OR j, desde el Nivel de Tensión superior k hacia el Nivel de Tensión n, durante los períodos de evaluación s y s-1. Para los dos primeros períodos de evaluación el factor debe ser calculado con base en los factores tenidos en cuenta en la Resolución de aprobación de cargos de cada OR. A partir del tercer período de evaluación este factor deberá ser informado por el OR al LAC con base en las medidas entre niveles efectuada.
n Corresponde al Nivel de Tensión para el cual se determina la energía de salida. Toma los valores de 1, 2 y 3.
k Corresponde al Nivel de Tensión superior. Toma los valores de 2, 3 y 4.
4.2 Pérdidas de energía a distribuir en los mercados de comercialización
Las pérdidas de energía a distribuir en el mercado de comercialización i, atendido por el OR j, en el mes m son:

Donde,
PAi,j,m Pérdidas de energía a distribuir entre los comercializadores del mercado de comercialización i, servido por el OR j, para el mes m, expresadas en kWh.
PTSi,j,m Pérdidas totales de energía de la senda, en el mercado de comercialización i, servido por el OR j, para el mes m, expresadas en kWh. Calculadas como se indica en el numeral 4.2.1
PTci,j,m Pérdidas totales de energía calculadas para el mercado de comercialización i, servido por el OR j, para el mes m, expresadas en kWh. Calculadas como se indica en el numeral 4.2.2.
PRi,j,,m Pérdidas reconocidas de energía para el mercado de comercialización i, servido por el OR j, para el mes m, expresadas en kWh. Calculadas como se indica en el numeral 4.2.5.
4.2.1 Pérdidas totales de energía de la senda
Las pérdidas totales de energía asociadas a la senda aprobada a un OR j son:

PTSi,j,m Pérdidas totales de energía de la senda, en el mercado de comercialización i, servido por el OR j, para el mes m, expresadas en kWh.
IPTSj,s Índice de pérdidas totales de energía de la senda, en el mercado de comercialización i, servido por el OR j, asignado para el periodo de evaluación s en la resolución de aprobación particular del OR j, aplicable al mes m.
Eej,n,m Energía de entrada al sistema del OR j en el Nivel de Tensión n durante el mes m, expresada en kWh. Calculada como se establece en el numeral 4.2.3.
FeNS,j,n,m Flujo de energía desde Niveles de Tensión superiores en el sistema del OR j, al Nivel de Tensión n, durante el mes m, expresada en kWh. Calculada como se establece en el numeral 4.2.6.
4.2.2 Pérdidas totales de energía calculadas
Las pérdidas totales de energía calculadas en el mercado de comercialización i, servido por el OR j, para el mes m, son:
Donde:
PTci,j,s Pérdidas totales de energía calculadas para el mercado de comercialización i, servido por el OR j, para el mes m, expresadas en kWh.
Eej,n,m Energía de entrada al sistema del OR j en el Nivel de Tensión n durante el mes m, expresada en kWh. Calculada como se establece en el numeral 4.2.3.
Esj,n,m Energía de salida del sistema del OR j en el Nivel de Tensión n durante el mes m, expresada en kWh. Calculada como se establece en el numeral 4.2.4.
FeNS,j,n,m Flujo de energía desde Niveles de Tensión superiores en el sistema del OR j, al Nivel de Tensión n, durante el mes m, expresada en kWh. Calculada como se establece en el numeral 4.2.6.
n Corresponde al Nivel de Tensión para el cual se determina la energía. Toma los valores de 1, 2, 3 y 4.
4.2.3 Cálculo de la energía de entrada para cada Nivel de Tensión
La energía de entrada en cada uno de los Niveles de Tensión del sistema del OR j, se calcula como sigue:
Donde,
Eej,n,m Energía de entrada al sistema del OR j en el Nivel de Tensión n durante el mes m, expresada en kWh.
EeG,j,n,m Energía entregada por los generadores, incluyendo plantas menores, cogeneradores y autogeneradores, conectados directamente al sistema del OR j, en el Nivel de Tensión n, durante el mes m, expresada en kWh. Corresponde a la suma de las energías medidas en las fronteras comerciales, sin referir al STN, registrada en el ASIC para estos agentes.
FeSTN,j,n,m Flujo de Energía del STN al sistema del OR j en el Nivel de Tensión n, durante el mes m, expresado en kWh. Corresponde a la suma de las energías medidas en las fronteras comerciales, sin referir al STN, registradas en el ASIC para los puntos de conexión del OR j al STN.
Para los puntos de conexión en los cuales exista un transformador tridevanado, el OR deberá reportar mensualmente al ASIC los valores de energía de entrada al transformador y los de energía de salida por cada uno de los devanados para que el ASIC efectúe la asignación al nivel de tensión que corresponda.
FeOR,j,n,m Flujo de energía desde el sistema de otro OR al sistema del OR j, en el Nivel de Tensión n, durante el mes m, expresado en kWh. Corresponde a la suma de las energías medidas en cada frontera comercial entre OR, sin referir al STN, registrada en el ASIC.
