| Publicación Diario Oficial No.: | 46.598, el día:13/April/2007 |
| Publicada en la WEB CREG el: | 21/March/2007 |
|
RESOLUCIÓN No.015
( 26 FEB. 2007 )
Por la cual se programan las metas individuales para el cumplimiento del programa de reposición de cilindros portátiles utilizados en la prestación del servicio de Gas Licuado del Petróleo (GLP) para el período abril de 2007 a junio de 2008 y se dictan otras disposiciones.
LA COMISIÓN DE REGULACIÓN DE ENERGÍA Y GAS
En ejercicio de sus facultades legales, en especial las conferidas por las Leyes 142 de 1994 y 689 de 2001, y en desarrollo de los Decretos 1524 y 2253 de 1994, y
C O N S I D E R A N D O :
Que de conformidad con lo dispuesto en la Ley 142 de 1994 corresponde a la Comisión de Regulación de Energía y Gas regular la prestación del servicio de gas combustible;
Que de acuerdo a lo establecido en el artículo 23 de la Ley 689 de 2001 corresponde a la CREG expedir la regulación relacionada con la reposición y mantenimiento de los cilindros y tanques estacionarios utilizados en la comercialización del GLP;
Que en desarrollo de lo establecido en el artículo 23 de la Ley 689 de 2001, la CREG expidió la Resolución 019 de 2002, por la cual se adopta la regulación aplicable a la reposición y mantenimiento de cilindros y tanques estacionarios utilizados en la prestación del servicio de Gas Licuado del Petróleo (GLP), disponiendo el establecimiento de metas individuales de reposición de cilindros portátiles;
Que la Resolución CREG-071 de 2002 estableció las metas individuales de reposición para ser ejecutadas durante el período diciembre 2002 – noviembre 2003.
Que mediante Resolución CREG-021 de 2003, se reprogramaron las metas individuales de reposición por empresa de que trata la Resolución CREG-071 de 2002, para ser ejecutadas durante el período Julio de 2003 hasta Junio de 2004.
Que mediante Resolución CREG-077 de 2003 se compatibilizaron las vigencias anuales del presupuesto del Margen de Seguridad con la ejecución de las metas individuales de reposición.
Que mediante Resolución CREG-057 de 2004 se establecieron metas semestrales para ejecutar durante el período septiembre 2004 – febrero 2005.
Que mediante Resolución CREG-002 de 2005 se establecieron metas para ejecutar durante el período marzo 2005 – febrero 2006.
Que mediante Resolución CREG 009 de 2006, se establecieron metas de reposición para ejecutar durante el período abril 2006-marzo 2007, las cuales fueron adicionadas por Resolución CREG-048 de 2006 con metas de reposición de cilindros de 100 libras (45 kilogramos) para ser ejecutadas durante el período octubre 2006-marzo 2007.
Que debido a que la expedición de las metas individuales se fue desplazando en el tiempo se generan dificultades para la programación y para la ejecución del programa de mantenimiento y reposición de cilindros y tanques
Que el artículo 5º de la Resolución 071 de 2002 establece los criterios generales para la programación y ejecución de las actividades de reposición y mantenimiento de cilindros portátiles;
Que la capacitación a los usuarios es indispensable para cumplir el programa de reposición y mantenimiento de cilindros portátiles y tanques estacionarios, dado que el usuario, estando debidamente capacitado, es quién realmente puede exigir al distribuidor la reposición y/o mantenimiento de los cilindros portátiles y tanques estacionarios de que dispone para prestarle el servicio, de acuerdo con la normatividad técnica y la regulación vigentes.
Que mediante la Resolución CREG 091 de 2006, la CREG sometió a consulta pública una propuesta para que los recursos del Margen de Seguridad destinados a capacitación de usuarios no se utilizaran en temas distintos a éste y que por tanto los recursos de capacitación no utilizados durante una vigencia dada, se mantuviesen reservados para su ejecución en forma agregada en la próxima vigencia, y se considera conveniente adoptar esta medida de manera definitiva.
