| Publicación Diario Oficial No.: | 47.707, el día:12/May/2010 |
| Publicada en la WEB CREG el: | 11/May/2010 |
| RESOLUCIÓN No. 054 ( 13 ABR. 2010 )
CONSIDERANDO QUE:
1. ANTECEDENTES
Mediante Resolución CREG-011 de 2003 se adoptó la metodología y criterios generales para determinar la remuneración de las actividades de distribución y comercialización de gas combustible y las fórmulas generales para la prestación del servicio público domiciliario de distribución de gas combustible por redes de tubería.
Gas Natural S.A. ESP mediante comunicación con radicado CREG E-2009-006768, del 22 de julio de 2009, solicitó la aprobación de cargos de distribución y comercialización de gas natural por redes para el municipio de La Calera en el departamento de Cundinamarca. La solicitud contenía las proyecciones de demanda, las proyecciones de gastos de AOM de distribución y el programa de nuevas inversiones, clasificadas según el listado de unidades constructivas establecido en el Anexo No. 1 de la Resolución CREG 011 de 2003.
Mediante Resolución CREG 152 de 2009 la Comisión aprobó el Cargo Promedio por Uso del Sistema de Distribución y el Cargo Máximo Base de Comercialización del Mercado Relevante conformado por el municipio de La Calera en el departamento de Cundinamarca.
Gas Natural S.A. E.S.P. mediante comunicación radicada en la CREG bajo el No. E-2010-000296, recibida el 15 de enero de 2010, interpuso dentro de los términos legales, recurso de reposición contra los artículos 4°, 5° y 6° de la Resolución CREG 152 de 2009, que en su orden establecen los gastos de AOM, el Cargo Promedio de Distribución y el Cargo Máximo Base de Comercialización de gas natural para usuarios regulados en el municipio de La Calera en el departamento de Cundinamarca, con las siguientes peticiones:
“Una vez la Comisión apruebe el nuevo cargo de distribución para el municipio de La Calera incorporando los ajustes a que se refieren las anteriores solicitudes en su cálculo, y de establecerse que dicho cargo es comparable al del mercado relevante de Bogotá, Soacha y Sibaté, reiteramos nuestra solicitud en el sentido de aprobar para el municipio de La Calera el cargo de distribución del mercado relevante de Bogotá, Soacha y Sibaté, en virtud de lo establecido en el literal a) del artículo 10 de la Resolución CREG 011 de 2003”.
“… determinar el cargo de comercialización para el Municipio de La Calera, teniendo en cuenta la información suministrada por la empresa Comercializadora Gas Natural S.A. ESP en la solicitud tarifaria, según la cual, se infiere que este cargo debe corresponder a $2.794.57 por factura, tal como se muestra en el cálculo descritoen el Anexo 1 que forma parte integral de este recurso y que está basado en la información suministrada en la solicitud tarifaria”.
2. ANÁLISIS DE LOS FUNDAMENTOS DE LA SOLICITUD
A continuación se analizan los argumentos del recurso de reposición.
2.1 Argumentos de Gas Natural S.A. ESP.
Gas Natural S.A. ESP. argumenta:
“MOTIVOS DE INCONFORMIDAD:
Mediante la Resolución 152 del 1 de diciembre de 2009, notificada el 7 de enero del año en curso, la CREG, a solicitud de la empresa Gas Natural S.A. ESP, estableció “El Cargo Promedio de Distribución por uso del Sistema de Distribución de Gas Natural por red y el Cargo Máximo Base de Comercialización de Gas Natural por redes a usuarios regulados; para el mercado relevante conformado por el municipio de La Calera en el Departamento de Cundinamarca.”.
De acuerdo con los considerandos de la mencionada Resolución, “La Comisión de Regulación de Energía y Gas efectuó los cálculos tarifarios correspondientes a partir de la metodología establecida en la Resolución CREG-011 de 2003 y demás información disponible en la Comisión, los cuales se presentan en el Documento CREG-123 de 2009.”.
