| Publicación Diario Oficial No.: | , el día: |
| Publicada en la WEB CREG el: | |
| RESOLUCIÓN No.038 ( 19 JUN. 2003 )
Por la cual se aprueban el Costo Anual por el uso de los Activos del Nivel de Tensión 4 y el Costo Anual de los Activos de Conexión al Sistema de Transmisión Nacional (STN) de los Sistemas de Transmisión Regional (STR), y los Cargos Máximos de los Niveles de Tensión 3, 2 y 1 del Sistema de Distribución Local (SDL), operados por Empresa Antioqueña de Energía S. A. E.S.P.
Recurso de Reposición:: Resolución CREG 099-03
Sobre el Mismo Tema Ver: Resolución CREG 004-01
Resolución CREG 082-02
Modificada parcialmente : Resolución CREG 070-04
LA COMISIÓN DE REGULACIÓN DE ENERGÍA Y GAS
En ejercicio de sus atribuciones constitucionales y legales, en especial las conferidas por las Leyes 142 y 143 de 1994, y en desarrollo de los Decretos 1524 y 2253 de 1994.
CONSIDERANDO:
Que de acuerdo con lo previsto en el Artículo 23, literal d), y 41 de la Ley 143 de 1994, es función de la Comisión de Regulación de Energía y Gas fijar las tarifas por el acceso y uso de las redes eléctricas;
Que mediante la Resolución CREG 082 de 2002, la Comisión aprobó los principios generales y la metodología para el establecimiento de los Cargos por Uso de los Sistemas de Transmisión Regional (STR) y de Distribución Local (SDL);
Que la Empresa Antioqueña de Energía S.A. E.S.P. mediante comunicación radicada en la CREG bajo el No. 11938 recibida el día 31 de diciembre de 2002, sometió a aprobación de la Comisión los Costos Anuales por el uso de los Activos del Nivel de Tensión 4 y el Costo Anual de los Activos de Conexión al Sistema de Transmisión Nacional (STN), y los Cargos Máximos de los Niveles de Tensión 3, 2 y 1, correspondientes al Sistema de Transmisión Regional y al Sistema de Distribución Local que opera;
Que la Empresa Antioqueña de Energía S.A. E.S.P., en cumplimiento de las Circulares CREG No. 019, 025, 027, 029, 038 de 2002, reportó a la CREG los inventarios de activos eléctricos del STR y SDL que opera, clasificados según el listado de Unidades Constructivas establecido en el Anexo No 3 de la Resolución CREG 082 de 2002;
Que la Resolución CREG 004 de 2001, por la cual se fijan los costos unificados de distribución y comercialización, aplicables a los usuarios del nuevo Sistema de Transmisión Regional y/o Distribución Local, resultante de la integración de los STR y/o SDL previamente operados por la Empresa Antioqueña de Energía S.A. E.S.P. y Empresas Públicas de Caucasia, esta en firme a la fecha de aprobación del presente acto administrativo;
Que la Empresa Antioqueña de Energía S.A. E.S.P., en cumplimiento de lo dispuesto en el Parágrafo 2 del Artículo 13º de la Resolución CREG 082 de 2002, publicó en un diario de amplia circulación, el resumen del estudio de cargos que presentó a la Comisión, con la información mínima señalada en el Anexo No 6 de dicha Resolución, con el fin de que los terceros interesados pudieran presentar ante la Comisión observaciones sobre tal información, y envió a la Comisión, copia del aviso de prensa respectivo;
Que se analizó la información presentada por la Empresa Antioqueña de Energía S.A. E.S.P., conjuntamente con la información adicional disponible en la CREG sobre los activos del STR y del SDL que opera, y se solicitaron las aclaraciones pertinentes;
Que en cumplimiento de lo dispuesto en el Anexo No 5 de la Resolución CREG 082 de 2002, la Comisión, a través de la firma DEPI LTDA., verificó la calidad de la información reportada por la Empresa Antioqueña de Energía S.A. E.S.P., para una muestra diseñada por la Comisión, siguiendo la metodología contenida en el citado Anexo;
Que mediante comunicación radicada en la CREG, bajo el No. 00910 de 2003, la firma DEPI LTDA. presentó el informe de verificación de la calidad de la información reportada por la Empresa Antioqueña de Energía S.A. E.S.P., del cual se dio traslado a dicha empresa con el objeto de que ejerciera su derecho de defensa y se pronunciara sobre las diferencias de información relacionadas en el mencionado informe de verificación;
Que una vez revisado el informe de verificación de la calidad de la información, por parte de la CREG, se encontró necesario solicitar a la firma DEPI LTDA., aclaración de la información presentada en su respectivo informe;
