| Publicación Diario Oficial No.: | , el día: |
| Publicada en la WEB CREG el: | |
|
RESOLUCIÓN No. 071
( 22 OCT. 2002 )
 |
LA COMISIÓN DE REGULACIÓN DE ENERGÍA Y GAS
En ejercicio de sus facultades legales, en especial las conferidas por las Leyes 142 de 1994 y 689 de 2001, y en desarrollo de los Decretos 1524 y 2253 de 1994, y
C O N S I D E R A N D O :
Que de conformidad con lo dispuesto en la Ley 142 de 1994 corresponde a la Comisión de Regulación de Energía y Gas regular la prestación del servicio de gas combustible;
Que en desarrollo de esta facultad la Comisión de Regulación de Energía y Gas expidió la Resolución CREG-074 de 1996 por la cual se regula el servicio público domiciliario de gases licuados del petróleo (GLP);
Que la Ley 689 de 2001 por la cual se modificó la Ley 142 de 1994 consagra en su Artículo 23:
“Artículo 23. Margen de Seguridad. Por razones de seguridad dentro del precio de venta de GLP la Comisión de Regulación de Energía y Gas (CREG) incluirá un rubro denominado “Margen de Seguridad”, con destino exclusivo al mantenimiento y reposición de los cilindros y tanque estacionarios utilizados en la comercialización de GLP. El recaudo y administración de dicho rubro será reglamentado por la Comisión de Regulación de Energía y Gas dentro de los seis (6) meses siguientes a la expedición de la presente Ley y será reajustado anualmente de acuerdo con el IPC. En cualquier caso, la CREG deberá otorgar participación a los distribuidores de GLP en la reglamentación que se expida. En dicha reglamentación se buscará en forma concertada un mecanismo que permita que los distribuidores tengan participación en el recaudo y administración de los recursos, estableciendo todos los controles necesarios.
La reposición y mantenimiento de los cilindros serán realizados de acuerdo con la regulación que al efecto expida la Comisión de Regulación de Energía y Gas (CREG), dentro de los seis (6) meses siguientes a la entrada en vigencia de la presente Ley, para garantizar el buen estado de los cilindros en el tiempo y la seguridad para el usuario.”
Que mediante Resolución CREG-010 de 2002 se adoptó la regulación aplicable al recaudo y administración de los recursos del Margen de Seguridad del Servicio Público Domiciliario de Gases Licuados de Petróleo.
Que mediante Resolución CREG-019 de 2002 se adopta la regulación aplicable a la reposición y mantenimiento de cilindros y tanques estacionarios utilizados en la prestación del servicio de Gas Licuado del Petróleo (GLP);
Que el Artículo 21o de la Ley 689 de 2001, establece que tanto las empresas productoras, comercializadoras, transportadoras, como las distribuidoras, son responsables de la seguridad y calidad en la prestación del servicio público domiciliario de GLP;
Que el Artículo 3o de la Resolución CREG-019 de 2002 establece que está prohibido envasar y/o distribuir GLP en cilindros o tanques estacionarios que no cumplan con la reglamentación técnica vigente sobre fabricación, reparación y mantenimiento de cilindros y tanques estacionarios, expedida por el Ministerio respectivo, o que puedan representar un peligro para el usuario, el prestador del servicio o la comunidad en general;
Que el literal e) del Artículo 13o de la Resolución CREG-019 de 2002 establece como una de las obligaciones generales de los distribuidores la de “Cumplir estrictamente las metas individuales de reposición y mantenimiento que establezca la regulación.”;
Que el Artículo 22o de la Resolución CREG-019 de 2002 dispuso que “Dentro de los dos meses siguientes a la entrada en vigencia de esta Resolución, la Comisión de Regulación de Energía y Gas -CREG- establecerá las metas individuales de reposición y mantenimiento a las que se refiere el Artículo 13o de esta Resolución”;
Que el Artículo 1o de la Resolución CREG-057 de 2002 amplió el plazo establecido en el Artículo 22o de la Resolución CREG-019 de 2002 en dos (2) meses;
Que la capacitación a los usuarios es indispensable para cumplir el programa de reposición y mantenimiento de cilindros portátiles y tanques estacionarios, dado que el usuario, estando debidamente capacitado, puede exigir al distribuidor la reposición y/o mantenimiento de los cilindros portátiles y tanques estacionarios de que dispone para prestarle el servicio, de acuerdo con la normatividad técnica y la regulación vigentes;
Que de acuerdo con el Artículo 73.12 de la Ley 142 de 1994, le corresponde a la CREG determinar, para el servicio público domiciliario de GLP, las unidades de tiempo y de medida que deben utilizarse al definir el consumo.