FeNS,j,n,m Flujo de energía desde Niveles de Tensión superiores en el sistema del OR j, al Nivel de Tensión n, durante el mes m, expresada en kWh. Calculada como se establece en el numeral 4.2.6.
n Corresponde al Nivel de Tensión para el cual se determina la energía de entrada. Toma los valores de 1, 2, 3 y 4.
4.2.4 Cálculo de la energía de salida para cada Nivel de Tensión
La energía de salida en cada uno de los Niveles de Tensión del sistema del OR j, se calcula como:
Donde,
Esj,n,m Energía de salida del sistema del OR j en el Nivel de Tensión n, durante el mes m, expresada en kWh.
EsVFC,j,n,m Ventas de energía en las fronteras comerciales del Nivel de Tensión n, del mercado de comercialización servido por el OR j, para el mes m. Corresponde a la suma de las medidas en las fronteras comerciales, sin referir al STN, registradas en el ASIC para el mercado de comercialización servido por el OR j, para la venta de energía a usuarios regulados y no regulados. Incluye la energía entregada a los auxiliares de las subestaciones que no están conectadas directamente al STN
EsVSFC,j,n,m Ventas de energía sin frontera comercial en el sistema del OR j, en el Nivel de Tensión n, durante el mes m. Corresponde al valor promedio para el periodo m=-12 a m=-1 de las ventas de energía a usuarios regulados y no regulados registradas en el SUI, expresadas en kWh. Incluye la energía entregada a los auxiliares de las subestaciones que no están conectadas directamente al STN.
FsSTN,j,n,m Flujo de energía de salida en el Nivel de Tensión n desde los puntos de conexión del OR j al STN, durante el mes m, expresada en kWh. Corresponde a la suma de las energías medidas en las fronteras comerciales, sin referir al STN, registradas en el ASIC para los puntos de conexión del OR j al STN.
FsOR,j,n,m Flujo de energía de salida desde el sistema del OR j en el Nivel de Tensión n, a otros STR y/o SDL, durante el mes m, expresada en kWh. Corresponde a la suma de las energías medidas en las fronteras comerciales entre OR, sin referir al STN, registradas en el ASIC.
EsA,j,n,m Energía de salida desde el sistema del OR j, en el Nivel de Tensión n, a los auxiliares de plantas de generación y/o subestaciones del SIN, durante el mes m, expresada en kWh. Corresponde a la suma de las energías medidas las fronteras comerciales, sin referir al STN, registradas en el ASIC como auxiliares.
n Corresponde al Nivel de Tensión para el cual se determina la energía de salida. Toma los valores de 1, 2, 3 y 4.
En el cálculo de la variable no se debe tener en cuenta la energía recuperada que se haya dejado de factura
4.2.5 Pérdidas de energía reconocidas
Las pérdidas de energía reconocidas en cada uno de los Niveles de Tensión del sistema del OR j, se calculan como:
Donde,
PRj,n,m Pérdidas de energía reconocidas en el sistema del OR j, en el Nivel de Tensión n, durante el mes m, expresadas en kWh.
Eej,n,m Energía de entrada al sistema del OR j, en el Nivel de Tensión n, durante el mes m, expresada en kWh.
Pj,n Índice de pérdidas reconocidas en el Nivel de Tensión n, para el OR j, aprobado en la Resolución de Cargos vigentes. Para el nivel de tensión 1, corresponde al definido en el ANEXO 5 de esta resolución.
n Corresponde al Nivel de Tensión para el cual se determinan las pérdidas de energía. Toma los valores de 1, 2, 3 y 4
4.2.6 Energía de entrada desde Niveles de Tensión superiores
La energía de entrada desde Niveles de Tensión superiores hacia cada uno de los Niveles de Tensión en el sistema del OR j, corresponde a:

Donde,
FeNS,j,n,m Energía de entrada desde Niveles de Tensión superiores al Nivel de Tensión n, en el sistema del OR j, durante el mes m, expresada en kWh. Para el Nivel de Tensión 4, el valor de FeNS,j,4,m es cero.
Eej,k,m Energía de entrada en el Nivel de Tensión superior k del sistema del OR j, durante el mes m, expresada en kWh.
Esj,k,m Energía de salida del sistema del OR j, en el Nivel de Tensión superior k, durante los períodos de evaluación s y s-1, expresada en kWh.
PRk,j,m Pérdidas de energía reconocidas en el Nivel de Tensión superior k, en el sistema del OR j, durante el mes m, expresadas en kWh.
FDFj,kn,s Factor de distribución del flujo de energía en el sistema del OR j, desde el Nivel de Tensión superior k hacia el Nivel de Tensión n, durante el mes m. Para el primer mes de aplicación de la metodología contenida en esta Resolución, el factor debe ser calculado con base en los factores tenidos en cuenta en la Resolución de aprobación de cargos de cada OR. A partir del doceavo mes este factor deberá ser informado por el OR al LAC con base en las medidas entre niveles efectuadas.
n Corresponde al Nivel de Tensión para el cual se determina la energía de salida. Toma los valores de 1, 2 y 3.
k Corresponde al Nivel de Tensión superior. Toma los valores de 2, 3 y 4.
