| Publicación Diario Oficial No.: | 47.252, el día:03/February/2009 |
| Publicada en la WEB CREG el: | 14/January/2009 |
| RESOLUCIÓN No.156 ( 05 DIC. 2008 )
Por la cual se dictan disposiciones relativas a la integración de mercados de comercialización y distribución de electricidad, cuando el mercado resultante de la integración va a ser servido por un comercializador de los mercados preexistentes.
Concordancias: Ley 142 de 1994
Resolución CREG 18 de 2008
Resolución CREG 119 de 2007
Resolución CREG 68 de 1998
Resolución CREG 31 de 1997 |
LA COMISIÓN DE REGULACIÓN DE ENERGÍA Y GAS
En ejercicio de sus atribuciones legales, en especial las conferidas por las Leyes 142 y 143 de 1994 y los decretos 1524 y 2253 de 1994 y,
C O N S I D E R A N D O QUE:
La Resolución CREG 068 de 1998 establece las disposiciones relativas a la integración de mercados de comercialización y distribución de electricidad, para lo cual considera los elementos definidos en la Resolución CREG 031 de 1997.
La Resolución CREG 119 de 2007 modificó la Resolución CREG 031 de 1997 aprobando la nueva fórmula tarifaria general que permite a los Comercializadores Minoristas de electricidad establecer los costos de prestación del servicio a usuarios regulados en el Sistema Interconectado Nacional.
La Resolución CREG 018 de 2008 estableció los criterios para determinar el valor del factor Alfa a utilizar en el caso de integración de mercados, comercializadores nuevos en mercados existentes, escisión de mercados y nuevos mercados de comercialización.
Se hace necesario adecuar algunas de las reglas establecidas en la Resolución CREG 068 de 1998 y en la Resolución CREG 018 de 2008 con el fin de hacer aplicable la Resolución CREG 119 de 2007, cuando se produzca la integración de dos (2) o más mercados de comercialización.
Mediante la Resolución CREG 104 de 2008, la Comisión de Regulación de Energía y Gas, sometió a consulta un proyecto de resolución mediante el cual “se dictan disposiciones relativas a la integración de mercados de comercialización y distribución de electricidad, cuando el mercado resultante de la integración va a ser servido por un comercializador de los mercados preexistentes”.
De conformidad con lo establecido en el numeral 3 del artículo 2 de la Resolución CREG 097 de 2004, la Resolución CREG 104 de 2008 se sometió a comentarios por un período de cinco días, por razones de oportunidad teniendo en cuenta que los cambios en ella propuestos son necesarios para la aplicación de la fórmula tarifaria de la Resolución CREG 119 de 2007 en casos de integración de mercados que se encuentran en curso.
Con base en las observaciones recibidas como parte del proceso de consulta y en los análisis internos de la CREG, la Comisión consideró necesario efectuar modificaciones a la propuesta contenida en la Resolución CREG-104 de 2008 en lo que tiene que ver con el cálculo del factor Alfa utilizado para la determinación del componente G de que trata la Resolución CREG 119 de 2007 en el primer mes de integración.
La Comisión de Regulación de Energía y Gas, en su sesión 395 del 5 de diciembre de 2008, aprobó publicar la resolución que contiene las disposiciones relativas a la integración de mercados de comercialización y distribución de electricidad, cuando el mercado resultante de la integración va a ser servido por un comercializador de los mercados preexistentes.
R E S U E L V E:
Artículo 1. Unificación de los componentes de compras de energía en la primera fase de transición. Cuando la integración de mercados de comercialización se efectúe durante la Primera Fase de Transición de que trata el Artículo 6 de la Resolución CREG 119 de 2007, el costo máximo por compras de energía ( ), se determinará bajo las siguientes reglas:
a. La variable será la suma de las Demandas Comerciales Reguladas de cada uno de los Comercializadores Minoristas que hacen parte de la integración, en el mes anterior a su cálculo.
b. La variable será la suma de la energía comprada mediante contratos bilaterales de cada uno de los Comercializadores Minoristas que hacen parte de la integración, en el mes anterior a su cálculo.
c. La variable se determinará como el promedio ponderado por energía de los precios de todos los contratos bilaterales con destino al mercado regulado, efectuados por parte de los Comercializadores Minoristas que hacen parte de la integración, liquidados en el mes anterior a su cálculo.
d. La variable se establecerá como el promedio ponderado por energía de los precios de todas las compras realizadas en Bolsa con destino al mercado regulado liquidados en el mes anterior a su cálculo, de cada uno de los Comercializadores Minoristas, que hacen parte de la integración.
