| Publicación Diario Oficial No.: | 49.525, el día:28/May/2015 |
| Publicada en la WEB CREG el: | 27/May/2015 |
República de Colombia
Ministerio de Minas y Energía
COMISIÓN DE REGULACIÓN DE ENERGÍA Y GAS
RESOLUCIÓN No. 011 DE 2015
( 12/FEB/2015 )
Por la cual se regula el programa de respuesta de la demanda para el mercado diario en condición crítica.
LA COMISIÓN DE REGULACIÓN DE ENERGÍA Y GAS
en ejercicio de sus atribuciones constitucionales y legales, en especial las conferidas por las leyes 142 y 143 de 1994, y en desarrollo de los decretos 1524, 2253 de 1994 y 1260 de 2013.
C O N S I D E R A N D O Q U E:
Según la Ley 143 de 1994, artículo 4, el Estado, en relación con el servicio de electricidad, tendrá como objetivos en el cumplimiento de sus funciones, los de abastecer la demanda de electricidad de la comunidad bajo criterios económicos y de viabilidad financiera, asegurando su cubrimiento en un marco de uso racional y eficiente de los diferentes recursos energéticos del país; asegurar una operación eficiente, segura y confiable en las actividades del sector; y mantener los niveles de calidad y seguridad establecidos.
La Ley 143 de 1994, artículo 20, definió como objetivo fundamental de la regulación en el sector eléctrico, asegurar una adecuada prestación del servicio mediante el aprovechamiento eficiente de los diferentes recursos energéticos, en beneficio del usuario en términos de calidad, oportunidad y costo del servicio.
Para el cumplimiento del objetivo señalado, la Ley 143 de 1994, artículo 23, le atribuyó a la Comisión de Regulación de Energía y Gas, entre otras, la función de crear las condiciones para asegurar la disponibilidad de una oferta energética eficiente capaz de abastecer la demanda bajo criterios sociales, económicos, ambientales y de viabilidad financiera, promover y preservar la competencia.
Según la Ley 142 de 1994, artículo 74, son funciones y facultades especiales de la CREG, entre otras, las de regular el ejercicio de las actividades de los sectores de energía y gas combustible para asegurar la disponibilidad de una oferta energética eficiente; propiciar la competencia en el sector de minas y energía y proponer la adopción de las medidas necesarias para impedir abusos de posición dominante y buscar la liberación gradual de los mercados hacia la libre competencia; y establecer criterios para la fijación de compromisos de ventas garantizadas de energía y potencia entre las empresas eléctricas y entre éstas y los grandes usuarios.
La Ley 142 de 1994, artículo 74, también le asignó a la Comisión de Regulación de Energía y Gas, la función de expedir el Reglamento de Operación para regular el funcionamiento del Mercado Mayorista de Energía.
Mediante las resoluciones CREG 024 y 025 de 1995 la Comisión reguló el funcionamiento del Mercado Mayorista.
En la Resolución CREG 071 de 2006, se adoptó la metodología para la remuneración del Cargo por Confiabilidad en el Mercado Mayorista de Energía y en ella se estableció la demanda desconectable voluntaria, DDV, como un anillo de seguridad del Cargo por Confiabilidad, orientado a facilitar el cumplimiento de las obligaciones de energía firme.
La Comisión de Regulación de Energía y Gas expidió la Resolución CREG 063 de 2010 “Por la cual se regula el anillo de seguridad del Cargo por Confiabilidad denominado Demanda Desconectable Voluntariamente”.
En la Resolución CREG 203 de 2013 se modificaron las resoluciones CREG 063 de 2010 y 071 de 2006, en relación con la verificación y liquidación de la demanda desconectable voluntaria, DDV, y el cálculo de la disponibilidad comercial dentro de la remuneración real individual diaria del Cargo por Confiabilidad.
Fundamentado en el anillo de seguridad de la DDV, con la Resolución CREG 098 de 2014 se ordenó publicar un proyecto de resolución con el objetivo de incentivar la respuesta de la demanda para el mercado diario en condiciones de escasez, sobre el cual se recibieron comentarios de 36 remitentes, los cuales se analizan y se responden en el Documento 009 de 2015.
De acuerdo con la Ley 1715 de 2014 y el Decreto 2492 de 2014, la CREG deberá diseñar los mecanismos necesarios para que los usuarios, puedan voluntariamente, entre otros, ofertar reducciones o desconexiones de demanda en el mercado mayorista con el objetivo de dar confiabilidad al Sistema Interconectado Nacional, respaldar Obligaciones de Energía Firme, reducir los precios en la Bolsa de Energía y los costos de restricciones.
La Comisión en su sesión No. 639, del 12 de febrero de 2015, acordó expedir esta resolución.
R E S U E L V E:
CAPÍTULO I
DISPOSICIONES GENERALES
Artículo 1. Objeto. Mediante la presente resolución se adoptan las normas para regular el programa de respuesta de la demanda, RD, para el mercado diario en condición crítica.
Las normas de esta resolución hacen parte integrante del Reglamento de Operación que regula el funcionamiento del Mercado Mayorista de Energía.
Artículo 2. Ámbito de Aplicación. Esta resolución aplica a los comercializadores que representan a los usuarios interesados en participar voluntariamente en el programa de respuesta de la demanda, así como a la liquidación y recaudo de las transacciones asociadas a dicho programa, que operará dentro de la Bolsa de Energía del Mercado Mayorista.
CAPÍTULO II
DEFINICIONES
Artículo 3. Definiciones. Para efectos de la presente resolución se aplicarán las siguientes definiciones:
Condiciones críticas: Situación que presenta el mercado mayorista de energía cuando el precio de bolsa es mayor al precio de escasez.
Demanda desconectable voluntaria, DDV: Es la energía que reducen de manera voluntaria los usuarios que participan en el mecanismo de la DDV conforme a lo establecido en la Resolución CREG 063 de 2010.
Frontera de demanda desconectable voluntaria o Frontera DDV: corresponde a la frontera definida en la Resolución CREG 063 de 2010 o aquella que la modifique, complemente o sustituya, que será utilizada para medir los consumos de la demanda a reducir de un usuario para el programa de respuesta de la demanda, RD, de que trata esta resolución.