Que la Resolución CREG 019 de 2002 establece que una vez finalizada la ejecución del programa intensivo de reposición con cambio de tamaño, de que trata la Resolución CREG-048 de 2000, los cilindros que no cumplan con la reglamentación técnica vigente al momento de su fabricación o que no tengan una capacidad nominal de 33 libras (6 kilogramos) y de 77 libras (35 kilogramos) deberán ser entregados para su destrucción y no serán objeto de reposición con cargo a los recursos del Margen de Seguridad.
Que mediante Resolución CREG 026 de 2006, la CREG flexibilizó la reposición de cilindros de 100 libras (45 kilogramos) permitiendo que ésta se haga por cilindros de la misma denominación o por cilindros de 77 libras (35 kilogramos).
Que las estadísticas de reposición de cilindros alcanzadas hasta la fecha muestran que ya se ha repuesto más del 50% del parque de cilindros en circulación, lo cual significa que el parque que se encontraba más deteriorado, según los resultados del estudio de diagnóstico realizado por la firma SGS para la CREG, ya ha sido reemplazado por un parque nuevo.
Que conforme a las normas vigentes, la empresa distribuidora de GLP es aquella que compra GLP y lo suministra al usuario final de este servicio público domiciliario;
Que la Comisión de Regulación de Energía y Gas, en la Sesión No. 322 del 26 de febrero de 2007, acordó expedir las metas individuales de reposición y mantenimiento de cilindros utilizados en la prestación servicio de Gas Licuado del Petróleo (GLP).
R E S U E L V E :
ARTÍCULO 1o. Ámbito de Aplicación. Las disposiciones contenidas en esta resolución aplican a los recursos provenientes del Margen de Seguridad de que trata la Ley 689 de 2001, así como a todos los demás recursos asociados que por su naturaleza deban ingresar a la fiducia, de que trata la Resolución CREG-010 de 2002, tales como penalizaciones a grandes comercializadores por mora en la transferencia de los recursos recaudados por concepto del Margen de Seguridad y multas ocasionadas por la ejecución de los contratos celebrados con cargo a los recursos del Margen de Seguridad, rendimientos financieros de los recursos del Margen de Seguridad, y demás conceptos establecidos en esta materia.
ARTICULO 2o. Distribución Anual de los Recursos del Margen de Seguridad. Anualmente, con la expedición de la Resolución que establece las metas individuales y la ejecución del Programa de Mantenimiento y Reposición de cilindros y tanques estacionarios, la CREG asignará los recursos del Margen de Seguridad requeridos para el efecto, descontando los recursos necesarios para la adecuada administración del esquema centralizado vigente.
ARTÍCULO 3o. Información financiera de los recursos del Margen de Seguridad . El fideicomitente, a través de la entidad fiduciaria administradora de los recursos del Margen de Seguridad, deberá reportar la información financiera de utilización y disponibilidad de los recursos del Margen de Seguridad utilizando los aplicativos diseñados para tal fin en el Sistema de Información del Margen de Seguridad del que trata la Resolución CREG-019 de 2002.
ARTÍCULO 4o. Período de las Vigencias Anuales para la distribución de los recursos del Margen de Seguridad. Las vigencias de distribución de los recursos del Margen de Seguridad establecido en esta Resolución inician el 1 de julio de cada año y finalizan el 30 de junio del siguiente año.
Parágrafo. A efectos de compatibilizar estos períodos con la ejecución de metas individuales, la presente Resolución establece metas para ser ejecutadas durante el período abril de 2007 hasta junio de 2008.
ARTICULO 5o. Presupuesto para la administración del esquema de Mantenimiento y Reposición de cilindros y tanques estacionarios. En cumplimento de la función establecida en el literal j) del Artículo 19 de la Resolución CREG 019 de 2002, el Comité Fiduciario informará a la CREG el presupuesto detallado que requerirá para la administración del esquema durante cada vigencia con sujeción a los rubros que se indican a continuación.
