| Publicación Diario Oficial No.: | , el día: |
| Publicada en la WEB CREG el: | |
| Resolución 112 de 1996 (28 de noviembre)
Por la cual se indican las bases sobre las cuales se establecerá la fórmula tarifaria que permita a las empresas comercializadoras de electricidad calcular los costos de prestación del servicio, determinar las tarifas aplicables a los usuarios finales regulados y el procedimiento para definir la metodología.
Notas de Vigencia: - Corregida por la Resolución 4 de 1997, publicada en el Diario Oficial No. 42.968 de 28 de enero de 1997, "Por la cual se corrigen errores tipográficos de las resoluciones 112 y 113 de diciembre de 1996 expedidas por la CREG." |
RESOLUCION No. 112 de 1996 (28 de Noviembre)
Por la cual se indican las bases sobre las cuales se establecerá la fórmula tarifaria que permita a las empresas comercializadoras de electricidad calcular los costos de prestación del servicio, determinar las tarifas aplicables a los usuarios finales regulados y el procedimiento para definir la metodología.
LA COMISION DE REGULACION DE ENERGIA Y GAS en ejercicio de sus atribuciones legales, en especial las conferidas por las Leyes 142 y 143 de 1994, y los Decretos 1524 y 2253 de 1994, y
RESUELVE:
Artículo 1º. Definiciones. Para los efectos de esta resolución se adoptan las siguientes definiciones:
Actividad de Comercialización de Energía Eléctrica: Actividad consistente en la compra de energía eléctrica en el mercado mayorista y su venta a los usuarios finales, bien sea que esa actividad se desarrolle o no en forma combinada con otras actividades del sector eléctrico, cualquiera de ellas sea la actividad principal.
Cargo de Conexión: Suma que el usuario paga a la empresa para cubrir los costos en que ésta incurre por conectarlo al servicio de electricidad.
Cargo Fijo: Suma que el usuario paga al comercializador de energía eléctrica, asociada con la disponibilidad permanente del servicio para el usuario, independientemente del nivel de consumo.
Cargo Variable: Es una variable que en la Fórmula de Costos se aplica como factor al consumo facturado.
Comercializador de Energía Eléctrica: Persona natural o jurídica que comercializa electricidad, bien como actividad exclusiva o en forma combinada con otras actividades del sector eléctrico, cualquiera de ella sea la actividad principal.
Salvo que esta resolución exprese otra cosa, cuando se haga referencia a “comercializador” o “prestador del servicio”, se entenderá que se hace mención a la empresa que desarrolla la actividad de comercializar energía eléctrica a usuarios finales regulados.
Contribución: Suma que el usuario paga al comercializador por encima del costo del servicio.
Costo de Prestación del Servicio:. Es el costo de prestación del servicio, no afectado por subsidios ni contribuciones, sobre el cual se calcula el valor de la factura al suscriptor.
Estructura Tarifaria: El conjunto de los cargos que podrá cobrar el comercializador al usuario final regulado del servicio de energía eléctrica, los cuales comprenden: una tarifa por unidad de energía; una tarifa por unidad de potencia en horas de máxima demanda, cuando su valor no se encuentra incorporado en el de la energía, según la clase de medidor del usuario; un cargo fijo y un cargo por conexión.
Fórmulas para el Costo de Prestación del Servicio: Son las ecuaciones que permiten calcular el Costo de Prestación del Servicio, en función de la estructura de costos económicos.
Libertad Regulada: Régimen de tarifas mediante el cual la Comisión de Regulación de Energía y Gas fija los criterios y la metodología con arreglo a los cuales las empresas que presten el servicio público domiciliario de comercialización de energía eléctrica, pueden determinar o modificar los precios máximos que cobrarán a los usuarios finales regulados por el citado servicio. Tales criterios y metodología se expresan mediante fórmulas tarifarias.
Sistema Interconectado Nacional: Sistema compuesto por los siguientes elementos conectados entre sí: las plantas y equipos de generación, la red de interconexión, las redes regionales e interregionales de transmisión, las redes de distribución y las cargas eléctricas de los usuarios.