Revisado el respectivo Documento base de la Resolución CREG-152 de 2009 se evidencia que para el reconocimiento de los Gastos AOM en la determinación del Cargo Promedio de Distribución, así como en la determinación del Cargo Máximo Base de Comercialización, la Comisión incurrió en algunos errores que contravienen la metodología adoptada por la propia CREG a través de la Resolución 011 de 2003, tal como pasa a analizarse:
1. Gastos AOM.
1.1. Cuenta 7520 correspondiente a “Amortizaciones".
En el Documento CREG-123 de 2009 Se señala literalmente que “la empresa al reportar la información de AOM incluyó dentro de los gastos la amortización de terrenos y edificios. Cuentas que no se tienen en cuenta dentro de los gastos AOM de la actividad de distribución de gas”.
Al respecto, cabe señalar que la apreciación de la Comisión no es correcta, ya que dentro de los Gastos AOM reportados por la compañía Gas Natural S.A ESP en el Anexo 2 "Actividades de las cuentas del PUC‛‛ de la solicitud tarifaria, la cuenta 7520 Corresponde a las partidas de amortización de Seguros y Software, y no incluye gastos correspondientes a amortización de terrenos y edificios, tal como se observa en la siguiente tabla:
Tabla 1.
CUENTA | CODIGO CUENTA | NOMBRE CTA | Gastos de Distribución COP$ |
7520 | 5111259902 | AMORT. SEGUROS DE VIDA | 11.060 |
7520 | 5111259904 | AMORT. SEGUROS AUTOMOVIL | 16.448 |
7520 | 5111259906 | AMORT. SEGUROS DE CUMPLIMIENTO | 5.939 |
7520 | 5111259908 | AMORT. SEGUROS DE MEDICINA PREPAGADA | 352 |
7520 | 5111259910 | AMORT. SEGUROS DE TRANSPORTE MERCANCIAS | 378 |
7520 | 5111259912 | AMORT. SEGUROS DE RESPONSAB.CIVIL ADMORES | 2.034 |
7520 | 5111259914 | AMORT. SEGUROS RESPONSABILIDAD CIVIL GEN. | 35.075 |
7520 | 5111259916 | AMORT. SEGUROS TODO RIESGO DAÑOS MATERIALES | 128.396 |
7520 | 5345089901 | AMORTIZACION SOFTWARE SAP | 5.639.415 |
7520 | 5345089902 | AMORTIZACION AXI SOFTWARE SAP | 52.072 |
7520 | 7560040002 | AMORT. SEGURO DE VIDA | 30.632 |
7520 | 7560080002 | AMORT. SEGURO DE AUTOMOVILES | 24.113 |
7520 | 7560900002 | AMORT. SEGURO TRANSPORTE DE M/CIAS | 5.293 |
7520 | 7560900004 | AMORT. SEGURO TODO RIESGO DAÑOS MATERIALES | 552.464 |
 |  |  | 6.503.672 |
Con base en lo anterior, se solicita incluir en el Cálculo de los gastos AOM, la cuenta 7520 correspondiente a ‛‘amortizaciones" en el horizonte de 20 años, tal como lo contempla la metodología de la Resolución CREG-011 de 2003.
1.2 Aplicación del nivel de eficiencia producto del modelo de frontera de eficiencia
1.2.1 Análisis sobre los gastos de AOM considerados en el cálculo del cargo promedio de distribución y el nivel de eficiencia
Revisados los Cálculos del Cargo Promedio de Distribución aprobado por la Comisión para el mercado relevante conformado por el municipio de La Calera (Articulo 5°), se observa que el nivel de eficiencia aplicado para la determinación de los gastos de AOM no fue de 82,52%, tal como se dispone en el artículo 4 de la Resolución CREG-152 de 2009 y en el numeral 3.2.4 del Documento CREG-123 de 2009, sino que dicho nivel fue menor como se puede observar en la tabla 2 de este documento, en la cual se comparan en el periodo de 20 años los flujos de los gastos de AOM de la solicitud de Gas Natural descontando el monto de la Cuenta 7520, versus el flujo de los gastos de AOM aprobado por la CREG y se encuentra que el nivel de eficiencia aplicado en realidad fue de 78.46%, el cual se determina al comparar los valores presentes netos de cada flujo de gastos AOM.