CONCEPTO | Máximo % del total anual transferido a la Fiducia |
1. | CONTRATACIÓN FIDUCIA | 0,1% |
2. | INTERVENTORÍA CONTRATO DE FIDUCIA | 0,1% |
3. | PRESUPUESTO DE GASTOS COMITÉ FIDUCIARIO | 1,0% |
4. | COMISION FIDUCIARIA | 3,0% |
5. | INTERVENTORIA PROGRAMA DE MANTENIMIENTO Y REPOSICIÓN | 4,8% |
TOTAL | 9,0% |
Parágrafo 1. El porcentaje indicado establece el máximo de recursos, del total de transferencias por concepto de Margen de Seguridad recibidas por la fiduciaria durante una vigencia anual, de los cuales podrá disponer el Comité Fiduciario para el efecto.
Parágrafo 2. Los rubros 1 y 2 indicados en este Artículo son los porcentajes máximos que se autorizan al fideicomitente.
Parágrafo 3. El rubro de contratación de la fiducia existirá únicamente cuando se requiera un nuevo proceso de contratación y podrá programarse una sola vez por cada proceso.
Parágrafo 4. Con base en la identificación de estos recursos y los recursos de la vigencia inmediatamente anterior no ejecutados, el Comité Fiduciario tiene además la responsabilidad de informar a la CREG sobre los recursos disponibles en la Fiducia, por todo concepto, para ejecutar en la nueva vigencia. Esta información debe reportarse a mas tardar el 20 de mayo de cada año. En caso de coincidir con un día no hábil, deberá reportarlo el día hábil inmediatamente siguiente.
ARTICULO 6o. Recursos para Capacitación de Usuarios. En la distribución anual de los recursos del Margen de Seguridad que realice la CREG se mantendrá una asignación equivalente al 5% del total de los recursos transferidos anualmente a la fiduciaria a efectos de ser utilizados en Capacitación a Usuarios. Los recursos de capacitación no utilizados durante una vigencia anual se mantendrán reservados para su ejecución en forma agregada en la próxima vigencia.
Parágrafo. La estrategia de utilización y la ejecución de los recursos del rubro correspondiente a Capacitación de Usuarios es responsabilidad del Comité Fiduciario. Anualmente, durante los dos primeros meses de cada vigencia, el Comité Fiduciario deberá informar a la CREG y a la SSPD sobre el Plan de Capacitación a ejecutar durante el año.
ARTICULO 7o . Programa de Mantenimiento y Reposición de Tanques Estacionarios y de un Programa de Mantenimiento de Cilindros. A efectos de comenzar un programa de Mantenimiento y Reposición de Tanques Estacionarios y de un Programa de Mantenimiento de Cilindros a partir de la vigencia que se inicia en julio de 2007, el Comité Fiduciario deberá proponer a la CREG acciones concretas y/o estrategias en este sentido con base en la consulta que realicen con los distribuidores a través de sus representantes en el mismo. Para el efecto, transcurrido un mes de expedida esta resolución, el Comité Fiduciario presentará a la CREG sus recomendaciones. Con base en las mismas, la CREG diseñará los mecanismos para llevar a cabo este programa de manera que su ejecución coincida con la vigencia que iniciará el próximo mes de julio.
ARTÍCULO 8o. Criterios generales para la programación y ejecución de las actividades de reposición y mantenimiento de cilindros portátiles.
1. Las metas individuales que se establecen en esta Resolución son las metas mínimas que debe cumplir cada empresa distribuidora de GLP que utilice cilindros portátiles para la prestación del servicio. El incumplimiento de estas metas dará lugar a la aplicación de los correspondientes procedimientos administrativos por parte de la Superintendencia de Servicios Públicos Domiciliarios.
2. El Comité Fiduciario podrá adoptar lineamientos generales, basados en criterios de eficiencia, para coordinar con las empresas distribuidoras de GLP las programaciones que éstas últimas deben realizar para el cumplimiento de sus metas de reposición, respetando las metas individuales fijadas en la presente Resolución.