Que el Parágrafo 3o del Artículo 3o de la Resolución CREG-019 de 2002, señala que una vez finalizada la ejecución del programa intensivo de reposición con cambio de tamaño, de que trata la Resolución CREG-048 de 2000, los cilindros que no cumplan con la reglamentación técnica vigente al momento de su fabricación o que no tengan una capacidad nominal de 30 libras u 80 libras, deberán ser entregados para su destrucción;
Que para efectos de control y vigilancia es necesario precisar las unidades de medida y los medios para la prestación del servicio público domiciliario de GLP para el territorio nacional, con fundamento en las facultades otorgadas a la CREG por la Ley 142 de 1994 para regular este servicio;
Que el Artículo 1o de la Resolución CREG-048 de 2000 fijó el Margen para Seguridad vigente para los años 1 y 2 del programa de mantenimiento y reposición de cilindros y tanques estacionarios de GLP, que corresponden a los períodos comprendidos entre abril 2001-marzo 2002 y abril 2002-marzo 2003 respectivamente;
Que la Resolución CREG-131 de 2001 regula la destinación de los recursos provenientes del Margen de Seguridad para el año dos (2) del programa intensivo de reposición de cilindros a que hace referencia la Resolución CREG 048 de 2000, de conformidad con lo establecido en el artículo 23 de la Ley 689 de 2001;
Que de acuerdo con los resultados de la ejecución del programa intensivo de reposición y mantenimiento establecido en la Resolución CREG-048 de 2000 es necesario reprogramar el segundo semestre del año dos (2) y programar el primer semestre del año tres (3) de este programa;
Que el Artículo 19o de la Resolución CREG-019 de 2002, que modificó el artículo 9º de la Resolución CREG-010 de 2002, establece como obligación del Comité Fiduciario presentar cada año a la Comisión de Regulación de Energía y Gas, para su aprobación, un presupuesto estimado de los gastos en que incurrirá para el cumplimiento de sus funciones;
Que el Comité Fiduciario, representado por su Presidente, mediante radicado MMECREG-008749 de fecha 3 de octubre de 2002 presentó para aprobación de la CREG el presupuesto de gastos correspondiente al período octubre de 2002 a octubre de 2004.
Que la Comisión de Regulación de Energía y Gas en la Sesión No. 201 del 22 de octubre de 2002, acordó expedir las metas individuales de reposición y mantenimiento de cilindros y tanques estacionarios utilizados en la prestación del servicio de Gas Licuado del Petróleo (GLP) de acuerdo con lo establecido en la Resolución CREG-019 de 2002;
R E S U E L V E :
CAPÍTULO I
RECURSOS DEL MARGEN DE SEGURIDAD
ARTÍCULO 1o. Destinación de los recursos del margen de seguridad. El inciso 2o del Artículo 29o de la Resolución CREG-074 de 1996, modificado por el Artículo 1o de la Resolución CREG-131 de 2001, quedará así:
“De acuerdo con lo establecido en el artículo 23 de la Ley 689 de 2001, los recursos provenientes del margen de seguridad se emplearán exclusivamente para la reposición y el mantenimiento de cilindros portátiles y tanques estacionarios. Por tal razón, con dichos recursos se pagarán exclusivamente los costos de estas actividades y los gastos de inversión y funcionamiento que las exigencias técnicas y administrativas demanden como necesarios para su ejecución y operación. Se consideran exigencias técnicas y administrativas, aquellas necesarias para la ejecución y operación de las actividades de mantenimiento y reposición de cilindros portátiles y tanques estacionarios, la administración de los recursos que financian el programa de reposición y mantenimiento, la interventoría técnica de los trabajos que deban realizarse en desarrollo de este programa y la capacitación de usuarios del servicio público domiciliario de GLP que se requiera para el desarrollo del Programa de Reposición y Mantenimiento de Cilindros y Tanques Estacionarios, de acuerdo con la regulación vigente.”
Concordancia: Resolución CREG 074-96 Artículo 29, Inc. 2
ARTÍCULO 2o. Valor del Margen de Seguridad. El valor del Margen de Seguridad establecido en el Artículo 4o de la Resolución CREG-131 de 2001, de ochenta y un pesos por galón de GLP ($81/galón), en pesos de diciembre de 1999, continuará vigente mientras la CREG no establezca un nuevo valor.
Parágrafo. La actualización del valor del Margen de Seguridad se hará de acuerdo con lo establecido en el Artículo 1o de la Resolución CREG-012 de 2001.