Subsidio: Diferencia entre lo que el usuario paga al comercializador por el servicio y el costo de éste, cuando tal costo es mayor al pago que realiza el usuario.
Artículo 2º. Ambito de aplicación. Esta resolución se aplica a toda persona natural o jurídica que suministre energía eléctrica a usuarios finales regulados en el sistema interconectado nacional. Por consiguiente, toda persona que preste el servicio público de comercialización de electricidad bajo el ámbito de aplicación de esta resolución, determinará las tarifas y cargos que cobre a los usuarios según las fórmulas de costos que aprobará la Comisión de acuerdo con lo previsto en esta resolución.
Artículo 3º. Régimen de Libertad Regulada. Las tarifas a los usuarios finales regulados se someterán al régimen de libertad regulada a partir de la fecha en que entren en vigencia las fórmulas tarifarias específicas para cada empresa comercializadora.
Artículo 4º. Fórmulas de costos. El comercializador deberá establecer los costos de prestación del servicio a los usuarios finales regulados de energía eléctrica, de acuerdo con las fórmulas que se detallan en el Anexo A de la presente Resolución.
Artículo 5º. Definición de los costos que incorporan las fórmulas. De los costos que contienen las fórmulas, los componentes de generación, transporte y distribución, están sujetos a las normas específicas sobre tales materias.
La determinación de los costos de comercialización se realizará de acuerdo con el cronograma que se describe en los artículos siguientes.
Artículo 6º. Cronograma para la aprobación de los parámetros de cálculo de los costos de comercialización de cada prestador del servicio. La aprobación de los parámetros de cálculo de los costos de comercialización de cada prestador del servicio se realizará de acuerdo con el siguiente cronograma:
a). Presentación de la información sustentada y verificable sobre los costos de comercialización por parte de cada prestador del servicio: a partir de la fecha en que entre a regir esta resolución y a más tardar el 31 de enero de 1997.
b). Oportunidad para que los comercializadores y los terceros interesados en los resultados de la decisión que adoptará la Comisión sobre los costos de comercialización, presenten observaciones: a partir de la fecha en que la Comisión los cite y hasta el 28 de febrero de 1997.
c). Análisis de la propuesta presentada por cada comercializador, de las observaciones que presenten los terceros que se hagan parte de la respectiva actuación y aprobación de la fórmula tarifaria general: a más tardar el 31 de marzo de 1997.
d). Aprobación de la metodología para cada empresa comercializadora de electricidad: a más tardar el 30 de abril de 1997.
Artículo 7º. Presentación de los costos de comercialización por parte de los prestadores del servicio. Los datos, debidamente sustentados, que presentará cada comercializador ante la Comisión, deberán referirse al nivel de los costos de comercialización actuales, y al plan mediante el cual se ajustarán, durante los cinco años de vigencia de las fórmulas, al nivel previsto en las mismas.
Parágrafo. En el evento en que una empresa comercializadora se abstenga de presentar ante la Comisión los datos a que se refiere este artículo, la Comisión adelantará de oficio la correspondiente actuación con los elementos de juicio que tenga a su disposición.
Artículo 8º. Información que debe suministrar el comercializador. La información que presente cada comercializador ante la Comisión deberá contener:
a) El costo de comercialización para el primer año de vigencia de la fórmula, debidamente soportado.
b) En los costos de comercialización debe expresar por separado los costos de lectura, precrítica, crítica, facturación, entrega de facturas, recaudo, atención de reclamos, cortes y suspensiones, reconexión, y los otros costos que pueda justificar el comercializador.
c) El comercializador deberá entregar la información correspondiente a los costos de compras propias de la empresa durante cada uno de los meses del año anterior al de vigencia de la fórmula, además de los otros costos del mercado mayorista en que haya incurrido en ese mismo año, de acuerdo con lo establecido en el numeral 2.4 del Anexo A de la presente resolución.
d) Las observaciones y demás información que crea necesarias.