Dado que el factor de eficiencia aplicado fue menor al resultado del modelo de frontera de eficiencia, el acotamiento en los gastos AOM es superior al que se debió aplicar en realidad, lo cual origina una subremuneración de dichos gastos y un cargo de distribución menor al que debió ser reconocido a Gas Natural para el municipio de La Calera.
Tabla 2

1.2.2 Análisis sobre los gastos de AOM considerados en el cálculo del cargo promedio de distribución y el nivel de eficiencia sin descontar la cuenta 7520
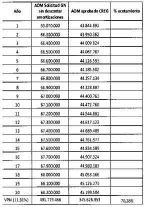
Si no se descuenta el gasto anual correspondiente a la cuenta 7520, de forma consistente con lo solicitado en el numeral 1.1 de este recurso, el nivel de eficiencia aplicado por la CREG resulta aún menor, del orden de 70.28% como se observa en la tabla 3, con lo cual el acotamiento de los gastos AOM reconocidos para el municipio de La Calera es superior.
Tabla 3.

Con base en lo anterior planteado en los numerales 1.2.1 y 1.2.2, se solicita corregir la aplicación de los resultados del modelo de frontera de eficiencia para calcular los gastos AOM a reconocer a Gas Natural S.A. ESP en la tarifa del municipio de La Calera.
1.3. Suma total de los gastos de AOM solicitados por Gas Natural reportada para el año uno (1).
Por error involuntario de la empresa, en la formulación de los archivos soporte que fueron utilizados para la solicitud tarifaria del municipio de La Calera, se incurrió en un error aritmético que solicitamos corregir con la sumatoria correcta de los gastos de AOM para el año (1) presentados en el Anexo 2 "Actividades de las Cuentas del PUC" del documento SOLICITUD DE LOS CARGOS DE DISTRIBUCIÓN (DT) Y COMERCIALIZACIÓN (CO) PARA LA PRESTACIÓN DEL SERVICIO DE GAS COMBUSTIBLE EN EL MUNICIPIO DE LA CALERA (CUNDINAMARCA), presentado por Gas Natural bajo radicado CREG E-2009-006768 con fecha 22 de julio de 2009. Estos gastos se presentaron desagregados conforme al modelo de cuentas del Anexo 3 de la Resolución CREG 011 de 2003.
El valor de la sumatoria que se presentó fue de 33,1 millones de pesos, siendo el valor correcto 66,1 millones de pesos en precios constantes del 31 de Diciembre de 2008, como se observa en la tabla siguiente.
Tabla 4.
Gastos Distribución MCOP Constantes de Dic. 2008

Con base en lo anterior, y para efectos de la solicitud del numeral 1.2 de este documento, Se solicita corregir el error aritmético en que se incurrió la empresa, de manera que se tenga en cuenta la cifra correcta de los gastos AOM del año uno (1) presentados por Gas Natural S.A., ESP, para el cálculo del Cargo de Distribución para el municipio de La Calera.
1.4. Reiteración de solicitud respecto del Cargo de Distribución.
Una vez la Comisión apruebe el nuevo cargo de distribución para el municipio de La Calera incorporando los ajustes a que se refieren las anteriores solicitudes en su cálculo, y de establecerse que dicho cargo es comparable al del mercado relevante de Bogotá, Soacha y Sibaté, reiteramos nuestra solicitud en el sentido de aprobar para el municipio de La Calera el cargo de distribución del mercado relevante de Bogotá, Soacha y Sibaté, en virtud de lo establecido en el literal a) del artículo 10 de la Resolución CREG 011 de 2003.
2. Cargo de Comercialización.
En este punto, cabe destacar que la Comisión incurre en una contradicción cuando en el Documento-CREG 123 de 2009 (base de la Resolución impugnada) señala textualmente lo siguiente:
“4.2.1. Calculo del cargo de comercialización.
“Teniendo en cuenta que LA CALERA es un mercado nuevo y no cuenta con la información requerida para el cálculo del cargo de comercialización de conformidad con lo establecido en el parágrafo 1 del artículo 23 de la Resolución 11, la Comisión fijará un cargo de Comercialización igual al de un mercado similar.