Plantas de emergencia: Son aquellas plantas o unidades de generación que utilizan los usuarios para atender su consumo.
Respuesta de la demanda verificada, RDV: Es la demanda que efectivamente sea reducida de manera voluntaria por los usuarios, verificada conforme a lo establecido en esta resolución y que se considerará para la liquidación de las transacciones en el Mercado Mayorista.
CAPÍTULO III
CARACTERÍSTICAS DEL PROGRAMA DE RESPUESTA DE LA DEMANDA, RD.
Artículo 4. Producto. Será la cantidad de demanda de energía reducida en MWh, con respecto a los consumos de energía del usuario o grupo de usuarios que son representados por parte de un comercializador. Esta reducción de energía será ofertada al Mercado Mayorista de Energía por parte del comercializador de acuerdo con las metodologías definidas en esta resolución.
Artículo 5. Participantes. En el RD participarán como vendedores los comercializadores, estos últimos en representación de un usuario o un grupo de usuarios interesados en participar en este programa.
Cada usuario deberá tener su frontera comercial con reporte al ASIC. El Centro Nacional de Despacho, CND, y el Administrador del Sistema de Intercambios Comerciales, ASIC, tendrán a su cargo la coordinación operativa y las transacciones comerciales derivadas del programa, respectivamente.
El usuario podrá elegir su representación en el programa de RD con un comercializador que puede ser diferente de aquel que lo atiende para el suministro de energía.
Parágrafo 1. El comercializador que representa a la demanda en el programa de RD también podrá ser un agente comercializador que agrega carga para participar en los programas de reducción o desconexión de energía en el Mercado de Energía Mayorista, MEM.
Parágrafo 2. El comercializador que representa al usuario que participa en el programa de RD, deberá tener nivel de acceso 1 a las mediciones realizadas de la frontera comercial del usuario, de acuerdo con lo establecido en el artículo 17 de la Resolución CREG 038 de 2014, y el representante de dicha frontera deberá asegurar el acceso de acuerdo con lo establecido en el artículo 22 de la Resolución CREG 038 de 2014 o aquellas que la modifiquen o sustituyan.
En los casos que el comercializador que representa al usuario en el programa de la RD, requiera realizar una revisión del sistema de medición solicitará una visita de revisión conjunta al agente representante de la frontera comercial quien deberá dar acceso al sistema de medida, para lo cual se aplicará lo establecido en el artículo 47 de la Resolución CREG 156 de 2014 o aquellas que la modifiquen o sustituyan.
Artículo 6. Oferta de RD. El comercializador deberá enviar en representación de un usuario o de forma agregada por un grupo de usuarios al CND, una única oferta de precio para las 24 horas (expresadas en valores enteros de $/MWh) y la declaración de la reducción de energía (expresada en valores enteros en MW para cada periodo horario), en el formato que disponga el CND.
Dicho formato contendrá como mínimo la siguiente información: la identificación de la frontera o fronteras de los usuarios que participan en el RD, la cantidad de energía horaria a reducir y la oferta de precio diaria de reducción de energía.
Parágrafo. Este formato se enviará al CND en los mismos plazos establecidos en la regulación para las plantas despachadas centralmente.
Artículo 7. Deberes de los agentes y operadores. Los agentes y operadores que participen en el programa de RD deberán cumplir los siguientes deberes:
a) Comercializador
1. Garantizar que los medidores que se utilicen cumplan con los requisitos establecidos en el Código de Medida.
2. Informar al usuario los tipos de fronteras DDV utilizadas en el programa RD y verificar que el usuario cumpla con los requisitos del tipo de frontera que escoja.
3. Informar al usuario las condiciones de RD, dejando claro que el programa de RD no es condición necesaria para la firma de un contrato de compraventa o suministro de energía y viceversa.
4. Informar al ASIC los usuarios interesados en prestar el servicio de RD.
5. Informar que la frontera comercial del usuario que se encuentra registrada ante el ASIC en el Mercado Mayorista, será utilizada como frontera DDV con línea base de consumo para el programa de RD.
6. Registrar la frontera como DDV con medición directa asociándola a la frontera de consumo del usuario registrada ante el ASIC en el Mercado Mayorista.
7. Informar a los operadores de red de las fronteras DDV registradas en el ASIC.
8. Solicitar al ASIC el cálculo de la línea base de consumo de un usuario de acuerdo con la información disponible que este tenga.
9. Verificar que los medidores registrados para RD puedan ser interrogados remotamente.
10. Ofrecer disponibilidad las 24 horas de todos los días del año y contar con los medios de comunicación que defina el CND.
11. Verificar que funcione la medida en las fronteras durante el periodo que se active el programa.
12. Notificar al operador de red cuando se activen los programas de RD de sus usuarios.
b) ASIC
1. Administrar la base de datos con la información de los agentes comercializadores con sus fronteras.
2. Verificar que las fronteras comerciales con línea base de consumo cumplan con el modelo de estimación de la Línea Base de Consumo definido en el anexo de esta resolución. En caso de que una frontera comercial no cumpla ese requisito, el ASIC informará al usuario de que no podrá participar en el programa.
3. Revisar las medidas de las fronteras DDV de medición directa si es el caso y realizar la verificación de cumplimiento de la reducción de demanda.
4. Verificar que para un mismo período de tiempo t, si la frontera tiene asociado un compromiso de RD y un contrato de DDV, cumpla con cada uno de los requisitos de verificación de RD y DDV, en caso de no ser así, el ASIC no considerará que hubo reducción de demanda RD.
c) CND
1. Verificar la cantidad de consumo de energía que se puede reducir con el programa de RD en el día en cual el precio de bolsa horario del predespacho ideal sea mayor o igual al 108% del precio de escasez.
2. Incluir en sus análisis y en el despacho la reducción de demanda de RD en la operación del sistema.
3. Determinar la cantidad de RD asignada e informar al comercializador que se compromete a reducir demanda.
Artículo 8. Compromisos de RD. Mediante los compromisos de RD el usuario o grupo de usuarios representados por el comercializador, se comprometen a reducir su consumo de energía eléctrica del Sistema Interconectado Nacional, a cambio de recibir la diferencia del precio de bolsa y el precio de escasez por la energía reducida.