Que mediante comunicación radicada en la CREG bajo el No. E-2003-004298 de 2003, la firma DEPI LTDA., rindió las aclaraciones solicitadas, de las cuales se dio traslado al Operador de Red Empresa Antioqueña de Energía S.A. E.S.P., con el objeto de que ejerciera su derecho de defensa;
Que la Empresa Antioqueña de Energía S.A. E.S.P., mediante comunicaciones radicadas en la CREG bajo los números E-2003-003530, E-2003-004918 y E-2003-005690 de 2003, presentó las aclaraciones solicitadas por la Comisión y se pronunció en relación con el informe de verificación de calidad de la información;
Que como resultado del análisis de la información y de las respuestas presentadas a la Comisión por la Empresa Antioqueña de Energía S.A. E.S.P., se realizaron los ajustes pertinentes a los inventarios reportados, así como a la información adicional requerida para el cálculo de los Costos Anuales y de los Cargos Máximos de que tratan los Artículos 3 y 5 de la Resolución CREG 082 de 2002, según se relacionan, con su respectivo sustento, en el documento soporte a la presente Resolución;
Que aplicada la metodología contenida en la Resolución CREG 082 de 2002 se calcularon para los sistemas operados por la Empresa Antioqueña de Energía S.A. E.S.P., las siguientes variables principales:
a) Costo anual para remunerar los activos de conexión al STN y de los Niveles de Tensión 4, 3 y 2, sin aplicar los criterios de eficiencia de que trata el Anexo No 8 de la Resolución CREG 082 de 2002:
b) Costo anual para remunerar los activos de conexión al STN y de los Niveles de Tensión 4, 3 y 2, aplicando los criterios de eficiencia de que trata el Anexo No 8 de la Resolución CREG 082 de 2002 y los aprobados mediante Resolución CREG 030 de 2003:
c) Los niveles de pérdidas en cada Nivel de Tensión que se reconocen en cada año del período tarifario:
Que a partir de las curvas de carga típicas por Nivel de Tensión presentadas por el OR, la Comisión calculó, siguiendo las disposiciones del Anexo No 9 de la Resolución CREG 082 de 2002, los factores multiplicadores que permiten establecer los Cargos Monomios Horarios a partir de los Cargos Monomios correspondientes;
Que la Comisión aprobó la Resolución CREG 032 de 2003, mediante la cual se establece la segunda etapa de transición para la aplicación de los Cargos por Uso de los Sistemas de Transmisión Regional y de Distribución Local aprobados a los Operadores de Red, de que tratan las Resoluciones CREG 063 y 082 de 2002, en cumplimiento del Decreto 1407 de 2002;
Que la Comisión, en Sesión No 215 del día 19 de junio de 2003, aprobó el Costo Anual por el uso de los Activos del Nivel de Tensión 4, el Costo Anual de los Activos de Conexión al STN, y los Cargos Máximos de los niveles de tensión 3, 2 y 1 de los STR y SDL operados por la Empresa Antioqueña de Energía S.A. E.S.P., así como la gradualidad tarifaria aplicable a la empresa.
RESUELVE:
Artículo 1. Costo Anual por el uso de los activos del Nivel de Tensión 4. El Costo Anual por el uso de los activos del Nivel de Tensión 4 operados por la Empresa Antioqueña de Energía S.A. E.S.P. será el siguiente:
Artículo 2. Costo Anual de los Activos de Conexión al Sistema de Transmisión Nacional - STN. El Costo Anual de los Activos de Conexión al STN operados por la Empresa Antioqueña de Energía S.A. E.S.P. será el siguiente:
Modificado : Resolución CREG 070-04-Art:1
Artículo 3. Cargos Máximos de los niveles de tensión 3 y 2. Los Cargos Máximos de los niveles de tensión 3 y 2, en valores monomios del sistema operado por la Empresa Antioqueña de Energía S.A. E.S.P., en cada año del período tarifario, serán los siguientes:
Parágrafo. De conformidad con lo establecido en el Numeral 2 del Anexo No 4 de la Resolución CREG 082 de 2002, los Cargos Máximos de que trata el presente Artículo serán liquidados y facturados por el OR a cada uno de los Comercializadores que atienden Usuarios Finales conectados a su sistema en los niveles de tensión 3 y 2, y a los OR que tomen energía de su sistema en los mismos niveles de tensión. Estos cargos serán igualmente liquidados y facturados respecto de la demanda de los usuarios de Nivel de Tensión 1 referida al Nivel de Tensión 3 o 2, según el caso, como se deriva de lo establecido en el literal d. numeral 4 del Anexo No 4 de la Resolución CREG 082 de 2002.