“Con base en lo anterior y teniendo en Cuenta lo establecido en la Resolución 11, con respecto a la determinación del cargo de comercialización para empresas nuevas, se asigna para el mercado conformado por el municipio de La Calera el Cargo de comercialización que fue aprobado mediante Resolución CREG 040 de 2007 que tiene características similares. (…)." (Destacado fuera de texto).
Como se observa, la CREG justifica -en el primer párrafo del aparte transcrito- la aplicación del parágrafo 1 del artículo 23 de la Resolución 011 de 2003 señalando que La Calera es un mercado nuevo y no cuenta con la información requerida para el cálculo del Cargo (evento que no está previsto en la referida disposición); mientras que en el siguiente párrafo, la CREG advierte que la determinación del cargo de Comercialización igual al de otro mercado similar procede para “empresas nuevas” (que no es el caso de Gas Natural S.A. ESP).
En efecto, el parágrafo 1 del artículo 23 de la Resolución CREG-011 de 2003 es aplicable cuando la empresa que solicita el cargo de comercialización es nueva y no cuenta con la información exigida en la referida disposición, pero en evento alguno su aplicación se predica para solicitudes de "mercados nuevos" atendidos por Comercializadores ya constituidos que cuentan con la información señalada. Al respecto, basta revisar la redacción del artículo 23 de la Resolución CREG011 de 2003 que es del siguiente tenor literal:
“Artículo 23 METODOLOGÍA PARA EL CÁLCULO DEL CARGO MÁXIMO BASE DE COMERCIALIZACIÓN. El cargo máximo base de comercialización Co se determinará como el cociente de la suma de los componentes a) y b) descritos a continuación, sobre el número de facturas del año para el cual se tomaron los parámetros de cálculo de dichos componentes.
a) Los gastos anuales de AOM y la depreciación anual de las inversiones en equipos de cómputo, paquetes computacionales y demás activos atribuibles a la actividad de Comercialización que resulten de aplicar la metodología de Análisis Envolvente de Datos, tal como se describe en el Anexo 7 de esta Resolución.
b) El ingreso anual del Comercializador correspondiente al año en el cual se efectuaron los cálculos de los gastos de AOM multiplicado por un margen de comercialización de 1.67%. El ingreso anual incluirá el valor facturado para todos los componentes del Mst o del Msm, según sea el caso.
“Parágrafo 1: Para el caso de Comercializadores que no cuenten con la anterior información, se les fijará un Cargo de Comercialización igual al de otro Comercializador que atienda un mercado similar.” (Destacado fuera de texto).
En este orden de ideas, se tiene que la CREG incurrió en indebida aplicación del parágrafo 1 del artículo 23 de la Resolución 011 de 2003 al determinar en el artículo 6 de la Resolución 152 de 2009 el Cargo Máximo Base de Comercialización para el Mercado Relevante del Municipio de La Calera (Cundinamarca), toda vez que omitió la información suministrada por la empresa Comercializadora Gas Natural S.A. ESP en la solicitud tarifaria y, en su lugar, determinó la aplicación del cargo de comercialización aprobado mediante Resolución CREG-040 de 2007 para el municipio de Pamplona, Norte de Santander, con base en la información suministrada por la empresa Gases del Oriente S.A. ESP.
Por las razones expuestas, se solicita de la manera más respetuosa a la CREG determinar el cargo de comercialización para el Municipio de La Calera, teniendo en cuenta la información suministrada por la empresa Comercializadora Gas Natural S.A. ESP en la solicitud tarifaria, según la cual, Se infiere que este cargo debe corresponder a $2.794,57 por factura, tal como se muestra en el cálculo descrito en el Anexo 1 que forma parte integral de este recurso y que está basado en la información suministrada en la solicitud tarifaria.