Parágrafo. El incumplimiento de los compromisos de RD implicará que se cobre el costo de las desviaciones mayores al 5% entre el despacho programado de RD y la reducción de energía verificada de RD. Este valor será liquidado por el ASIC al comercializador que representa al usuario o grupo de usuarios.
El cobro de las desviaciones será un valor a retribuir a la bolsa como el valor absoluto de la diferencia entre la reducción de energía verificada y la reducción de energía del despacho programado, multiplicado por el valor absoluto de la diferencia entre el precio de oferta de reducción de energía y el precio de bolsa para esa hora.
Artículo 9. Equipo de medida. El equipo de medida del usuario que participa en el programa de RD, deberá cumplir con los requisitos exigidos para las fronteras de los usuarios no regulados.
Además deberán permitir la lectura o interrogación remota de la información y de los parámetros del medidor. Si el equipo de medición del usuario o su frontera comercial no permite la interrogación remota, el comercializador que representa al usuario deberá gestionar los ajustes necesarios para que esta se pueda hacer.
Parágrafo 1. El registro de las fronteras comerciales deberá cumplir con los procedimientos y plazos establecidos en la regulación para fronteras comerciales.
Parágrafo 2. El operador de red y el comercializador tendrán acceso a la lectura remota.
Artículo 10. Funcionamiento de RD. A continuación se establecen, paso a paso, las reglas que se deben aplicar para el funcionamiento de RD.
Paso 1: El comercializador informará a los usuarios sobre el programa de RD y les hará saber expresamente que cada usuario puede decidir libremente si participa o no en dicho programa y que para tener acceso al servicio público de energía eléctrica y celebrar el respectivo contrato de servicios públicos no es obligatorio, ni una condición necesaria, participar en dicho programa. Corresponderá al comercializador demostrar el cumplimiento de este requisito y su omisión dará lugar a la indemnización de los perjuicios que se causen al usuario.
Paso 2: Una vez el usuario haya aceptado participar en el programa RD y las partes hayan acordado las condiciones, el comercializador adoptará las medidas para que se hagan todas las gestiones técnicas pertinentes para adecuar la frontera comercial DDV, ya sea con medición directa o con línea base de consumo, según los requisitos que deba cumplir.
Paso 3: El comercializador registrará al usuario y la frontera como DDV, cuando corresponda ante el ASIC, para lo cual diligenciará los formatos que para tal fin disponga el ASIC. Estos formatos tendrán como mínimo la información del nombre del agente comercializador, el código SIC de la frontera del usuario y la cantidad de demanda horaria a reducir del usuario para el despacho diario.
Paso 4: El comercializador enviará al CND la oferta de precio de reducción de energía y la declaración de reducción de energía horaria de acuerdo con el formato de activación.
El envío de ofertas y declaración de reducción de energía se hará en los mismos plazos en que las plantas despachadas centralmente envían sus ofertas y declaran su disponibilidad.
Paso 5: Una vez finalizado el plazo de envío de ofertas y declaración de reducción de energía, el CND calculará la cantidad de consumo de energía a reducir por medio del programa de RD tal que el precio de bolsa del predespacho ideal sea mayor o igual al 108% del precio de escasez,
El CND modificará el cálculo del predespacho ideal de tal manera que para la RD despachada siempre se cumpla que el máximo precio de oferta, MPO, para atender demanda nacional, es mayor o igual al 108% del precio de escasez.
En caso de presentarse empates en las ofertas de precio de RD, el CND definirá un proceso aleatorio equiprobable para determinar el orden de mérito de dichas ofertas.
El umbral del 8% establecido para las ofertas de precios del programa podrá ser ajustado por la CREG de acuerdo con las variaciones observadas entre los valores estimados y los reales. Para tal fin el ASIC informará en la primera semana de cada mes a la CREG, los valores estimados y los valores reales del mes anterior de cada una de las variables involucradas.
Paso 6: Cuando el valor de energía a reducir de RD sea mayor a cero, el CND avisará al comercializador la activación del programa, quien coordinará con los usuarios a los que se les activará la RD.
El CND informará a los comercializadores que participan en el programa de RD, la activación de RD del día siguiente en los mismos plazos en que se le informa el despacho a las plantas despachadas centralmente.
Paso 7. En el caso de que el comercializador tenga la necesidad de ser redespachado, le aplicarán las mismas reglas de las plantas despachadas centralmente.
Paso 8: El comercializador se encargará de que los sistemas de medida de RD puedan ser interrogados una hora antes de la activación. En caso de no poderse efectuar esta interrogación, se considerará que no hubo reducción de demanda.
Paso 9: El ASIC realizará las verificaciones de las reducciones de energía de RD.
Paso 10: El ASIC modificará el cálculo del despacho ideal de tal manera que para la hora en que se haya activado alguna RD, el máximo precio de oferta, MPO, de la bolsa para atender demanda nacional, se cumpla que este sea mayor o igual al mayor precio de oferta de reducción de energía verificada en esa hora.
Paso 11: El ASIC realizará la liquidación aplicando lo establecido en esta resolución.
Artículo 11. Tipos de fronteras: Para el programa RD se aplicarán los mismos tipos de fronteras DDV definidos en los artículos 13 y 14 de la Resolución CREG 063 de 2010.
CAPÍTULO IV VERIFICACIÓN DE LA REDUCCIÓN DE ENERGÍA DEL PROGRAMA DE RD
Artículo 12. Fronteras con línea base de consumo, LBC: La verificación de la reducción o desconexión efectiva de energía del programa de respuesta de la demanda, RD, del usuario con frontera DDV con línea base de consumo, LBC, la realizará el ASIC teniendo en cuenta la LBC reportada por el comercializador, el error y la medida diaria de la frontera comercial.
Si el consumo en la frontera comercial es inferior al consumo de la LBC menos el error, se entenderá que el comercializador ha cumplido la reducción de demanda, en el caso contrario su reducción verificada será igual a cero. Si la reducción es mayor a la comprometida, solo se considerará para el programa de respuesta de la demanda, la reducción comprometida o la contratada para todos los efectos de la liquidación.