Artículo 9º. Impulso de la actuación. El Director Ejecutivo de la Comisión impulsará la actuación, sin perjuicio del reparto interno que haga para el estudio de las propuestas. Si la propuesta no incluye toda la información necesaria, el Director Ejecutivo requerirá a la empresa para que la complete.
Artículo 10º. Publicaciones. La empresa comercializadora deberá publicar un texto con el extracto resumido de los datos que suministre a la Comisión en un diario de amplia circulación nacional o local, según el caso, y pagará la publicación, en el medio que ella escoja, dentro de los cinco días siguientes a aquel en el cual remita la información a la Comisión y enviará a ésta copia del aviso.
Artículo 11º.Citación a los terceros interesados. Mediante publicación que el Director Ejecutivo ordenará en un medio de amplia circulación nacional, se citará a los comercializadores y los terceros que tengan interés en los resultados de la decisión mediante la cual la Comisión aprobará la fórmula tarifaria general y la metodología para el cálculo de los costos de comercialización de electricidad de cada prestador del servicio, de acuerdo con lo previsto por la ley.
Artículo 12º. Presentación de observaciones por parte de los terceros interesados en los resultados de la decisión. Los terceros interesados en los resultados de la decisión que adoptará la Comisión, que se hagan parte de la actuación administrativa, podrán presentar observaciones hasta el 28 de febrero de 1997, mediante escrito dirigido a la Comisión en el cual indicarán las observaciones que desean plantear.
Artículo 13º. Pruebas. La actuación se adelantará dando aplicación a la presunción de buena fe prevista en el artículo 83 de la Constitución. Se presumirá, por tanto, que las informaciones que aporte el peticionario a la Comisión son veraces, y que los documentos que aporte son auténticos. Sin embargo, dentro del mes siguiente a la fecha en que se haga la publicación mediante la cual se cite a los prestadores del servicio y a los terceros interesados, según el literal b) del artículo 6º de esta resolución, y habiendo oido a los interesados intervenientes, si existen diferencias de información o de apreciación sobre aspectos que requieran conocimientos especializados, el Director Ejecutivo podrá decretar las pruebas a que haya lugar.
Decretadas las pruebas, la empresa interesada manifestará, en los términos del artículo 109 de la ley 142 de 1994, si desea que ellas las practique la autoridad, o si desea acordar con la autoridad una persona que se encargue de practicarlas, o si desea solicitar a la Superintendencia de Servicios Públicos que designe o contrate a otra persona para este efecto. Cuando corresponda a la Comisión nombrar peritos, el nombramiento corresponderá a la Comisión misma.
Parágrafo 1º. El interesado en solicitar pruebas deberá hacerlo dentro del plazo a que se refiere el literal b) del artículo 6º de la presente resolución.
Parágrafo 2º. Cuando se soliciten pruebas sobre materias similares, la Comisión podrá acumularlas.
Artículo 14º. Consideraciones para la decisión. La Comisión evaluará los costos de comercialización suministrados por cada prestador del servicio, teniendo en cuenta los siguientes criterios:
a) Forma de garantizar a lo largo del tiempo los beneficios de la reducción promedia de costos en las empresas.
b) Forma de incentivar al comercializador a ser más eficiente que el promedio y de obtener beneficios sobre la mayor eficiencia. Con este fin se utilizarán metodologías de evaluación comparativa de costos con otros comercializadores o con grupos homogéneos de comercializadores y con los costos históricos de la misma empresa.
Artículo 15º. Decisión sobre los costos presentados por los comercializadores y sobre las observaciones recibidas de terceros. Una vez analice la información suministrada por el comercializador; habiendo dado oportunidad de ser oídos a los terceros que se hayan hecho parte de la actuación administrativa, y practicadas las pruebas a que pueda haber lugar, conforme a la Ley, la Comisión procederá a aprobar la metodología que permita a cada prestador del servicio determinar los costos de comercialización.
Artículo 16º. Contenido de la decisión de la Comisión. La decisión que adoptará la Comisión sobre los costos de comercialización de cada prestador del servicio, indicará el valor del costo de comercialización que acepta aplicar al inicio de la vigencia de las fórmulas de costos, el valor de ese costo al final de la vigencia de las mismas y el plan mediante el cual se ajustará gradualmente a ese valor final.