Firma del proyecto
ANEXO 5 PÉRDIDAS RECONOCIDAS
Las pérdidas reconocidas en el nivel de tensión 1 se determinan según lo expuesto a continuación:
5.1 OR con pérdidas de Nivel de Tensión 1 inferiores a las reconocidas
Para los OR cuyo índice total de pérdidas de Nivel de Tensión 1, calculado al momento de la evaluación del plan, sea inferior al vigente reconocido, el índice de pérdidas a reconocer en un período de evaluación será determinado según las siguientes fórmulas:
Para los dos primeros periodos de evaluación, las pérdidas reconocidas en el Nivel de Tensión 1, serán iguales a las reconocidas al inicio del mismo:
}
Pj,1,s: Índice de pérdidas de Nivel de Tensión 1 reconocidas para el OR j, durante el período de evaluación s.
Pj,1,r: Índice de pérdidas del Nivel de Tensión 1 reconocidas para cada OR. Valor incluido en el documento de soporte de la Resolución de aprobación de cargos, aplicando la metodología de la Resolución CREG 097 de 2008.
Para el tercer y cuarto periodo de evaluación, las pérdidas reconocidas de nivel de tensión 1, se calcularan de la siguiente manera:
}
Pj,1,0: Índice de pérdidas de Nivel de Tensión 1 para el OR j calculadas al momento de evaluación del plan.
s: Período de evaluación del plan de reducción de pérdidas no técnicas.
A partir del quinto período de evaluación las pérdidas reconocidas de nivel de tensión 1 serán iguales a Pj,1,0
5.2 OR con pérdidas de nivel de tensión 1 superiores a las reconocidas
Para los OR cuyo índice total de pérdidas de nivel de tensión 1, calculado al momento de la evaluación del plan, sea superior al reconocido, el índice de pérdidas a reconocer será determinado según los siguientes criterios:
Mientras las pérdidas del nivel de tensión 1 definidas en el plan de reducción de pérdidas no técnicas sean superiores a las reconocidas al momento de evaluación del mismo, las pérdidas reconocidas serán iguales a las pérdidas reconocidas según la resolución CREG 097 de 2008 al momento de evaluación del plan, así:
}
Pj,1,t: Índice de pérdidas de nivel de tensión 1 reconocidas para el OR j, durante el período t. (t desde 0 hasta n)
n: Período hasta el cual el índice de pérdidas de nivel de tensión 1 reconocido es inferior al calculado con base en el numeral 4.1.2 del ANEXO 4 de la presente resolución. (con n entre 0 y 10)
Pj,1,r: Índice de pérdidas del Nivel de Tensión 1 reconocidas para cada OR. Valor incluido en el documento de soporte de la resolución de aprobación de cargos, aplicando la metodología de la Resolución CREG 097 de 2008.
A partir del período siguiente a n y hasta la finalización del plan el índice de pérdidas reconocidas corresponderá al valor de la meta establecida por el OR.
A partir de la finalización del plan, las pérdidas reconocidas de nivel de tensión 1 serán iguales al menor valor entre el índice de pérdidas reconocidas del nivel de tensión 1 (Pj,1) vigente para el OR al momento de presentación del plan de reducción de pérdidas no técnicas y el mayor valor de los valores Pj,1,0 calculados para los OR que cumplan la condición del numeral 5.1 del presente anexo, calculados al momento de la evaluación de los planes.
Firma del proyecto
ANEXO 6 EVALUACIÓN DEL CUMPLIMIENTO DEL PLAN
6.1 Procedimiento de evaluación.
La evaluación de cumplimiento del plan consiste en el cálculo de los índices de pérdidas, su divulgación y la aplicación de la siguiente metodología:
1. El LAC calculará, para cada OR, los índices de pérdidas totales, IPTj,s, conforme a lo establecido en el ANEXO 4 de la presente resolución, dentro de los primeros cinco (5) días hábiles posteriores a la finalización del período de evaluación. Los resultados serán publicados por el LAC, junto con las metas aprobadas para cada OR, en su página web al siguiente día de su cálculo.
2. Los OR tendrán un plazo de tres (3) días hábiles a partir de la publicación de los resultados para presentar sus observaciones sobre éstos. En este caso el OR deberá enviar al LAC y a la Superintendencia de Servicios Públicos Domiciliarios las pruebas que demuestren los posibles errores de cálculo o que la información utilizada no corresponda con la realidad.
Cuando un OR presente objeciones al cálculo, el LAC resolverá la solicitud en el término de tres (3) días hábiles siguientes al de su presentación.
El duodécimo (12) día hábil del mismo mes, el LAC publicará los resultados finales de cálculo teniendo en cuenta todas las aclaraciones que se presenten.
3. Si un OR cumple con las metas, se mantendrá la remuneración aprobada para el siguiente período de evaluación.
4. Un OR incumple la ejecución del plan cuando la variable IPTj,s se encuentra por encima IPTSj,s mas el factor de tolerancia aprobado al OR j, con base en lo establecido en la siguiente tabla:
Factor de costo | Factor de tolerancia |
| 0,9*CPCE < CPOR | 0,2 |
| 0,8*CPCE < CPOR ≤ 0,9*CPCE | 0,4 |
| 0,6*CPCE < CPOR ≤ 0,8*CPCE | 0,6 |
| CPOR < 0,6*CPCE | 0,8 |
Cuando un OR haya incumplido la ejecución del plan durante dos períodos de evaluación consecutivos, se suspenderá la remuneración del plan al OR.