Donde:
 | RD verificada parcial reducida por el usuario j en la hora h del día d, que se considerará para calcular la RD definitiva. |
 | Cantidad de energía informada en la línea base de consumo para el usuario j, para la hora h del tipo de día td. Se diferenciarán los días comprendidos de lunes a sábado, domingos y festivos. |
 | Cantidad de energía o consumo medido para el usuario j en la hora h del día d. |
 | Error permitido, que será igual al 5% |
Donde:
 | RD verificada y efectivamente reducida por el usuario j, en la hora h del día d. |
 | Compromiso de RD por el usuario j para la hora h del día d |
 | Demanda desconectable voluntaria verificable del usuario j para la hora h del día d. |
Si el consumo que se registra en la frontera comercial es mayor o igual que el consumo estimado en la LBC, o la RDV es menor a cero, se considerará que la RDV es igual a cero para efectos de la liquidación.
Parágrafo: Las medidas de RDV se deberán afectar por los factores de pérdidas para referir la medida al STN.
Artículo 13. Fronteras con medición directa de reducción de energía: La verificación de la reducción o desconexión efectiva de energía del programa RD del usuario con frontera DDV de medición directa se realizará dependiendo de la situación a la que corresponda la RD, así:
A. RD con plantas de emergencia. Para RD con plantas de emergencia se utilizará la medida de la salida de la(s) planta(s) de emergencia que se registrará en el medidor de la frontera DDV.
Se considerará que hubo RD cuando el consumo real medido en la frontera comercial cumpla la condición de la siguiente ecuación, si no cumple la condición la RDVj,h,d=0:
Donde:
 | Consumo real medido en la frontera comercial para el usuario j en la hora h del día d. |
 | Consumo promedio medido en la frontera comercial para el usuario j, según el tipo de día td, de los últimos 105 días. Se diferenciarán los días comprendidos de lunes a sábado, domingos y festivos. Para los días en que se haya efectuado una activación de la DDV o de RD del usuario j, se remplazarán por el promedio de los últimos cinco días del mismo tipo de día td en que no se haya efectuado ninguna de las activaciones mencionadas. |
 | Generación de la planta de emergencia del usuario j para la hora h del día d. |
Si el consumo real medido en la frontera comercial cumple la condición anterior, la reducción de energía RDVj,h,d será la siguiente:
Donde:
 | RD verificada del usuario j en la hora h del día d. |
 | Compromiso de RD del usuario j para la hora h del día d. |
 | Generación de la planta de emergencia del usuario j para la hora h del día d. |
 | Demanda desconectable voluntaria verificable del usuario j para la hora h del día d. |
Si la RD verificada con plantas de emergencia es menor a cero, se considerará que la RDV es igual a cero para efectos de la liquidación.
B. RD con medición independiente: Se considerará que hubo reducción de energía cuando el consumo real medido en la frontera cumpla la condición de la siguiente ecuación, si no la cumple la RDVj,h,d=0:
Donde:
 | Consumo real medido en la frontera comercial del usuario j en la hora h del día d. |
 | Consumo promedio medido en la frontera comercial del usuario j según el tipo de día td de los últimos 105 días. Se diferenciarán los días comprendidos de lunes a sábado, domingos y festivos. Para los días en que se haya efectuado una activación de la DDV o de RD del usuario j, se remplazarán por el promedio de los últimos cinco días del mismo tipo de día td en que no se haya efectuado ninguna de las activaciones mencionadas. |
 | Promedio del consumo medido en la frontera comercial de medición directa de reducción de energía del usuario j para la hora h del tipo de día td. Se diferenciarán los días comprendidos de lunes a sábado, domingos y festivos. |
Si el consumo real medido en la frontera comercial cumple la condición anterior, la reducción de energía RDVj,h,d será:
Donde:
 | RD verificada y efectivamente reducida por el usuario j en la hora h del día d. |
 | Compromiso de RD del usuario j para la hora h del día d |
 | Promedio del consumo medido en la frontera comercial de medición independiente del usuario j para la hora h del tipo de día td de los últimos 105 días. Se diferenciarán los días comprendidos de lunes a sábado, domingos y festivos. |
 | Demanda desconectable voluntaria verificable del usuario j para la hora h del día d. |
Si la RD verificada con medición independiente es menor a cero, se considerará que la RDV es igual a cero para efectos de la liquidación.
Antes de realizar la verificación de reducción de energía del programa de RD, se tendrá como prioridad verificar los contratos que se hayan activado de la demanda desconectable voluntaria, DDV, establecida en la Resolución CREG 063 de 2010.
Las medidas de RD deberán ser enviadas por el comercializador en los mismos plazos en que los agentes generadores envían la información de generación de acuerdo con la regulación vigente.
Las transacciones de energía en las fronteras DDV utilizadas para RD deberán ser registradas en forma horaria, en el primer minuto de cada hora, de forma tal que permitan el cálculo de la energía movilizada en la hora.
Para los casos en que las medidas de las fronteras DDV no sean enviadas, se considerará que no hubo reducción de energía.
Para efectos de la liquidación de cada comercializador c, la RD verificada, RDVc,h,d,m, será igual a la suma de RD verificada de cada uno de los usuarios, RDVj,h,d, que cada comercializador c representó en el mes m.
Parágrafo: Las medidas de RDV se deberán afectar por los factores de pérdidas para referir la medida al STN.
CAPÍTULO V
LIQUIDACIÓN
Artículo 14. Valores a favor de los usuarios que participan en el programa de RD. El valor a favor de los usuarios por la participación en el programa de RD será entregado al comercializador, quién será el encargado de pasar a sus usuarios los incentivos de RD, el valor será el que resulta de aplicar la siguiente expresión:
Donde:
 | Valor a favor del comercializador c por la reducción de demanda del programa de RD en la hora h del día d del mes m. |
 | RD verificada del comercializador c en la hora h del día d del mes m. |
 | Precio de bolsa en la hora h del día d del mes m |
 | Precio de escasez del mes m |
Parágrafo: El costo de la comercialización del programa de RD será asumido por el usuario, el cual será acordado entre el usuario y el comercializador que lo representa.