Recurso de Reposición: Resolución CREG 099-03 Artículo 1
Modificado : Resolución CREG 070-04-Art:3
Artículo 4. Cargos Máximos del Nivel de Tensión 1. Los Cargos Máximos del Nivel de Tensión 1 del sistema operado por la Empresa Antioqueña de Energía S.A. E.S.P., en cada año del período tarifario, serán los siguientes:
Artículo 5. Aplicación de los Cargos Máximos. Los Cargos Máximos de que tratan los artículos 3 y 4 de la presente Resolución constituyen topes máximos, razón por la cual el Operador de Red podrá aplicar cargos inferiores siempre y cuando cumplan con los criterios tarifarios de ley.
Artículo 6. Cargos Monomios Horarios. Para el cálculo de los Cargos Monomios Horarios, se deberán utilizar los factores multiplicadores y períodos de carga que se presentan a continuación:

 
Parágrafo 1. Los Cargos Monomios Horarios resultan de la multiplicación del Cargo Monomio por el factor asociado a cada período de carga del Nivel de Tensión respectivo.
Parágrafo 2. Cuando el comportamiento de la demanda varíe de forma significativa, el Operador de Red podrá solicitar a la CREG la modificación de los factores y períodos aprobados en este Artículo, justificando dicha solicitud, e informando de la misma a la Superintendencia de Servicios Públicos Domiciliarios.
Parágrafo 3. Los Cargos Máximos Horarios resultantes de la aplicación del presente Artículo, serán liquidados y facturados por la Empresa Antioqueña de Energía S.A. E.S.P. a los Operadores de Red o a los comercializadores que atienden usuarios conectados al sistema que opera, cuando los OR o usuarios respectivos cuenten con medición horaria. En caso de que no exista medición horaria, se deberán aplicar los Cargos Monomios.
Artículo 7. Factores de Pérdidas. Los factores para referir las medidas de energía al STN y los usados para referir las medidas de energía en el Nivel de Tensión 1 a los niveles de tensión 3 y 2, de que trata el Anexo No 10 de la Resolución CREG 082 de 2002 y que aplican en el sistema operado por la Empresa Antioqueña de Energía S.A. E.S.P. son:
a) Factores para referir las medidas de energía al STN:
b) Factores para referir las medidas en el Nivel de Tensión 1 a los niveles de tensión 2 y 3:
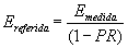
Parágrafo. Los factores de que trata el presente Artículo se aplicarán de acuerdo con la siguiente expresión:
donde:
Ereferida: Energía referida al STN o a los niveles de tensión 3 o 2, según sea el caso.
Emedida: Energía registrada en el equipo de medida
PR: Factor para referir las medidas de energía al STN o a los niveles de tensión 3 o 2, según sea el caso, y que se presentan en este Artículo.
Artículo 8. Segunda Etapa de la Transición Tarifaria. Para dar cumplimiento a lo establecido en la Resolución CREG 032 de 2003 se establecen los siguientes parámetros para la Empresa Antioqueña de Energía S.A. E.S.P., en cuanto a la gradualidad en la aplicación del Cargo Máximo de Nivel de Tensión 2 establecida en el numeral 3 del Artículo 2 de dicha Resolución:
- Cargo de transición para el primer mes de aplicación del Cargo Máximo de Nivel de Tensión 2 aprobado en esta Resolución: 43.6356 $/kWh (pesos de diciembre de 2001).
- Porcentaje de incremento mensual: 11.8%, en términos reales.
- Plazo: 24 meses.
Recurso de Reposición: Resolución CREG 099-03 Artículo 2
Artículo 9. Vigencia. De conformidad con lo previsto por el artículo 13º de la Resolución CREG 082 de 2002, los cargos y valores aprobados en esta Resolución estarán vigentes desde la fecha en que quede en firme esta Resolución y se aplicarán a partir del mes siguiente, conforme a lo dispuesto en el lit. c) numeral 1. del anexo 2 de la Resolución CREG 082 de 2002 y hasta el 31 de diciembre del año 2007. Vencido su período de vigencia, continuarán rigiendo hasta que la Comisión apruebe los nuevos.
Artículo 10.. Recursos. La presente Resolución deberá notificarse a la Empresa Antioqueña de Energía S. A. E.S.P. Contra lo dispuesto en este acto procede el recurso de reposición, el cual se podrá interponer ante la Dirección Ejecutiva de la CREG dentro de los cinco (5) días hábiles siguientes a la fecha de su notificación.
Publicada en el Diario Oficial No.45.252 del 18 de julio de 2003
NOTIFÍQUESE, PUBLÍQUESE Y CÚMPLASE,
Dada en Bogotá, a los 19 JUN. 2003
LUIS ERNESTO MEJÍA CASTRO | JAIME ALBERTO BLANDÓN DÍAZ |
Ministro de Minas y Energía | Director Ejecutivo |
Presidente |  |
|
Doble click sobre el archivo anexo para bajarlo(Resoluciones CREG) |
Doble click sobre el archivo anexo para bajarlo(Documento CREG) |
|