ANEXO 1
Siguiendo la metodología dispuesta en el Artículo 23 de la resolución CREG-011 de 2003 y de acuerdo con la información presentada en la ‛‛SOLICITUD DE LOS CARGOS DE DISTRIBUCION Y COMERCIALIZACION PARA LA PRESTACION DEL SERVICIO DE GAS COMBUSTIBLE EN EL MUNICIPIO DE LA CALERA (CUNDINAMARCA)", documento con radicado CREG E-2009-006768 de fecha 22 de julio de 2009, Gas Natural S.A., ESP empresa solicitante del cargo de comercialización para el municipio de La Calera, presentó su información histórica de gastos AOM (Tabla 13, página 18), costes de comercialización (Tabla 14, página 19) y facturas emitidas (Tabla 15, página 20), en relación con el mercado relevante que actualmente atiende, como base para la determinación del cargo de comercialización del municipio de La Calera.
A continuación se presenta esta información histórica y se describe el procedimiento a partir del cual se infiere el cargo de comercialización del municipio de La Calera al que se hace referencia en el numeral 2 de este recurso.
1. En la página 18, Tabla 13, del documento de solicitud tarifaria, se presentaron los gastos AOM de comercialización de los últimos 2 años a precios constantes de 2008 y desagregados de acuerdo con el Anexo 7 de la Resolución CREG-011 de 2003.
2. a) En la Tabla 14, página 19 del documento de solicitud tarifaria, se presentaron los costos de comercialización de los 2 últimos años a precios constantes de 2008.
(1) Los “costos de comercialización” a los que se hace referencia en este recurso y en el documento de solicitud tarifaria corresponden con los “ingresos de comercialización” que se mencionan en el artículo 23 de la resolución CREG-011 de 2003.
b) Adicionalmente, con el objeto de contemplar todos los costos de comercialización existentes y dado que como se explicó en el documento de solicitud tarifaria (página 19, segundo párrafo) “…la actividad de comercialización de Gas Natural SA ESP, en su actual mercado relevante no se realiza usando tecnología GNC,…”(destacado fuera de texto), la empresa estimó y presentó los costos de comercialización que deberá asumir por la comercialización de gas en el municipio de La Calera a través de suministro de GNC, información que fue presentada en la Tabla 15, página 19 del documento de solicitud tarifaria.
a) El número de facturas emitidas por Gas Natural SA ESP durante los 2 últimos años, se presentaron en la Tabla 15, página 20, del documento de solicitud tarifaria.
b) Adicionalmente, de la información presentada en la Tabla 9, página 14 del documento de solicitud tarifaria, corregida mediante comunicación con radicado CREG E-2009-010078 con fecha 26 de octubre de 2009, se infiere que el número de facturas emitidas en el municipio de La Calera corresponde a 1.823, esto es, el número de clientes del año 1 de la proyección de clientes y demanda.
Así pues, siguiendo la metodología dispuesta en el Artículo 23 de la Resolución CREG011 de 2003, el cargo de comercialización solicitado por el comercializador Gas Natural SA ESP para el municipio de La Calera correspondería a $2.794,57 pesos por factura (en pesos constantes de 2008), obteniéndose éste a través del siguiente cálculo:
.”
2.2 Análisis de los argumentos presentados
De la documentación radicada se observa que el recurrente solicita la modificación de los siguientes aspectos aprobados en la Resolución CREG 152 de 2009:
Frente al Cargo Promedio de Distribución la empresa solicita:
· Ajustar los Gastos de AOM considerando la Cuenta 7520.
· Corregir información referente a los gastos de AOM de distribución para el primer año del periodo de proyección.
· Aprobar como Cargo Promedio de Distribución para el mercado relevante de La Calera el Cargo Promedio de Distribución del mercado relevante de Bogotá, Sibaté y Soacha, aprobado mediante la Resolución CREG 033 de 2004.
En relación con el Cargo Base de Comercialización la inconformidad del recurrente versa en la interpretación del artículo 23 de la Resolución CREG 011 de 2003.
2.2.1 Cargo Promedio de Distribución.
· Ajustar los Gastos de AOM considerando la Cuenta 7520. Revisada en detalle la información presentada por la empresa Gas Natural S.A. ESP., se observa que efectivamente no se incluyó la Cuenta 7520 en el cálculo del cargo promedio de distribución puesto que no se tenía claro a qué gastos correspondían.