3. Las empresas distribuidoras de GLP podrán programar, para reposición o mantenimiento, cantidades de cilindros portátiles adicionales a las previstas en esta Resolución, y su ejecución estará sujeta a la aprobación del Comité Fiduciario con base en la disponibilidad de recursos. Para el efecto, en primer lugar el Comité Fiduciario debe tomar todas las medidas necesarias para asegurar la adecuada y completa ejecución del Programa de Reposición y Mantenimiento que se esté ejecutando con base en la regulación vigente.
4. Las empresas distribuidoras de GLP, que en los términos previstos en el artículo 11.8 de la Ley 142 de 1994 informen del inicio de sus operaciones a la Superintendencia de Servicios Públicos Domiciliarios y a la Comisión de Regulación de Energía y Gas, serán incluidas dentro del programa de reposición y mantenimiento, para lo cual la CREG procederá a fijar las metas individuales correspondientes.
5. Cuando las empresas distribuidoras a las cuales se les ha asignado metas sean sujeto de fusiones, debidamente autorizadas por la autoridad competente, las metas individuales de la sociedad absorbente corresponderán a las metas agregadas de cada una de las empresas absorbidas.
6. Las metas individuales de mantenimiento y reposición se verificarán trimestralmente.
ARTÍCULO 9o. Ingreso de cilindros repuestos al parque en circulación. Es obligación de los distribuidores ingresar al parque en circulación la totalidad de los cilindros repuestos con cargo a los recursos provenientes del Margen de Seguridad. Por lo tanto debe existir correspondencia entre las ventas reportadas en los nuevos tamaños y los cilindros repuestos en los antiguos tamaños.
ARTICULO 10o. Presupuesto para la ejecución del Programa de Mantenimiento y Reposición de Cilindros y Tanques Estacionarios. El presupuesto para ejecutar las metas indicadas en los artículos 11,13 y 15 de esta Resolución y las demás disposiciones contenidas en la misma es el siguiente:
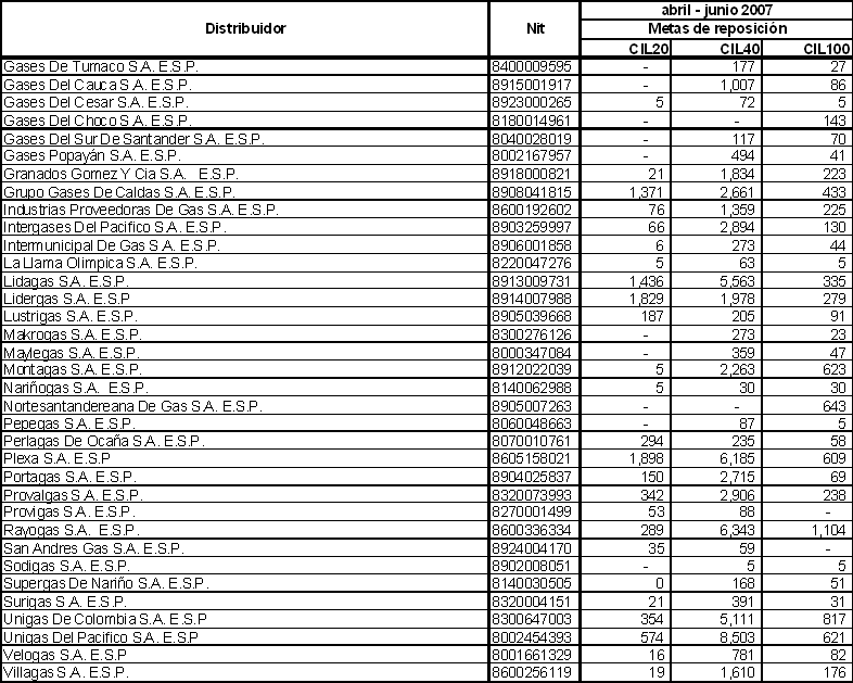
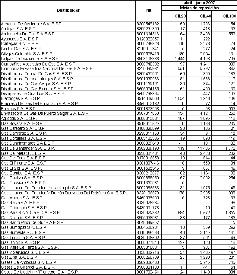
ARTÍCULO 11o. Metas individuales de reposición de cilindros portátiles de 20 libras ( 9 kilogramos), 40 libras (18 kilogramos) y 100 libras (45 kilogramos) a ejecutar durante el período abril a junio de 2007. Las metas individuales de reposición de cilindros portátiles utilizados en la prestación del servicio de GLP, que deben cumplir las empresas distribuidoras de GLP durante el período indicado en este Artículo, serán las siguientes:
ARTICULO 12o. Disposición final de los recursos no ejecutados durante el periodo abril – junio 2007. Si al finalizar el trimestre Abril-Junio de 2007 se llegasen a presentar recursos excedentes por la no ejecución de las metas individuales correspondientes, el Comité Fiduciario los adicionará a los rubros de mantenimiento y reposición de tanques estacionarios y de mantenimiento de cilindros de la vigencia presupuestal que comienza el 1 de julio de 2007.