La suspensión de la remuneración del plan de reducción de pérdidas no técnicas a un OR no implica la suspensión de la ejecución del Plan y el LAC continuará calculando los índices que le correspondan.
Cuando el incumplimiento ocurra en el décimo período de evaluación, el LAC calculará el IPTj,s para el siguiente período de evaluación. Si el índice IPTj,s del undécimo período de evaluación no cumple con la meta establecida para el décimo período de evaluación, el OR devolverá los recursos recibidos durante los períodos de evaluación 9 y 10, acorde con lo establecido en el Artículo 13 de la presente resolución.
En caso de que un mismo OR infrinja nuevamente el cumplimiento de las metas será sujeto de cancelación del Plan y el OR deberá devolver los ingresos recibidos, conforme a lo establecido en el Artículo 13 y el Artículo 14 de la presente resolución según corresponda.
5. Si al finalizar el período de evaluación siguiente al de la suspensión de la remuneración se encuentra que el OR no cumple con la meta aprobada para ese período, se cancelará la ejecución del plan y el OR deberá devolver los ingresos recibidos, conforme a lo establecido en el Artículo 13 y el Artículo 14 de la presente resolución según corresponda.
La metodología de suspensión será aplicable por una sola vez.
6.2 Modificación de metas
El OR podrá solicitar el ajuste de las metas aprobadas, bajo las siguientes condiciones:
a) El ajuste se realizará una sola vez durante el periodo de ejecución del plan.
b) La solicitud de ajuste deberá presentarse a la CREG a más tardar (3) tres meses antes de la finalización del segundo periodo de evaluación.
c) Para solicitar el ajuste en las metas, el OR debe haber cumplido con la meta correspondiente al primer periodo de evaluación.
d) El OR deberá sustentar en su solicitud los motivos de ajuste de las metas.
e) La CREG revisará la sustentación de ajuste de las metas presentada por el OR y realizará el procedimiento de evaluación y aprobación de las nuevas metas de acuerdo con lo establecido en el Artículo 7 de esta Resolución.
Firma del proyecto
ANEXO 7 MECANISMO DE VERIFICACIÓN DE LA INFORMACIÓN
Toda la información entregada por el Operador de Red, tanto en la solicitud como en la reportada periódicamente, podrá ser verificada por la CREG de acuerdo con lo definido en este ANEXO.
7.1 Verificación de información de vínculos de usuarios a la red
La verificación consiste en la comparación de la información de vinculación de usuarios atendidos desde un mismo transformador existente en el formato 1 de la Resolución SSPD 20102400008055 del SUI o aquella que la complemente, modifique o sustituya, respecto de la encontrada en la visita de campo. El tamaño de la muestra se determinará con base en los transformadores donde sean instalados equipos que sean objeto de remuneración a través del Plan.
Se considera incumplimiento cuando alguno de los usuarios encontrados en la visita no se encuentre registrado en la base de datos del SUI o presente información distinta a la registrada.
La suspensión de la remuneración se deberá cumplir de manera inmediata a la fecha de detección de incumplimiento del parámetro.
En este caso, el OR tendrá un plazo de seis (6) meses contados a partir de la fecha de detección del incumplimiento para actualizar su sistema y cumplir con el parámetro. Cuando haya transcurrido dicho período y el OR no haya corregido la situación, se considera un incumplimiento del plan y se procederá a la devolución de los ingresos según lo establecido en el Artículo 13 y el Artículo 14 de la presente resolución según corresponda.
7.2 Verificación de información de costos y gastos
En el caso de que la CREG encuentre que los ingresos obtenidos por la ejecución del plan sean superiores a la suma de los gastos más los excedentes, se considerará que los ingresos por este concepto son utilizados con otros fines y se procederá a la cancelación del plan.
Para tal efecto, el OR debe crear en su contabilidad cuentas que permitan el registro independiente de todas las actividades relacionadas con los ingresos y los costos y gastos del plan y se deberá informar al SUI los códigos de cuentas bajo las cuales serán registrados los valores respectivos.
En el informe del auditor, sobre la información anual de AOM de que trata la Resolución CREG 051 de 2010, se deberán consignar los costos y gastos en que se incurrió en la ejecución del plan de reducción de pérdidas no técnicas asociándolos con las respectivas cuentas del Sistema de Costos y Gastos y del PUC de la SSPD donde se reportaron. El Auditor deberá certificar que los anteriores valores no están incluidos en el valor de gastos de AOM reportado por los OR en cumplimiento de la citada resolución.
7.3 Verificación de infraestructura
El OR deberá indicar anualmente la ubicación y georeferenciación de los transformadores con redes de baja tensión construidas en ejecución del plan de reducción de pérdidas no técnicas. Esta información será comparada con el inventario de transformadores que cuenten con redes de baja tensión aisladas, semiaisladas, trenzadas o tipo antifraude, existentes al momento de la presentación del plan de reducción de pérdidas no técnicas.