Considerando que los conceptos descritos en la Cuenta 7520 por un valor de $6.503.671 corresponden a gastos de funcionamiento que son reconocidos en la metodología de remuneración del cargo promedio de distribución, se acepta la solicitud de incluir dicho concepto en los gastos de AOM de la actividad de distribución de gas por redes de tuberías.
· Corregir información referente a los gastos de AOM de distribución para el primer año del periodo de proyección. La CREG en el análisis de la información reportada por la empresa en la solicitud tarifaria observó un error aritmético de los gastos de AOM en el primer año de proyección. Por lo anterior, es necesario aclarar que dentro de los gastos de AOM considerados para el cálculo del Cargo Promedio de Distribución de la Resolución CREG 152 de 2009, se corrigió el error en que incurrió la empresa en dicho año de proyección.
Considerando las peticiones de la empresa concedidas por la CREG en la presente Resolución se corrió nuevamente el modelo de eficiencia DEA y se obtiene un puntaje del 73,40%:
Las cifras finales para el mercado relevante de La Calera, utilizadas para correr el modelo DEA corresponden a las siguientes:
| Inversión promedio en redes de distribución a $ de dic. de 2002 | 834.121.046 |
| Km promedio de red | 38,49 |
| AOM Distribución promedio a $ de dic. de 2002 | 47.385.782 |
| Usuarios promedio (5 primeros años) | 1.881 |
En consecuencia, el Cargo Promedio de Distribución obtenido es de 301,46 $/m3 (pesos de diciembre de 2008), desagregado de la siguiente manera:
| Componente | $/m3 |
| Componente de inversión | 236,17 |
| Gastos AOM | 65,29 |
· Aprobación del Cargo Promedio de Distribución aprobado mediante la Resolución CREG 033 de 2004. En relación con dicha solicitud la CREG observa que el Cargo Promedio de Distribución obtenido con la información ajustada en la presente resolución es menor al cargo aprobado mediante Resolución CREG 033 de 2004, actualizado a diciembre de 2008. A continuación se presenta un cuadro comparativo con la citada información:
CUADRO COMPARATIVO
| | Cargo obtenido | Res. CREG 033 de 2004 |
| Cargo Promedio de Distribución | 301,46 $/m3 | 314,37 $/m3 |
| Componente de inversión | 236,17 $/m3 | 165,76 $/m3 |
| Gastos AOM | 65,29 $/m3 | 148,61 $/m3 |
Por lo anterior, y de conformidad con los principios tarifarios legales no se acepta la solicitud de la empresa de aprobar para el municipio de La Calera, el Cargo Promedio de Distribución del mercado relevante de Bogotá, Soacha y Sibaté.
2.2.2 Cargo Máximo Base de Comercialización.
Si bien es cierto, que en el parágrafo 1 del artículo 23 de la Resolución CREG 011 de 2003 se contempla que se fijará el Cargo Máximo Base de Comercialización igual al de otro Comercializador que atienda un mercado similar en el evento en que Comercializadores no cuenten con la información para la determinación del Cargo Máximo Base de Comercialización requerida en el artículo 23 antes citado, se observa que la norma se encamina en aplicar la metodología de asignación del Cargo de Comercialización para los mercados nuevos, como es el caso del Municipio de La Calera.
Lo anterior, se plasma en el documento CREG 009 de 2004 en el cual se observa que la metodología considera como parámetro de comparación mercados similares en cuanto al tamaño del mercado y a la densidad de usuarios por kilómetro de red de distribución.
Por lo anterior, se entiende que la Resolución CREG 011 de 2003 al referirse a “… Comercializadores que no cuenten con la anterior información”, se trata de información de gastos e ingresos históricos o reales sobre el nuevo mercado y no específicamente a empresas nuevas.
Considera la Comisión que no es adecuado obtener el cargo de comercialización de un mercado pequeño, con base en la información de gastos e ingresos de un mercado completamente diferente en escala. Por lo tanto, no se acepta la solicitud de la empresa Gas Natural S.A. ESP., consistente en modificar la metodología de cálculo del Cargo Máximo Base de Comercialización para mercados nuevos.