Concordancia : Resolución CREG 012-01 Artículo 1
Resolución CREG 131-01 Artículo 4
ARTÍCULO 3o. Aprobación Presupuesto de Gastos del Comité Fiduciario. Apruébase el presupuesto de gastos del Comité Fiduciario para el período comprendido entre el 1o de diciembre de 2002 y el 30 de noviembre de 2003, por un valor máximo de trescientos millones de pesos ($300.000.000) moneda legal colombiana, para ejecutar las siguientes actividades:
CONCEPTO |
| Secretaría Técnica |
| Asesoría contratación nueva interventoría |
| Asesoría Técnica y Legal |
| Imprevistos |
Concordancia : Resolución CREG 019-02 Artículo 19
ARTÍCULO 4o. Asignación de los Recursos del Margen de Seguridad. A partir del 1o de diciembre de 2002 y hasta el 30 de noviembre de 2003, se asignarán los recursos provenientes del margen de seguridad, de la siguiente manera:
CONCEPTO | VALORES
(Cifras en pesos de mayo/2002) |
| CONTRATACIÓN NUEVA FIDUCIA (1) (3) | 37,000,000 |
| INTERVENTORÍA CONTRATO DE FIDUCIA (2) (3) | 49,000,000 |
| PRESUPUESTO DE GASTOS COMITÉ FIDUCIARIO (3) | 300,000,000 |
| FIDUCIA (3) | 907,600,000 |
| REPOSICIÓN Y MANTENIMIENTO DE TANQUES ESTACIONARIOS (3) | 240,000,000 |
| INTERVENTORIA PROGRAMA DE R Y M (3) | 2,061,972,140 |
| CAPACITACION A USUARIOS (3) | 700,000,000 |
| REPOSICIÓN DE CILINDROS PORTÁTILES | 58,513,408,143 |
| MANTENIMIENTO DE CILINDROS PORTÁTILES | 8,735,401,082 |
(1) y (2) corresponden a gastos autorizados al Gran Comercializador en calidad de Fideicomitente.
(3) Corresponde a valores máximos
En caso de presentarse excedentes en alguno de los rubros presupuestados en aquellos gastos de inversión y funcionamiento que soportan el programa de reposición y mantenimiento, éstos se redistribuirán entre los rubros de reposición y mantenimiento de cilindros portátiles y tanques estacionarios, de forma proporcional.
Parágrafo. La estrategia de utilización y la ejecución de los recursos para capacitación de usuarios será responsabilidad del Comité Fiduciario. Para tal efecto se deberá utilizar como fuente única de financiación de este rubro los recursos que provengan de la venta de chatarra.
Resolución CREG 131-01
CAPÍTULO II
METAS INDIVIDUALES DE REPOSICIÓN Y MANTENIMIENTO
DE CILINDROS PORTÁTILES
ARTÍCULO 5o. Criterios generales para la programación y ejecución de las actividades de reposición y mantenimiento de cilindros portátiles.
1. Las metas individuales que se establecen en esta Resolución son las metas mínimas que debe cumplir cada empresa distribuidora de GLP que utilice cilindros portátiles para la prestación del servicio. El incumplimiento de estas metas dará lugar a la aplicación del artículo 81 de la Ley 142 de 1994 por parte de la Superintendencia de Servicios Públicos Domiciliarios, sin perjuicio de la aplicación de otras disposiciones legales.
2. El Comité Fiduciario podrá adoptar lineamientos generales, basados en criterios eficiencia, para coordinar con las empresas distribuidoras de GLP las programaciones que éstas últimas deben realizar de acuerdo con lo establecido en la Resolución CREG-074 de 1996, respetando las metas individuales fijadas en el Anexo de la presente Resolución.
3. Las empresas distribuidoras de GLP podrán programar, para reposición o mantenimiento, cantidades de cilindros portátiles adicionales a las previstas en esta Resolución, y su ejecución estará sujeta a la aprobación del Comité Fiduciario.
4. Las empresas distribuidoras de GLP, que en los términos previstos en el artículo 11.8 de la Ley 142 de 1994 informen del inicio de sus operaciones a la Superintendencia de Servicios Públicos Domiciliarios y a la Comisión de Regulación de Energía y Gas, serán incluidas dentro del programa de reposición y mantenimiento, y con base en la información reportada por las empresas la CREG procederá a fijar las metas individuales correspondientes.
5. La metas individuales de reposición se establecerán y verificarán trimestralmente, con excepción de las metas fijadas para zonas distantes, las cuales deberán ser ejecutadas en cualquier momento durante el período comprendido entre diciembre 1 de 2002 a mayo 31 de 2003, de acuerdo con la programación que se realice conjuntamente con el Comité Fiduciario.