En caso de que el OR reporte, como parte de la ejecución del plan de reducción de pérdidas no técnicas, redes existentes a la fecha de solicitud del plan, se considerará causal de cancelación de la remuneración del plan.
Firma del proyecto
ANEXO 8 METODOLOGÍA PARA DEVOLUCIÓN DE INGRESOS
En caso de cancelación de la ejecución del plan el LAC calculará los ingresos recibidos durante los períodos de incumplimiento previos a la suspensión de la remuneración del plan para que, junto con los ingresos recibidos por parte de la fiducia durante la suspensión del plan, sean tenidos en cuenta como un menor valor en el Costo Unitario de Prestación del Servicio a los usuarios del mercado de comercialización respectivo.
8.1 Cálculo de los ingresos a devolver por parte del OR
Los ingresos a devolver se calcularán de la siguiente manera:

ITDj: Ingreso total a devolver por el OR j, en pesos colombianos a la fecha de cálculo.
t: Total de meses de los períodos de incumplimiento del plan previos a la suspensión del mismo y durante los cuales el OR recibió remuneración del plan de reducción de pérdidas no técnicas.
I: Número total de Comercializadores en el mercado de comercialización del OR j durante los períodos de incumplimiento del plan previos a la suspensión del mismo
LCPROGi,j,m: Liquidación por concepto de CPROG, en el mercado de comercialización j, por las ventas en el mes m, que facturará el OR j al comercializador i calculado según lo establecido en el numeral 3.2 del ANEXO 3 de esta Resolución.
r: Corresponde a 1,5 veces el interés bancario corriente para la modalidad de crédito de consumo y ordinario, certificado por la Superintendencia Financiera, vigente en la fecha de cancelación del plan de reducción de pérdidas no técnicas.
n: Exponente que se calcula de la siguiente manera:

Ps: Número de meses entre la suspensión de la remuneración del plan de reducción de pérdidas no técnicas y la cancelación del plan.
Pd: Número de meses durante los cuales el OR debe devolver los recursos recibidos. Su duración no podrá ser superior a seis meses.
8.2 Determinación del cargo mensual CPROGj,m con recursos a devolver por parte del OR cuando se cancela la ejecución del Plan
Al siguiente mes de la suspensión de la ejecución del plan en un mercado de comercialización, la variable CPROGj,m tomará un valor negativo que será incluido en el Costo Unitario de Prestación del Servicio a la totalidad de usuarios del mercado de comercialización.
Este valor será calculado y publicado por el LAC los primeros cinco (5) días de cada mes de la siguiente manera:
Donde:
CPROGj,m: Cargo en $/kWh por concepto del Plan de Reducción de Pérdidas no técnicas, del mercado de comercialización j, en el mes m.
ITDj: Ingreso total a devolver por el OR j, en pesos colombianos a la fecha de cálculo.
VSTNj,m: Ventas en kWh a usuarios conectados directamente al STN que corresponden al mercado de comercialización j en el mes m. Corresponde a las lecturas tomadas directamente de los medidores de los usuarios conectados directamente al STN.
Eej,n,s: Energía de entrada al sistema del OR j en el Nivel de Tensión n, en el período de evaluación s, expresada en kWh, calculada como se establece en el numeral 4.1.3. del ANEXO 4.
IPTj,s: Índice de pérdidas totales de energía en el mercado de comercialización servido por el OR j, en el período de evaluación s, calculado como se establece en el numeral 4.1 del ANEXO 4.
8.3 Determinación del cargo mensual CPROGj,m con los recursos depositados en la Fiducia cuando se cancela la ejecución del Plan
Al siguiente mes de terminación de la devolución de ingresos por parte del OR, según lo establecido en el numeral 8.2 de este Anexo, se iniciará la devolución a los usuarios de los recursos depositados en la Fiducia. Para esto la variable CPROGj,m tomara un valor negativo que será incluido en el Costo Unitario de Prestación del Servicio a la totalidad de usuarios del mercado de comercialización durante un periodo de seis (6) meses.
Este valor será calculado y publicado por el LAC los primeros cinco (5) días de cada mes de la siguiente manera:
Donde:
CPROGj,m: Cargo en $/kWh por concepto del Plan de Reducción de Pérdidas no técnicas, del mercado de comercialización j, en el mes m.
ITFj: Ingreso total en la Fiducia constituida por el OR j, en pesos colombianos a la fecha de cálculo.
VSTNj,m: Ventas en kWh a usuarios conectados directamente al STN que corresponden al mercado de comercialización j en el mes m. Corresponde a las lecturas tomadas directamente de los medidores de los usuarios conectados directamente al STN.
Eej,n,s: Energía de entrada al sistema del OR j en el Nivel de Tensión n, en el período de evaluación s, expresada en kWh, calculada como se establece en el numeral 4.1.3. del ANEXO 4.
IPTj,s: Índice de pérdidas totales de energía en el mercado de comercialización servido por el OR j, en el período de evaluación s, calculado como se establece en el numeral 4.1 del ANEXO 4.