Artículo 17º. Autorización para fijar tarifas. Una vez en firme la decisión de la Comisión mediante la cual apruebe la metodología para el cálculo de los costos de comercialización de cada prestador del servicio, éste podrá aplicar la metodología aprobada para determinar tales costos y la fórmula general, con el fin de determinar directamente los costos de prestación del servicio y las tarifas que cobrará a sus usuarios finales regulados, de acuerdo con el programa de ajuste de subsidios y contribuciones definido por la Comisión mediante resolución separada.
Artículo 18º. Actualización de los costos y las tarifas. Durante el período de vigencia de las fórmulas, las empresas podrán actualizar los costos de prestación del servicio y las tarifas que cobran a sus usuarios, aplicando las variaciones en los índices de precios que las fórmulas contienen, dentro de lo previsto en la resolución que establece el programa de ajuste de subsidios y contribuciones.
Artículo 19º. Vigencia de las fórmulas de costos. Las fórmulas de costos tendrán una vigencia de cinco años contados a partir de la fecha en que quede en firme el acto que aprueba la metodología de costos de comercialización de cada prestador del servicio, salvo que antes haya acuerdo entre el comercializador y la Comisión de Regulación de Energía y Gas para modificarlas o prorrogarlas por un período igual, según lo previsto por la ley 142 de 1994.
Parágrafo 1º. Las fórmulas tarifarias podrán modificarse excepcionalmente antes del plazo indicado, de oficio o a petición de parte, cuando sea evidente que se cometieron graves errores en su cálculo, que lesionan injustamente los intereses de los usuarios o de la empresa; o que ha habido razones de caso fortuito o fuerza mayor que comprometen en forma grave la capacidad financiera de la empresa para continuar prestando el servicio en las condiciones tarifarias previstas. Igualmente podrán modificarse o revocarse en los demás casos autorizados por las leyes.
Parágrafo 2º. Vencido el período de vigencia de las fórmulas, continuarán rigiendo mientras la Comisión de Regulación de Energía y Gas no fije las nuevas.
Artículo 20º. Inicio de la actuación administrativa para fijar nuevos costos y tarifas. Antes de doce meses de la fecha prevista para que termine la vigencia de la fórmula, la Comisión de Regulación de Energía y Gas pondrá en conocimiento de las empresas comercializadoras las bases sobre las cuales efectuará el estudio para determinar la fórmula del período siguiente.
Artículo 21º. Recursos. De acuerdo con lo previsto por el artículo 113 de la ley 142 de 1994, contra la decisión mediante la cual la Comisión apruebe la metodología para el cálculo de los costos de comercialización de un prestador del servicio, procede el recurso de reposición el cual podrá interponerse dentro de los cinco días hábiles siguientes a la fecha en que sea notificada o publicada, según el caso.
Artículo 22º. Publicidad. La empresa comercializadora respectiva hará pública en forma simple y comprensible al público, por medio de un periódico de amplia circulación, la metodología que la Comisión le apruebe para el cálculo de los costos de comercialización, al igual que la estructura tarifaria que aplicará a los usuarios.
Artículo 23º. Con el presente acto se inicia el trámite que conducirá a la aprobación de la fórmula tarifaria general y de la metodología aplicable a cada prestador del servicio para calcular el costo de prestación del servicio de electricidad.
Artículo 24º. Vigencia. Esta resolución rige a partir de la fecha de su publicación en el Diario Oficial, y deroga todas las disposiciones que le sean contrarias.
Publicada en el Diario Oficial No. 42.929 bis de Noviembre 29 de 1996 |
PUBLIQUESE Y CUMPLASE,
Dada en Santa Fe de Bogotá, a los 28 días de noviembre de 1996
 | RODRIGO VILLAMIZAR A.