Artículo 15. Valores a cargo de los usuarios que participan en el programa de RD. De acuerdo con el valor del CERE que sea incluido en el precio de oferta del comercializador que representa a los usuarios que participen en el programa de RD, se producirá por parte del SIC un cobro al comercializador que representa a dichos usuarios calculado mediante la siguiente expresión:
Donde:
 | Valor a cargo del comercializador c por la reducción de demanda del programa de RD en la hora h del día d del mes m. |
 | RD verificada del comercializador c en la hora h del día d del mes m. |
 | Costo Equivalente Real en Energía en el mes m |
Artículo 16. Remuneración del programa de RD por parte de los agentes generadores cuando su generación ideal es menor a sus ODEF en condiciones de escasez. Los saldos en la liquidación resultantes de aplicar el Anexo 7 de la Resolución CREG 071 de 2006 asociados a la RD, serán asignados a los comercializadores que participaron en el programa de RD de acuerdo con el Artículo 14 de esta resolución.
Parágrafo: De acuerdo con la verificación del programa de racionamiento, los saldos en la liquidación resultantes de aplicar el Anexo 7 de la Resolución CREG 071 de 2006 asociados a la demanda racionada, serán asignados en relación con lo establecido en el artículo 54 de la Resolución CREG 071 de 2006.
CAPÍTULO VI
DISPOSICIONES FINALES
Artículo 17. Modifíquese el numeral 1.2 del Anexo 1 de la Resolución CREG 071 de 2006. El numeral 1.2 del Anexo 1 de la Resolución CREG-071 de 2006, modificado por el artículo 10 de la Resolución CREG 203 de 2013, quedará así:
1.2 Determinación de la Obligación Diaria de Energía Firme
Para efectos de facturación y liquidación, la Obligación de Energía Firme Diaria respaldada por cada una de las plantas o unidades de generación representadas comercialmente por el generador j, se determinará mediante la siguiente expresión:

 | Obligación diaria de energía firme respaldada por la planta o unidad de generación i del generador j en el día d del mes m. |
 | Obligación mensual de energía firme respaldada por la planta o unidad de generación i del generador j en el mes m. |
 | Demanda comercial total doméstica del sistema para el día d del mes m. |
 | Demanda desconectable voluntaria verificada en el día d del mes m. |
 | RD verificada en el día d del mes m |
 | Programa de racionamiento verificado en el día d del mes m |
 | Demanda comercial total doméstica del sistema para el mes m |
 | Demanda desconectable voluntaria verificada en el mes m |
 | Reducción de energía verificada del programa RD en el mes m |
 | Programa de racionamiento verificado en el mes m |
 | Demanda desconectable voluntaria verificada, asociada a la planta o unidad de generación i del generador j en el día d del mes m. |
 | Reducción de energía del programa de RD asociada al comercializador c en la hora h del día d del mes m. |
 | Programa de racionamiento verificado en la hora h del día d del mes m |
 | Número de plantas y/o unidades de generación |
 | Número de días del mes m |
 | Número de comercializadores |
Para cada agente generador j la Obligación Diaria de Energía Firme (ODEFj,m,d) será igual a la suma de las Obligaciones Diarias de Energía Firme respaldadas por cada una de las plantas o unidades de generación de su propiedad o que representa comercialmente, descontando las OEFV diarias que haya adquirido el agente j para sus plantas en una subasta de reconfiguración.
Para la Segunda Liquidación se realizará una estimación de la Obligación de Energía Firme Diaria del generador j, así:
Donde:
 | Obligación Diaria de Energía Firme respaldada por la planta o unidad de generación i del generador j en los días de tipo T del mes m. |
 | Obligación Mensual de Energía Firme respaldada por la planta o unidad de generación i del generador j en el mes m. |
 | Demanda Comercial Doméstica total del sistema para el día de tipo T del mes m-1. |
 | Demanda desconectable voluntaria verificable asociada a la planta o unidad de generación i del generador j para el día de tipo T del mes m-1. |
 | Reducción de energía verificada del programa de RD en el día tipo T del mes m-1 |
 | Programa de racionamiento verificado en el día tipo T del mes m-1. |
 | Demanda Comercial total Doméstica del sistema para el mes m-1. |
 | Demanda desconectable voluntaria verificable en el mes m-1 |
 | Reducción de energía verificada del programa de RD en el mes m-1 |
 | Programa de racionamiento verificado en el mes m-1. |
 | Número de días del tipo T en el mes m-1 |
Para los efectos que trata el presente anexo, los tipos de día (T) corresponden a: Domingos y festivos; sábados; y días ordinarios.
Artículo 18. Modifíquese el artículo 2 de la Resolución CREG 124 de 2012. El artículo 2 de la Resolución CREG 124 de 2012, modificado por el artículo 11 de la Resolución CREG 203 de 2013, quedará así:
Artículo 2. Determinación de las OEF de Venta (OEFV) diarias. Las OEFV diarias de la planta i del agente j se determinarán mediante la siguiente expresión:
Donde:
|
|
OEF de Venta para cumplir la OEF de la planta o unidad de generación i en el día d del mes m.
|
|
|
OEF de Venta asignada a la planta i del generador j en Subasta de Reconfiguración de Venta.
|
|
|
Demanda Objetivo del mes m.
|
|
|
Demanda Objetivo para el primer año del Período de Vigencia de la Obligación asignada al generador j
|
|
|
Demanda Comercial Total Doméstica del sistema para el día d del mes m.
|
|
|
Demanda desconectable voluntaria verificable en el día d del mes m.
|
|
|
Reducción de energía verificada del programa de RD en el día d del mes m
|
|
|
Programa de racionamiento verificado en el día d del mes m
|
|
|
Demanda Comercial total Doméstica del sistema para el mes m.