Finalmente, se anota que en la determinación de los cargos de distribución y comercialización contenidos en la Resolución CREG 152 de 2009 la CREG encontró un error relacionado con los kilómetros de red, el cual fue corregido, obteniéndose la densidad de usuarios por kilómetro de red de 48,86. En consecuencia, el modelo DEA asigna el Cargo Máximo Base de Comercialización del mercado del municipio de Coyaima en el departamento del Tolima, el cual es de 2.192,60 $/factura (a pesos de diciembre de 2008), como se indica a continuación:
La Comisión, en sesión No. 451 del día 13 de abril de 2010, aprobó modificar la Resolución CREG 152 de 2009;
RESUELVE:
Artículo 1. Modificar los artículos 4, 5 y 6 de la Resolución CREG 152 de 2009, los cuales quedarán así:
“Artículo 4. Gastos de Administración, Operación y Mantenimiento de Distribución - AOM. El nivel de eficiencia obtenido del modelo de frontera de eficiencia es 73,40%. Aplicando este resultado al valor presente de los gastos de AOM propuestos para el Horizonte de Proyección, se obtiene el siguiente valor para incorporar al cálculo del cargo que remunera los gastos de AOM. En el Anexo 3 se presentan los gastos de AOM para el Horizonte de Proyección”
Componente | $ del 31 de Dic./2008 |
Valor Presente de los gastos de AOM, con nivel de eficiencia
| 382.693.430 |
“Artículo 5. Cargo Promedio de Distribución. A partir de la vigencia de la presente Resolución, el Cargo Promedio de Distribución aplicable en el Mercado Relevante del Artículo 1, para recuperar los costos de inversión y gastos de AOM para la distribución domiciliaria de gas natural por red se fija en 301,46 $/m3 (pesos de diciembre de 2008) desagregado de la siguiente manera:
| Componente | $/m3 |
| Componente de inversión | 236,17 |
| Gastos AOM | 65,29 |
NOTA: Cifras en pesos del 31 de diciembre de 2008
Parágrafo 1. El cargo piso aplicable en el Mercado Relevante definido en el Artículo 1 se fija en $70,38/m3 (pesos de diciembre de 2008).
Parágrafo 2. Estos Cargos de Distribución se actualizarán de conformidad con lo establecido en el numeral 7.8 de la Resolución CREG-011 de 2003”.
“Artículo 6. Cargo Máximo Base de Comercialización. A partir de la vigencia de la presente Resolución, el Cargo Máximo Base de Comercialización aplicable en el Mercado Relevante definido en el Artículo 1 de la presente Resolución, es el siguiente:
| Cargo Máximo Base de Comercialización ($/factura) | 2.192,60 |
NOTA: Cifras en pesos del 31 de diciembre de 2008
Parágrafo. El Cargo de Comercialización se actualizará de conformidad con lo establecido en el Artículo 24 de la Resolución CREG-011 de 2003”.
Artículo 2. Modificar el Anexo 3 PROYECCIÓN DE GASTOS DE ADMINISTRACIÓN, OPERACIÓN Y MANTENIMIENTO DE DISTRIBUCIÓN-AOM, el cual quedará así:
Artículo 3. Notificar al representante legal de Gas Natural S.A. E.S.P., el contenido de esta resolución y hacerle saber que contra lo dispuesto en este acto no procede recurso alguno por la vía gubernativa.
Artículo 4. Esta Resolución rige desde la fecha de su notificación.
NOTIFÍQUESE, PUBLÍQUESE Y CÚMPLASE
Dada en Bogotá, D.C., el 13 ABR. 2010
SILVANA GIAIMO CHÁVEZ | JAVIER AUGUSTO DÍAZ VELASCO |
Viceministra de Minas y Energía
Delegada del Ministro de Minas y Energía | Director Ejecutivo |
Presidente |  |
|
Doble click sobre el archivo anexo para bajarlo(Resoluciones CREG) |
Doble click sobre el archivo anexo para bajarlo(Documento CREG) |
|