Ministro de Minas y Energía
Presidente | EDUARDO AFANADOR IRIARTE
Director Ejecutivo |
ANEXO A FÓRMULAS DE COSTOS
1. Composición de los costos de prestación del servicio.
Los costos de prestación del servicio están definidos en forma unitaria ($/kWh), y están asociados con los costos que enfrenta la empresa en desarrollo de su actividad de comercialización.
2. Costo unitario reconocido.
El costo unitario está dado por la siguiente fórmula:
donde:
CUn,m,a Cargo unitario reconocido ($/kWh) para los usuarios conectados al nivel de tensión n, correspondiente al mes m del año a.
Gm,a Costos de compra de energía reconocidos ($/kWh) correspondientes al mes m del año a.
T a,z Costo promedio por uso del STN ($/kWh) correspondiente al año a en la zona z.
D n,a Costo de distribución ($/kWh) correspondiente al nivel de tensión n, en el año a.
O a Costos adicionales del mercado mayorista ($/kWh), compuestos por:
Reconciliaciones
Cargos CND, CRD y SIC
Contribuciones a la CREG y la SSPD
IPR n,a Indice de pérdidas reconocidas al nivel de tensión n en el año a
C m,a Costo de comercialización expresado en ($/kWh), en el año a.
2.1 Costos de compra de energía reconocidos.
Los costos de compra de energía reconocidos están dados por la fórmula:
Con,
donde:
Pm,a: Costo promedio mensual ($/kWh) de las transacciones propias en el mercado mayorista con destino al mercado regulado, considerando tanto contratos como bolsa de energía.
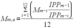
Mm,a: Costo Promedio Mensual ($/kWh) de las transacciones en el mercado mayorista .
: Factor de ponderación definido por CREG e igual a 0.9.
: Factor de ponderación de Pm,a , dado por la expresión:
donde:
Ca: Costo de Comercialización correspondiente al año a, de acuerdo con lo establecido en el numeral 3 de este Anexo, expresado en $/kWh.
Según la corrección hecha por Resolución-CRG04-97-Art:1 la cita que se hace al numeral 3, corresponde al numeral 2.6. del anexo
IPR1,a: Indice de pérdidas reconocido al nivel de baja tensión, correspondiente al año a.
Pa-1: Costo promedio de las compras propias, correspondiente al año anterior.
2.2 Costo promedio por uso del STN.
Se reconoce el promedio anual del costo de transmisión que enfrenta el comercializador en la zona correspondiente:
donde:
t: Mes al que están referenciados los cargos de uso del STN aprobados por la CREG.
z: Zona asociada.
TRa: Cargo de uso promedio en el año a ($/kWh) aprobado por la CREG, aplicable al comercializador.
IPP: Indice de Precios al Productor Total Nacional.
2.3 Costo de Distribución.
donde:
DRn : Cargo aprobado por la CREG para el nivel de tensión n.
2.4 Costos adicionales del mercado mayorista.
Los Costos Adicionales del Mercado Mayorista Oa corresponden a las contribuciones que deben hacer los agentes a la CREG y la SSP, los costos por reconciliaciones y servicios complementarios, y la remuneración del Centro Nacional de Despacho, los Centros Regionales de Despacho y del Administrador del SIC. Estos costos se calculan directamente en proporción a los kWh vendidos, mediante la fórmula:
donde:
m: Mes
a: Año
CCD: Cargos Centro Nacional de Despacho, Centros Regionales de Despacho y SIC ($/kWh).
CRS: Costo Reconciliaciones y Servicios Complementarios, sin incluir penalizaciones.
CER: Costo de Contribuciones a las Entidades de Regulación y Control
V: Ventas al Usuario Final
IPP: Indice de Precios al Productor Total Nacional.
2.5 Pérdidas reconocidas de energía.
El índice máximo de pérdidas acumuladas hasta el nivel de tensión n que se reconocen en la fórmula tarifaria es un parámetro único definido por la CREG en un valor inicial P0 para cada nivel de tensión, el cual se reduce anual y linealmente hasta un valor final Pf. La fórmula es:
donde t es el número de años transcurridos desde el inicio de aplicación de la fórmula.