|
|
|
Demanda desconectable voluntaria verificable en el mes m
|
|
|
Reducción de energía del programa de RD en el mes m
|
|
|
Programa de racionamiento verificado en el mes m
|
Artículo 19. Modifíquese el numeral 1 del Anexo 7 de la Resolución CREG 071 de 2006. El numeral 1 del Anexo 7 de la Resolución CREG 071 de 2006, modificado por el artículo 12 de la Resolución CREG 203 de 2013 quedará así:
1. Para los casos en los cuales la demanda total doméstica diaria más la demanda desconectable voluntaria diaria, la reducción de demanda de RDV y el programa de racionamiento diario, sea menor que la suma de la variable ODEF de todos los generadores, se calculará un factor de ajuste (FA) con la siguiente expresión:
Para estos casos, la Obligación Diaria de Energía Firme de cada agente respaldada con plantas y/o unidades de generación despachadas centralmente de su propiedad o representadas comercialmente por él, se ajustará como sigue:
Cuando la demanda total doméstica diaria más la DDVV, más RDV y más el PGR, sea mayor o igual que la suma de la variable ODEF de todos los generadores:
 | Demanda Total Doméstica del día d del mes m |
 | Demanda desconectable voluntaria verificable en el día d del mes m. |
 | RD verificada en el día d del mes m |
 | Programa de racionamiento verificado en el día d del mes m. |
 | Generación ideal del día d del mes m de los recursos no despachados centralmente. |
 | Obligación Diaria de Energía Firme del agente generador j en el día d del mes m. |
 | Variable ODEF para todos los recursos no despachados centralmente del generador j. |
 | Obligación Diaria de Energía Firme Ajustada del agente generador j en el día d del mes m. |
Para las plantas o unidades de generación no despachadas centralmente el factor FA siempre será igual a uno (1).
Artículo 20. Modifíquese el numeral 2 del Anexo 7 de la Resolución CREG 071 de 2006. El numeral 2 del Anexo 7 de la Resolución CREG 071 de 2006 quedará así:
2. Para cada uno de los generadores (incluye importaciones TIE) se calculará la Desviación Diaria de la Obligación de Energía Firme de acuerdo con la siguiente expresión:
Donde:
 | Desviación Diaria de la Obligación de Energía Firme del generador j o la planta virtual j de RDV o el PGR verificado en el día d del mes m. |
 | Generación Ideal para el día de operación d, del generador j en el mes m, considerando los Contratos de Respaldo de compra o de venta o cualquier otro Anillo de Seguridad adquiridos por el generador j y que hayan sido despachados. Se tendrá en cuenta generación ideal de plantas asociadas a reducción de demanda RDV igual a GIDj,d,m(RDV)=RDVc,d,m. Se tendrá en cuenta generación ideal deplantas asociadas a reducción de demanda PGR verificado igual a GIDj,d,m(PGR)=PGRd,m. |
 | Obligación Diaria de Energía Firme Ajustada del generador j en el día d del mes m. Las plantas asociadas a la RDV y PGR tienen valor ODEFA=0. |
En el anexo 7 de la presente Resolución se tendrá en cuenta para la liquidación, generadores asociados a reducción de demanda de RDV y del PGR verificado, de la siguiente manera:
 | Generación Ideal para el día de operación d, del generador j en el mes m, asociado a la RDVc,d,m (suma de las RDVc,h,d,m del día d) de cada comercializador c que representa la RD, la cual será igual a GIDj,d,m(RDV)=RDVc,d,m. |
 | Generación Ideal para el día de operación d, del generador j en el mes m, asociado al PGRd,m verificado, que será igual a GIDj,d,m(PGR)=PGRd,m. |
 | Generación Ideal en la hora h del día d en el mes m, del generador j asociado a la RDVc,h,d,m del comercializador c que representa la RD, la cual será igual a GIDj,h,d,m(RDV)=RDVc,h,d,m. |
 | Generación Ideal en la hora h del día d en el mes m, del generador j asociado al PGRh,d,m verificado, que será igual a GIDj,h,d,m(PGR)=PGRh,d,m. |
Los generadores asociados a reducción de demanda de RDV y del PGR no tendrán asignadas OEF, y para todos los casos de la liquidación del presente anexo, la ODEF y OHEF de estos generadores tendrán un valor de cero (0).
Artículo 21. Modifíquese el numeral 4.2 del Anexo 7 de la Resolución CREG 071 de 2006. El numeral 4.2 del Anexo 7 de la Resolución CREG 071 de 2006 quedará así:
4.2 Si la variable DGh,d,m es mayor que cero:
· El valor resultante de multiplicar ETIEh,d,m por la diferencia entre el precio de bolsa horario y el precio de escasez, será asignado a prorrata del valor de DHOEFj,h,d,m, incrementando las cuentas a favor de cada agente generador, sin incluir las importaciones TIE.
· Calcular la demanda no cubierta con Obligaciones de Energía Firme de acuerdo con la siguiente fórmula:
Donde:
 | Demanda no cubierta en el día d del mes m |
 | Demanda Total Doméstica del día d del mes m |
 | Demanda desconectable voluntaria verificable en el día d del mes m |
 | RD verificada en el día d del mes m |
 | Programa de racionamiento verificado en el día d del mes m |
 | Suma de ODEFA de todos los generadores j del día d en el mes m. |
· El valor de la variable DGh,d,m será asignado como un valor a cargo en proporción al valor absoluto de la variable DDOEF de los agentes generadores para los cuales esta variable es menor que cero y de la demanda no cubierta con obligaciones de energía firme. Para el caso en que DNCd,m >0, el valor a cargo de la demanda no cubierta resultante de aplicar la proporción, será asignado a los agentes a prorrata de sus compras en bolsa de la hora h.
Los dineros recaudados serán asignados a cada agente generador incrementando las cuentas a favor del mismo, a prorrata del valor de DHOEFj,h,d,m, sin incluir las importaciones TIE.
Para las importaciones TIE, la liquidación se realizará de conformidad con la regulación vigente para estas transacciones.
Artículo 22. Modifíquese el numeral 8.1.1 del Anexo 8 de la Resolución CREG 071 de 2006. El numeral 8.1.1 del Anexo 7 de la Resolución CREG 071 de 2006 quedará así:
8.1.1 Determinación de la Remuneración Real Individual Diaria de la Obligación de la Energía Firme asociada a la planta y/o unidad de generación (RRID) y Remuneración Real Total (RRT).
La remuneración real individual diaria de la Obligación de Energía Firme respaldada por la planta o unidad de generación i en el día d del mes m (RRIDi,d,m) se calculará de acuerdo con la siguiente fórmula:
Donde:
DCi,h,d,m: Disponibilidad Comercial de la planta i en la hora h del día d del mes m, expresado en kilovatios (kW), sin considerar la indisponibilidad respaldada mediante contratos de respaldo, declaraciones de respaldo o cualquier otro anillo de seguridad diferente a Subasta de Reconfiguración de Venta. Este respaldo debió registrarse previamente ante el ASIC. Para los contratos de mercado secundario cuando el precio de bolsa sea mayor que el precio de escasez se considerarán las cantidades despachadas de estos tipos de cubrimiento. Cuando no se cumpla la condición anterior, se considerará la cantidad registrada de estos tipos de cubrimiento.