De igual forma, si al finalizar este trimestre no se han utilizado recursos destinados al mantenimiento de cilindros y tanques estacionarios y a la reposición de estos últimos, el Comité Fiduciario los adicionará a los mismos rubros de la vigencia presupuestal que comienza el 1 de julio de 2007.
Parágrafo. De acuerdo con lo establecido en el Artículo 7º de esta Resolución, la CREG diseñará un programa para la ejecución de los recursos reservados en estos rubros.
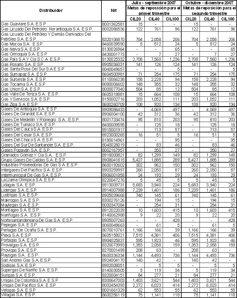
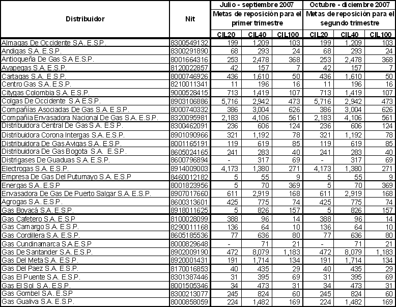
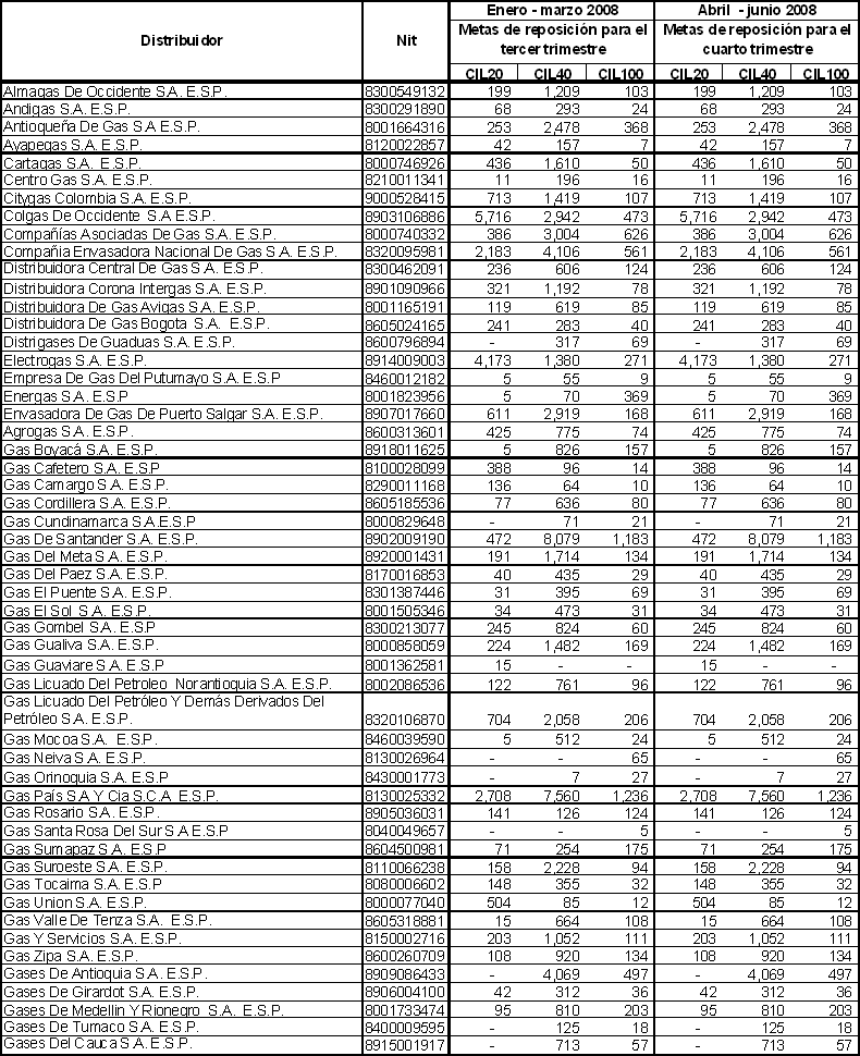
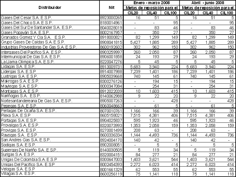
ARTÍCULO 13o. Metas individuales de reposición de cilindros portátiles de 20 libras ( 9 kilogramos), 40 libras (18 kilogramos) y 100 libras (45 kilogramos) a ejecutar durante el período julio 2007 – junio 2008. Las metas individuales de reposición de cilindros portátiles utilizados en la prestación del servicio de GLP, que deben cumplir las empresas distribuidoras de GLP durante el período indicado en este Artículo, serán las siguientes:
ARTICULO 14o. Reposición Total del parque de cilindros de 20 libras (9 kilogramos). El programa de reposición establecido en esta Resolución determina la reposición total del parque de cilindros de 20 libras ( 9 kilogramos) para su eliminación del parque. En consecuencia, a partir del mes de julio de 2008 no se podrán utilizar cilindros de 20 libras ( 9 kilogramos) de capacidad para prestar el servicio. A partir de esa fecha, los cilindros que aun permanezcan en el parque deberán ser recogidos por los distribuidores y destruidos sin derecho a reposición.