8.4 Liquidación y recaudo
Mensualmente el LAC determinará el valor que cada Comercializador debe descontar al OR del pago de los cargos de distribución que le corresponda, de acuerdo con la siguiente expresión:

Donde:
LCPROGi,j,m: Liquidación por concepto de CPROG, en el mercado de comercialización j, por las ventas en el mes m, que facturará el OR j al comercializador i.
VCi,j,m: Ventas del Comercializador i, en el mercado de comercialización j, durante el mes de consumo m, considerando las ventas a usuarios conectados directamente al STN que hacen parte del mercado de comercialización j, reportadas al SUI.
Cuando, para un comercializador no incumbente, el LAC encuentre diferencias de más del 10% entre las ventas totales reportadas al SUI y la suma de la energía medida, sin referir al STN, en las fronteras comerciales de su responsabilidad para un mismo mes; el comercializador deberá soportar la razón de las diferencias ante el LAC en un término de (2) dos días hábiles siguientes a la publicación del informe de ventas que efectúe el LAC. En caso de no explicar las diferencias el LAC utilizará una energía equivalente a 2 veces el mayor valor entre los dos comparados.
La facturación y recaudo a los agentes comercializadores le corresponderá a los OR, utilizando la liquidación elaborada por el LAC.
Firma del proyecto
PROYECTO DE RESOLUCIÓN No.2
Por la cual se modifica la fórmula tarifaria general que permite a los Comercializadores Minoristas de electricidad establecer los costos de prestación del servicio a usuarios regulados en el Sistema Interconectado Nacional establecida en la Resolución CREG 119 de 2007.
LA COMISIÓN DE REGULACIÓN DE ENERGÍA Y GAS
en ejercicio de las atribuciones legales, en especial las conferidas por las Leyes 142 y 143 de 1994, y los decretos 1524 y 2253 de 1994.
C O N S I D E R A N D O:
Que conforme a lo previsto en el numeral 14.10 del artículo 14, de la Ley 142 de 1994 la libertad regulada es el régimen de tarifas mediante el cual la comisión de regulación respectiva fijará los criterios y la metodología con arreglo a los cuales las empresas de servicios públicos domiciliarios pueden determinar o modificar los precios máximos para los servicios ofrecidos al usuario o consumidor.
Que de acuerdo con el numeral 88.1 del artículo 88 de la Ley 142 de 1994, “las empresas deberán ceñirse a las fórmulas que defina periódicamente la respectiva comisión para fijar sus tarifas, salvo en los casos excepcionales que señala la Ley. De acuerdo con los estudios de costos, la comisión reguladora podrá establecer topes máximos y mínimos tarifarios, de obligatorio cumplimiento por parte de las empresas; igualmente, podrá definir las metodologías para determinación de tarifas si conviene en aplicar el régimen de libertad regulada o vigilada”.
Que en concordancia con lo anterior, el artículo 11 de la Ley 143 de 1994, bajo el régimen tarifario de libertad regulada le corresponde a la Comisión de Regulación de Energía y Gas fijar “los criterios y la metodología con arreglo a los cuales las empresas de electricidad podrán determinar o modificar los precios máximos para los servicios ofrecidos”;Que según lo dispuesto en el artículo 87 de la Ley 142 y el artículo 44 de la Ley 143 del mismo año, el régimen tarifario para usuarios finales regulados de una misma empresa estará orientado por los criterios de eficiencia económica, suficiencia financiera, neutralidad, solidaridad y redistribución del ingreso, simplicidad y transparencia;
Que según el artículo 87.2 de la Ley 142 de 1994, por neutralidad se entiende que cada consumidor tendrá el derecho a tener el mismo tratamiento tarifario que cualquier otro si las características de los costos que ocasiona a las empresas de servicios públicos son iguales.
Que mediante el Decreto 387 de 2007, modificado por el Decreto 4977 de 2007, el Gobierno Nacional estableció las políticas generales en relación con la actividad de comercialización del servicio de energía eléctrica, ordenando a la CREG la creación de mecanismos para incentivar la implantación de planes de reducción de pérdidas de energía eléctrica de corto, mediano y largo plazo para llegar a niveles eficientes en cada mercado de comercialización y cuyos costos eficientes deben ser trasladados a todos los usuarios regulados y No regulados conectados al respectivo mercado.
Que la Comisión de Regulación de Energía y Gas mediante la Resolución CREG 119 de 2007 estableció la fórmula tarifaria general que permite a los Comercializadores Minoristas de electricidad establecer los costos de prestación del servicio a usuarios regulados en el Sistema Interconectado Nacional;
Que la fórmula tarifaria establecida mediante la Resolución CREG 119 de 2007 considera una variable para reconocer los costos eficientes de los planes de reducción de pérdidas en función de las ventas de cada Comercializador;
Que la variable de que trata el considerando anterior no ha tenido efecto alguno sobre la tarifa, pero de aplicarse en la forma establecida en la resolución puede ocasionar diferencias en el cargo a cobrar a los usuarios de un mismo mercado de comercialización, sin que este factor sea un elemento de competencia, lesionando los intereses de algunos de estos;
Que conforme al artículo 126 de la Ley 142 de 1994, las fórmulas tarifarias tendrán una vigencia de cinco (5) años pero que excepcionalmente podrán modificarse, de oficio o a petición de parte, antes del plazo indicado cuando sea evidente que se cometieron graves errores en su cálculo, que lesionan injustamente los intereses de los usuarios o de la empresa.