El cálculo de esta componente se realizará de la siguiente forma:
Donde:
CCRi,d,m: Compras en contratos de respaldo o en declaraciones de respaldo para la planta o unidad de generación i vigentes en el día d del mes m.
DDVi,d,m: Demanda Desconectable Voluntaria asociada a la planta i en el día d del mes m. Para los casos en que el precio de bolsa haya superado el precio de escasez en algunos periodos horarios del día d, se considerará la Demanda Desconectable Voluntaria Verificada, DDVVi,d,m, de la planta i. Mientras el precio de bolsa haya sido inferior al precio de escasez en todos los periodos horarios del día d, se considerará la DDV contratada, CDDVi,d,m, de la planta i.
DispComNormali,h,d: Disponibilidad Comercial Normal calculada según la metodología definida en la Resolución CREG-024 de 1995 para la planta o unidad de generación i en la hora h del día d.
OEFVi,d,m: OEF de Venta para cumplir la OEF de la planta o unidad de generación i en el día d del mes m, expresada en kilovatios-hora (kWh).
ODEFRi,d,m: Obligación Diaria de Energía Firme respaldada por la planta o unidad de generación i en el día d del mes m, expresada en kilovatios-hora (kWh).
VCPi,d,m: Ventas en contratos de respaldo o en declaraciones de respaldo con la planta o unidad de generación i vigentes en el día d del mes m.
PCCi,m: Precio Promedio Ponderado del Cargo por Confiabilidad de la Obligación de Energía Firme respaldada por la planta o unidad de generación i vigente en el mes m, expresado en dólares por kilovatio-hora (US$/kWh), que se calculará de acuerdo con la siguiente expresión:
Donde:
Pi,m,s: Precio al cual fue asignada la Obligación de Energía Firme asociada a la planta y/o unidad de generación i vigente en el mes m, asignada en la subasta s o en el mecanismo que haga sus veces, expresado en dólares por kilovatio hora (US$/kWh).
ODEFRi,m,s: Obligación Diaria de Energía Firme respaldada por la planta o unidad de generación i en el mes m, asignada en la subasta s o el mecanismo que haga sus veces.
s: Subasta para la asignación de Obligaciones de Energía Firme, mecanismo que haga sus veces o Subasta de Reconfiguración.
El valor de PCCi,m se convertirá a pesos por kilovatio hora ($/kWh), utilizando la TRM correspondiente al último día del mes liquidado, publicada por la Superintendencia Financiera.
La Remuneración Real Total Mensual para el mes m (RRTm) se obtendrá aplicando la siguiente fórmula:
Donde:
RRIDi,d,m: Remuneración Real Individual Diaria de la Obligación de Energía Firme respaldada por la planta y/o unidad de generación i en el día d del mes m.
n: Número de días del mes m.
k: Número de plantas y/o unidades de generación.
Artículo 23. Modifíquese el numeral 8.1.2 del Anexo 8 de la Resolución CREG 071 de 2006. El numeral 8.1.2 del Anexo 8 de la Resolución CREG 071 de 2006, modificado por el artículo 17 de la Resolución CREG 063 de 2010, quedará así:
8.1.2 Cálculo del Costo Equivalente Real en Energía del Cargo por Confiabilidad (CERE)
Para efectos de liquidación y facturación de cada uno de los meses del Período de Vigencia de la Obligación se usará el CERE, que será calculado mediante la siguiente expresión:
Donde:
 | Costo equivalente real en energía del mes m |
 | Remuneración real total mensual en el mes m |
 | Generación real en el mes m expresada en kilovatios hora (kWh). Para las plantas no despachadas centralmente se considera exclusivamente sus ventas de energía en bolsa. |
 | Demanda desconectable voluntaria verificada en el mes m |
 | Reducción de energía verificada del programa RD en el mes m |
El Costo Equivalente en Energía (CEE), expresado en pesos por kilovatio hora ($/kWh) que será usado para efectos de cotización en la Bolsa, se calculará cada mes mediante la fórmula:
Donde:
 | Costo equivalente en energía del mes m |
 | Precio al cual fue asignada la Obligación de Energía Firme asociada a la planta y/o unidad de generación i vigente en el mes m, asignada en la subasta s o en el mecanismo que haga sus veces, expresado en dólares por kilovatio hora (US$/kWh). |
 | Obligación mensual de energía firme respaldada por la planta o unidad de generación i del generador j en el mes m. |
 | Energía total demandada proyectada en el SIN para cada mes, expresada en kilovatios hora. |
El valor de Pi,m,s se convertirá a pesos por kilovatio hora ($/kWh), utilizando TRM correspondiente al día hábil inmediatamente anterior al día de la fijación del CEE, publicada por la Superintendencia Financiera.
El CND fijará el CEE para las ofertas de cada nuevo mes con tres (3) días de anticipación.
Artículo 24. Modifíquese el artículo 13 de la Resolución CREG 063 de 2010. El artículo 13 de la Resolución CREG 063 de 2010 quedará así:
Artículo 13. Fronteras de DDV con línea base de consumo, LBC: Son aquellas fronteras en las que el consumo de los usuarios tiene frecuencia y poca variabilidad y que corresponden a las que tienen un error no mayor al 5% respecto a la estimación efectuada con el modelo establecido en el anexo de esta Resolución.
Para el caso de estas fronteras se considerará que hay reducción de demanda cuando la medida sea menor que el valor de la línea base de consumo menos el error.
Dentro de los cinco primeros días del mes siguiente al registro de la frontera el comercializador deberá actualizar el cálculo de la LBC con los datos más recientes. En caso de no efectuar esta actualización, vencido el plazo de los cinco días se entenderá que el comercializador ha retirado la frontera de DDV del Sistema de Intercambios Comerciales.
Una vez actualizada la frontera después del registro, el comercializador deberá actualizar el cálculo de la LBC cada 105 días. En caso de no efectuar esta actualización vencido el plazo de los 105 días, se entenderá que el comercializador ha retirado la frontera de la DDV del Sistema de Intercambios Comerciales.