ARTICULO 15o. Metas Adicionales para distribuidores que alcanzaron su meta de reposición en alguno de los tamaños. A solicitud de las empresas distribuidoras, el Comité Fiduciario podrá autorizar cantidades adicionales de reposición a aquellas empresas que ya repusieron la totalidad de su parque en alguno de los tamaños y que por tanto no se les asignó meta en esta Resolución hasta el máximo de cilindros establecido en este Artículo.
ARTÍCULO 16o. La presente Resolución deroga lo dispuesto en la Resolución CREG 077 de 2003 y en la Resolución CREG 095 de 2004.
ARTICULO 17o . La presente resolución deberá notificarse a las empresas que se relacionan en los Artículos 11, 13 y 15 anteriores, y publicarse en el Diario Oficial. Contra las decisiones contenidas en los mismos Artículos procede el Recurso de Reposición, el cual podrá interponerse ante la Dirección Ejecutiva de la CREG dentro de los cinco (5) días hábiles siguientes a la fecha de su notificación.
NOTIFIQUESE, PUBLIQUESE Y CUMPLASE
Dada en Bogotá, D.C. 26 FEB.2007
MANUEL MAIGUASHCA OLANO | CAMILO QUINTERO MONTAÑO |
Viceministro de Minas y Energía | Director Ejecutivo |
Delegado del Ministro de Minas y Energía
Presidente |  |
|
Doble click sobre el archivo anexo para bajarlo(Resoluciones CREG) |
Doble click sobre el archivo anexo para bajarlo(Documento CREG) |
|