R E S U E L V E:
Artículo 1. Modificación del artículo 14 de la Resolución CREG-119 de 2007. El artículo 14 de la Resolución CREG-119 de 2007 queda así:
“Artículo 14. Costos de pérdidas de energía, transporte y reducción de las mismas, (PRm,n,i,j): Los costos de gestión de pérdidas de energía trasladables al usuario final, expresados en $/kWh, se determinarán de conformidad con la siguiente expresión, que incluye: i) el costo de las pérdidas eficientes de energía; ii) los costos del transporte de las pérdidas eficientes de energía; y iii) los costos del Programa de Reducción de Pérdidas No Técnicas de energía, respectivamente.
Donde:
Costos de compra de energía ($/kWh) del Comercializador Minorista i, en el Mercado de Comercialización j, para el mes m determinados conforme se establece en el Capítulo III de la presente Resolución.
Fracción de la Demanda Comercial del Comercializador Minorista i que corresponde a las pérdidas de energía por uso del Sistema de Transmisión Nacional asignadas por el ASIC durante el mes m-1, conforme a la metodología vigente.
Fracción o porcentaje expresado como fracción de las pérdidas de energía eficientes reconocidas por la CREG, para el Mercado de Comercialización j, en el mes m, acumulados hasta el nivel n del Sistema de Distribución respectivo.
Cargos por uso del Sistema Nacional de Transmisión ($/kWh) para el mes m determinados conforme al Artículo 9 de la presente Resolución.
Cargo en $/kWh por concepto del Plan de Reducción de Pérdidas, del Mercado de Comercialización j, en el mes m.
Parágrafo 1. El Programa de Reducción de Pérdidas No Técnicas y sus costos serán definidos por la Comisión en regulación independiente. Hasta tanto estos sean determinados, se aplicarán las siguientes reglas:
i) El término será igual a cero; y
ii) El factor corresponderá los niveles de pérdidas vigentes a la aprobación de la presente resolución para cada nivel de tensión.
Parágrafo 2. Una vez inicie el Programa de Reducción de Pérdidas No Técnicas, el factor corresponderá al aprobado por la CREG para cada nivel de tensión en desarrollo de Programa de Reducción de Pérdidas No Técnicas de Energía que presente el Operador de Red del Mercado de Comercialización correspondiente.
Artículo 2. Vigencia. La presente resolución rige a partir de su publicación en el Diario Oficial y deroga las disposiciones que le sean contrarias.
Firmas del proyecto,
TOMÁS GONZÁLEZ ESTRADA | JAVIER AUGUSTO DÍAZ VELASCO |
Viceministro de Minas y Energía | Director Ejecutivo |
Delegado del Ministro de Minas y Energía
Presidente |  |
PROYECTO DE RESOLUCIÓN No.3
Por la cual se modifica la Resolución CREG 121 de 2007, en relación con la asignación de pérdidas entre Comercializadores Minoristas en un Mercado de Comercialización.
LA COMISIÓN DE REGULACIÓN DE ENERGÍA Y GAS
en ejercicio de las atribuciones legales, en especial las conferidas por las Leyes 142 y 143 de 1994, y los decretos 1524 y 2253 de 1994.
C O N S I D E R A N D O:
Que mediante el Decreto 387 de 2007, modificado por el Decreto 4977 de 2007, el Gobierno Nacional estableció las políticas generales en relación con la actividad de comercialización del servicio de energía eléctrica;
Que en el literal b) del Artículo 3o del Decreto 387 de 2007 modificado por el Artículo 1o del Decreto 4977 de 2007, el Gobierno Nacional dispuso que:
“Las pérdidas totales de energía de un Mercado de Comercialización, que se apliquen para efectos del cálculo de la demanda comercial de los Comercializadores Minoristas que actúen en dicho Mercado, se distribuirán así: las perdidas técnicas por la energía transportada por cada nivel de tensión y las pérdidas no técnicas de todo el mercado de comercialización, a prorrata de la energía vendida a los usuarios finales. La CREG definirá la metodología de cálculo para determinar y asignar estas pérdidas. Esta distribución se mantendrá siempre que las pérdidas del Mercado no presenten incrementos con respecto a las definidas por la CREG, mediante una senda para lo cual tendrá en cuenta lo establecido en los literales c. y e. siguientes. En el caso de que las pérdidas presenten un incremento con relación a dicha senda, el OR correspondiente será el responsable del diferencial, que le será asignado según el procedimiento que establezca la CREG y sin que se afecte el balance de las transacciones del Mercado Mayorista. Lo anterior, sin perjuicio de que al usuario final solo se traslade el nivel de pérdidas de eficiencia reconocido por el regulador”;
Que el Artículo 3o del Decreto 387 de 2007 establece en los literales c), d) y e):
“c) La regulación creará los mecanismos para incentivar la implantación de planes de reducción de pérdidas de energía eléctrica de corto, mediano y largo plazo para llegar a niveles eficientes en cada mercado de comercialización;