Parágrafo. Si se tiene registrada más de una frontera comercial en un mismo predio o inmueble, el cálculo de la línea base de consumo se hará considerando la sumatoria de los consumos de cada una de las fronteras asociada al predio o inmueble. Si una persona natural o jurídica cuenta con más de un inmueble, la sumatoria de los consumos se hará de forma independiente para cada uno de los predios o inmuebles.
Artículo 25. Modifíquese el artículo 14 de la Resolución CREG 063 de 2010. El artículo 14 de la Resolución CREG 063 de 2010 quedará así:
Artículo 14. Fronteras con medición directa DDV: Son fronteras con medidores para la DDV instalados por el usuario, las cuales no podrán tener asociado más de un único contrato de DDV para el mismo periodo t.
Las fronteras con medición directa de DDV operarán cuando la frontera comercial y la frontera de DDV puedan ser interrogadas remotamente y no esté reportada la frontera comercial ante el ASIC en falla o limitación de suministro.
Las fronteras con medición directa de DDV deberán corresponder a cualquiera de las siguientes situaciones:
· DDV con Plantas de emergencia. Cuando el usuario utiliza una planta de emergencia para disminuir o suprimir los requerimientos de energía del SIN.
Para participar como DDV el usuario deberá colocar un medidor de DDV a la salida de cada una de las plantas que vaya a utilizar.
· DDV con medición independiente: Cuando el usuario tiene definido el consumo de un proceso de producción que utiliza diariamente y puede desconectarlo en cualquier momento.
En este caso se deberá instalar una medida independiente y registrar la curva de consumo de la frontera.
Parágrafo. Si se tiene registrada más de una frontera comercial en un mismo predio o inmueble, el consumo se hará considerando la sumatoria de los consumos de cada una de las fronteras asociadas al predio o inmueble. Si una persona natural o jurídica cuenta con más de un inmueble, la sumatoria de los consumos se hará de forma independiente para cada uno de los predios o inmuebles.
Artículo 26. Modifíquese el anexo de la Resolución CREG 063 de 2010. El Anexo de la Resolución CREG 063 de 2010, modificado por el artículo 15 de la Resolución CREG 203 de 2013, quedará definido tal y como se encuentra en el Anexo “Modelo de estimación de Línea Base de Consumo” de esta resolución.
Artículo 27. Vigencia. Esta resolución rige a partir de su publicación en el Diario Oficial y deroga las disposiciones que le sean contrarias
Parágrafo: Una vez esta resolución sea publicada en el Diario Oficial, XM S.A. E.S.P. tendrá hasta tres (3) meses calendario para implementar el programa de respuesta de la demanda para el mercado diario en condición crítica dispuesto en ella.
PUBLÍQUESE Y CÚMPLASE
Dada en Bogotá, D.C. a 12/FEB/2015
TOMÁS GONZÁLEZ ESTRADA | JORGE PINTO NOLLA |
Ministro de Minas y Energía | Director Ejecutivo |
Presidente |  |
 |  |
ANEXO Modelo de estimación de la Línea Base de Consumo
El método es una adaptación de los métodos de descomposición y representa el consumo diario de la frontera, Ct, mediante unas componentes no observables que representan la componente de tendencia, Tt, la componente estacional, Et, y la componente del error ut.
La componente de tendencia indicará cómo es el comportamiento a largo plazo de la serie. La componente estacional estará determinada por un índice para cada uno de los siete días de la semana, E1, E2,..., E7 que representa el valor de la fluctuación estacional en cada día de la semana e indicará qué tanto por encima o por debajo de la tendencia se encuentran en promedio las observaciones del día.
En lo que sigue se utilizará la siguiente convención: los subíndices i del conjunto 1, 2,...,7 corresponderán a los días lunes, martes,..., domingo.
La metodología aísla y estima cada una de las componentes y luego pronostica una semana. Esto se lleva a cabo mediante cuatro etapas que se realizarán en forma secuencial.
1. Etapa 1. Captura y depuración de datos.
1.1. Captura de datos y transformación de valores atípicos e iguales a cero: Se realizará de acuerdo con el Procedimiento para Determinar Valores Atípicos de Modelo de Estimación LBC publicado en la Circular CREG 020 de 2014.
1.2. Transformación de valores para los días en que se hayan presentado desconexiones o reducciones de energía en cumplimiento del mecanismo de demanda desconectable voluntaria, DDV, y/o cualquier otro programa de reducción de demanda que defina la regulación: El valor se cambiará por el promedio de los cinco días anteriores que tengan el mismo subíndice siempre y cuando corresponda con valores típicos de consumo u ajustados con este procedimiento.
En el caso de no encontrarse la totalidad de los datos para los cinco días anteriores, se calculará el promedio con los días anteriores disponibles que tenga el mismo subíndice siempre y cuando corresponda con valores típicos de consumo o ajustados.
2. Etapa 2. Estimación de los índices E1, E2,..., E7.
2.1. Calcular promedios móviles centrados de longitud 7 (una semana):
2.2. Hallar el cociente Ct/PMt, t = 4,5,6,.... Este cociente será aproximadamente igual a:2.3. Promediar todos los valores anteriores correspondientes al mismo día para obtener unos índices preliminares:
.
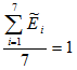
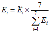
2.4. Ajustar los 7 índices preliminares de forma que:
3. Etapa 3: Estimación de la tendencia
3.1. Desestacionalizar los datos dividiendo C entre su índice estacional E.
3.2. Con los datos desestacionalizados, D, se estimará una tendencia lineal, T, mediante regresión lineal.
4. Etapa 4: Pronósticos para una semana
Si N es el instante de la última observación, y ésta cae en domingo, se pronosticará para los días siguientes, lunes, martes,..., domingo, mediante la ecuación.
Parágrafo. Para los efectos previstos en este anexo se diferenciarán los días comprendidos de lunes a sábado, los domingos y festivos.
TOMÁS GONZÁLEZ ESTRADA | JORGE PINTO NOLLA |
Ministro de Minas y Energía | Director Ejecutivo |
Presidente |  |
 |  |
|
Doble click sobre el archivo anexo para bajarlo(Resoluciones CREG) |
Doble click sobre el archivo anexo para bajarlo(Documento CREG) |
|