Los porcentajes de pérdidas reconocidos son los siguientes:
| . | Nivel IV | Nivel III | Nivel II | Nivel I |
| P0 | 6.50% | 8.00% | 13.00% | 20.00% |
Pf | 3.50% | 5.00% | 8.00% | 13.00% |
Si el índice real para el primer año es inferior a P0 en el nivel de tensión I, de acuerdo con la certificación que para el efecto expida la UPME, deberá usarse el valor real inicial en la fórmula.
2.6 Costos de comercialización reconocidos.
Mediante este cargo se reconocerán los costos asociados con la atención de los usuarios regulados, con un esquema que incentive la eficiencia de las empresas, en la siguiente forma:
donde:
t Año: 0, 1, 2, 3, 4.
C0 Costo Base de Comercialización expresado en $/kWh.
IPCm-1 Indice de Precios al Consumidor del mes m-1.
IPC0 Indice de Precios al Consumidor del mes en que se calculó el C0.
La variable explicativa más importante en términos de Costos de Comercialización es la densidad de usuarios que presentan las diferentes comercializadoras. El grado de concentración de los suscriptores se traduce en economías de aglomeración que determinan en gran parte el costo de prestación del servicio suplido por el comercializador. Una segunda variable explicativa es el número de suscriptores, puesto que hay economías de escala en los procesos de recaudo.
Los mercados del país han sido divididos por la CREG en los siguientes grupos, de acuerdo con el valor de Cf :
Grupo 1 1,200 $/Factura /CFM ($ Dic/95)
Grupo 2 1,500 $/Factura /CFM ($ Dic/95)
donde:
CFM : Consumo Facturado Medio de cada empresa
Por lo tanto, el Cf para las empresas de cada uno de estos grupos está dado por los anteriores expresiones.
Los costos de comercialización para el año base ( año 0 ) deberán ser propuestos a la CREG por cada una de las empresas con su debida justificación, de modo que este costo refleje la situación de eficiencia actual de las empresas. Acto seguido la CREG, con base en esta información estimará para cada grupo el costo de eficiencia de clientela de partida.
Los ajustes por incrementos de eficiencia serán los que uniformemente lleven el costo de eficiencia en comercialización a los valores finales presentados anteriormente.
3. Costos de conexión y otros cobros.
Las empresas podrán cobrar a sus usuarios, por una sola vez en el momento de efectuar la conexión al servicio un cargo por conexión. Este cargo comprende la acometida y el medidor y podrá incluir, de autorizarlo la Comisión, una proporción de los costos que recuperen parte de la inversión nueva en las redes de distribución.
Las empresas deberán proponer a la CREG, con su debida justificación, los costos de conexión de los usuarios residenciales del servicio. Así mismo, deberán presentar la metodología a utilizar para la determinación de los cargos de conexión a los usuarios no residenciales.
Para el establecimiento de estos costos, la empresa deberá tener en cuenta que la Ley 142 de 1994 contempla el otorgamiento de plazos para amortizar los cargos de conexión, incluyendo la acometida y el medidor, de los usuarios residenciales, y que, en el caso de usuarios de estratos 1, 2 y 3 es obligatorio que estos plazos no sean inferiores a tres años.
Se prohibe el cobro de derechos de suministro, formularios de solicitud y otros servicios o bienes semejantes. Pero si una solicitud de conexión implicara estudios particularmente complejos, su costo, justificado en detalle, podrá cobrarse al interesado, salvo que se trate de un usuario residencial perteneciente a los estratos 1, 2, 3.
Las empresas deberán proponer a la Comisión los costos a cobrar a los usuarios por concepto de reconexiones y reinstalaciones del servicio, con su debida justificación.
 | RODRIGO VILLAMIZAR A.
Ministro de Minas y Energía
Presidente | EDUARDO AFANADOR IRIARTE
Director Ejecutivo |
|
Doble click sobre el archivo anexo para bajarlo(Resoluciones CREG) |
Doble click sobre el archivo anexo para bajarlo(Documento CREG) |
|