d) El Operador de Red será el responsable por la gestión integral de las pérdidas de energía en el mercado de comercialización asociado a sus redes;
e) La CREG le reconocerá al OR el costo eficiente del plan de reducción de Pérdidas No Técnicas, el cual será trasladado a todos los usuarios regulados y No regulados conectados al respectivo mercado;”
Que el Parágrafo del Artículo 3o del Decreto 387 de 2007, modificado por el Decreto 4977 de 2007 establece que “La CREG deberá incorporar las políticas establecidas en este artículo a más tardar el 1° de enero de 2008, para lo cual podrá definir las transiciones que sean necesarias con el fin de hacer viable la implementación de lo establecido en este Decreto y permitir a usuarios como a empresas realizar ajustes frente al nuevo esquema”;
Que la Comisión de Regulación de Energía y Gas mediante la Resolución CREG 119 de 2007 estableció la fórmula tarifaria general que permite a los Comercializadores Minoristas de electricidad establecer los costos de prestación del servicio a usuarios regulados en el Sistema Interconectado Nacional;
Que la Comisión de Regulación de Energía y Gas mediante la Resolución CREG 121 de 2007 incorporó las políticas definidas en el artículo 3 del Decreto 387 de 2007, modificado por el Decreto 4977 del 27 de diciembre de 2007, en relación con la asignación de pérdidas entre Comercializadores Minoristas en un Mercado de Comercialización;
Que la Comisión de Regulación de Energía y Gas mediante la Resolución CREG 097 de 2008 aprobó los principios generales y la metodología para el establecimiento de los cargos por uso de los Sistemas de Transmisión Regional y Distribución Local. Dicha Resolución incluye disposiciones correspondientes al tratamiento de las pérdidas reconocidas en los sistemas de transmisión regional y distribución local;
Que es necesario ajustar los parámetros de distribución de pérdidas no técnicas a ser distribuidas entre los comercializadores de un mismo mercado, para que sea compatible con los índices de pérdidas reconocidas que ya incluyen una fracción de pérdidas no técnicas;
R E S U E L V E:
Artículo 1.Modificación del artículo 3 de la Resolución CREG-121 de 2007. El artículo 3 de la Resolución CREG-121 de 2007 queda así:
“Artículo 3. Elementos para el Cálculo de la Demanda Comercial: El ASIC establecerá la Demanda Comercial del Comercializador Minorista No Integrado por Mercado de Comercialización según las reglas vigentes, asignándole el valor que le corresponda de acuerdo con la aplicación del artículo 5 de la presente resolución.”
Artículo 2. Modificación del artículo 5 de la Resolución CREG-121 de 2007. El artículo 5 de la Resolución CREG-121 de 2007 queda así:
“Artículo 5. Asignación de Pérdidas No Técnicas: A partir del mes siguiente al de inicio de un plan de reducción de pérdidas por parte del OR j, la asignación de las Pérdidas No Técnicas entre los Comercializadores Minoristas de un Mercado de Comercialización de acuerdo con la siguiente expresión:

Con:
PNTj,nr,c Pérdidas No Técnicas No Reconocidas asignadas al comercializador no integrado c en el mercado de comercialización del OR j calculadas para el mes m.
PAi,j,m Pérdidas de energía a distribuir entre los comercializadores del mercado de comercialización i, servido por el OR j, para el mes m, expresadas en kWh. Este valor se calcula según lo establecido en el numeral 4.2 del Anexo 4 de la resolución por la cual se define la metodología para el establecimiento de los planes de reducción de pérdidas no técnicas en los SDL.
C Número de comercializadores no integrados que venden energía a usuarios finales en el mercado de comercialización del OR j en el mes m.
Vcomc,j,m Ventas del comercializador no integrado c en el mercado de comercialización del OR j en el mes m, expresadas en kWh, de acuerdo con la información reportada por los Comercializadores al SUI.
Vcomint,m Ventas del comercializador integrado int en el mercado de comercialización del OR j en el mes m, expresadas en kWh, de acuerdo con la información reportada por los Comercializadores al SUI.
Parágrafo. La distribución de las pérdidas no técnicas no reconocidas asignadas a los comercializadores en un mismo mercado de comercialización, de que trata este artículo, se mantendrá siempre que el OR del mercado respectivo cuente con un plan aprobado y en ejecución.”
Artículo 3. Vigencia. La presente resolución rige a partir de su publicación en el Diario Oficial y deroga el artículo 7 de la Resolución CREG-121 de 2007 y las disposiciones que le sean contrarias.
Firma del proyecto,
TOMÁS GONZÁLEZ ESTRADA | JAVIER AUGUSTO DÍAZ VELASCO |
Viceministro de Minas y Energía
Delegado del Ministro de Minas y Energía | Director Ejecutivo |
Presidente |  |
|
Doble click sobre el archivo anexo para bajarlo(Resoluciones CREG) |
Doble click sobre el archivo anexo para bajarlo(Documento CREG) |
|