Concordancia: Resolución CREG 074-96
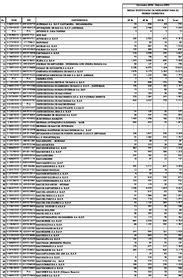
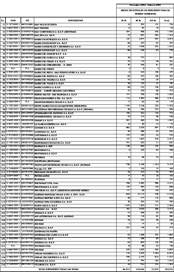
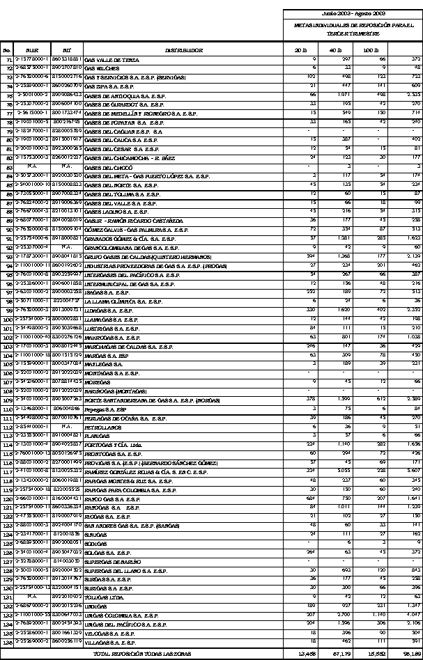
ARTÍCULO 6o. Metas individuales de reposición de cilindros portátiles. Las metas individuales de reposición de cilindros portátiles utilizados en la prestación del servicio de GLP, que deben cumplir las empresas distribuidoras de GLP, están contenidas en el Anexo de esta Resolución.
Concordancia: Anexo
CAPÍTULO III
DE LOS MEDIOS PARA LA PRESTACIÓN DEL
SERVICIO PÚBLICO DOMICILIARIO DE GLP
ARTÍCULO 7o. Medios de prestación del servicio público domiciliario de GLP. La prestación del servicio de distribución de gases licuados de petróleo (GLP) dentro del territorio nacional se realizará a través de cilindros portátiles, tanques estacionarios y semiestacionarios o redes locales de tubería, desde un sitio de acopio de grandes volúmenes de GLP hasta la instalación de un consumidor final, incluyendo su conexión y medición.
ARTÍCULO 8o. Cilindros portátiles. Los cilindros portátiles que se utilicen como medio de prestación del servicio de distribución de GLP dentro del territorio colombiano, tanto importados como de fabricación nacional, deberán corresponder a capacidades nominales de 30 u 80 libras. Estos cilindros portátiles deberán cumplir con la normatividad técnica vigente expedida por el Ministerio respectivo.
Parágrafo 1o. Mientas se culmina la ejecución del programa intensivo de reposición de cilindros portátiles, a que hace referencia la Resolución CREG 048 de 2000, y aquellas que la modifiquen, adicionen o complementen, se podrá continuar prestando el servicio en los cilindros portátiles de 20, 40 y 100 libras de capacidad que, al momento de la publicación de esta Resolución, hagan parte del parque de cilindros. Durante esta etapa las empresas distribuidoras deberán informar plenamente a sus Usuarios sobre este Programa y sus características.
Parágrafo 2o. A partir del 1 de febrero de 2003, los cilindros nuevos que ingresen al parque, requeridos para ampliar la cobertura en la prestación del servicio o para atender incrementos de demanda, deberán corresponder únicamente a capacidades nominales de 30 u 80 libras.
Concordancia: Resolución CREG 048-00
CAPÍTULO IV
OTRAS DISPOSICIONES
ARTÍCULO 9o. Del valor del Margen de Seguridad y de las metas anuales de reposición. Anualmente la CREG definirá el valor del Margen de Seguridad y las metas de reposición aplicables en cada período. Los valores fijados por la CREG estarán vigentes hasta que defina unos nuevos.
ARTÍCULO 10o. De la vigencia de la Resolución. La presente Resolución rige a partir del 1º de diciembre de 2002.
Publicada en el Diario Oficial No. 45.005 del 21 de Noviembre de 2002
PUBLIQUESE Y CUMPLASE
Dada en Bogotá, D.C. 22 OCT. 2002
JUAN MANUEL GERS OSPINA | JAIME ALBERTO BLANDÓN DÍAZ |
Viceministro de Minas y Energía
Delegado por el Ministro de Minas y Energía | Director Ejecutivo |
Presidente |  |
A N E X O
METAS INDIVIDUALES DE REPOSICIÓN DE CILINDROS PORTÁTILES









Anexo modificado por: Resolución CREG 021-03
JUAN MANUEL GERS OSPINA | JAIME ALBERTO BLANDÓN DÍAZ |
Viceministro de Minas y Energía
Delegado por el Ministro de Minas y Energía | Director Ejecutivo |
Presidente |  |
|
Doble click sobre el archivo anexo para bajarlo(Resoluciones CREG) |
Doble click sobre el archivo anexo para bajarlo(Documento CREG) |
|