En todos los casos, el factor de ponderación a utilizar será la Demanda Comercial de los respectivos comercializadores.
e. El factor se calculará como:

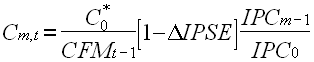
Cm,t: Costo de Comercialización ($/kWh) correspondiente al mes de enero del año de 2007, calculado como:
donde:
C*0 Costo Base de Comercialización expresado en $/Factura, que se determina conforme lo dispuesto en el Artículo 5 de la Resolución CREG 068 de 1998.
CFM t-1 Corresponderá al total de los kWh vendidos a los usuarios regulados y no regulados por los Comercializadores Minoristas que hacen parte de la integración, dividido entre el total de facturas expedidas a estos usuarios, sin considerar las debidas a errores de facturación, todo lo anterior para el año t-1.
Variación acumulada en el Índice de Productividad del Sector Eléctrico, este valor será de 4%.
IPCm-1 Índice de Precios al Consumidor del mes m-1.
IPC0 Índice de Precios al Consumidor del mes al que está referenciado el C*0.
PRI,t: Porcentaje de pérdidas acumuladas hasta el nivel de tensión uno, reconocidas al comercializador, correspondiente al año t. Hasta tanto, inicie el Programa de Reducción de Pérdidas No Técnicas, este valor será de 14,75%.
Pt-1: Costo promedio de las compras propias con destino al mercado regulado, correspondiente al año anterior a t. Corresponderá a la ponderación de los precios y las cantidades compradas por los por los Comercializadores Minoristas que hacen parte de la integración tanto en Bolsa como en contratos, del año anterior a la integración.
IPP6,t-1: Índice de Precios al Productor Total Nacional de junio del año anterior a t.
f. Para obtener el factor las variables Saldo acumulado de las diferencias ( ) y Ventas de energía al Mercado Regulado para el mes m del Comercializador ( ) se calcularán como:
La variable será la sumatoria de los saldos acumulados de las diferencias entre el Costo Reconocido y el valor trasladado en la tarifa , de cada uno de los Comercializadores que hacen parte de la integración. Dichos valores corresponderán a los existentes al momento de la integración.
La variable corresponderá a la sumatoria de las ventas realizadas a usuarios finales, regulados de cada uno de los Comercializadores Minoristas que hacen parte de la integración, en el mes anterior a su cálculo.
Artículo 2. Unificación del Costo por Restricciones y Servicios Asociados con Generación, ( ). Los costos por restricciones y servicios asociados con generación, se determinarán a partir de la ponderación por energía de los costos resultantes de aplicar lo dispuesto en el Artículo 13 de la Resolución CREG 119 de 2007. La ponderación se realizará con las ventas efectuadas por los Comercializadores Minoristas sujetos a integración, con destino a usuarios regulados y no regulados, en el mes anterior a su cálculo.
Artículo 3. Unificación de los Costos Variables de Comercialización en el periodo de transición ( ). Los costos variables de comercialización que se determinan conformen el Artículo 12 de la Resolución CREG 119 de 2007, se unificarán con los siguientes criterios:
a. El nuevo costo base de comercialización se determinará conforme lo dispuesto en el Artículo 5 de la Resolución CREG 068 de 1998.
b. El Consumo Facturado Medio , corresponderá al total de los kWh vendidos a los usuarios regulados por los Comercializadores Minoristas que hacen parte de la integración, dividido entre el total de facturas expedidas a estos usuarios, sin considerar las debidas a errores de facturación, todo lo anterior para el año t-1 del que trata el Artículo 12 de la Resolución CREG 119 de 2007.
c. Los costos mensuales correspondientes a los Costos de los servicios del Centro Nacional de Despacho y ASIC, ( ), así como el Costo de las Contribuciones a las Entidades de Regulación y Control ( ) se determinarán respectivamente, como la sumatoria de los costos que por estos conceptos correspondan a cada Comercializador Minorista que hace parte de la integración, en el mes anterior al de cálculo.
d. La variable corresponderá a la sumatoria de las ventas realizadas a usuarios finales, regulados y no regulados de cada uno de los Comercializadores Minoristas que hacen parte de la integración, en el mes anterior a su cálculo.
Artículo 4. Periodo de aplicación. Una vez la integración tenga efecto, conforme el Artículo 7 de la Resolución CREG 068 de 1998, los costos que resulten de aplicar lo dispuesto en la presente resolución, serán únicos para todos los usuarios del mercado resultante de la integración.
Artículo 5. Aplicación de las normas sobre subsidios y contribuciones: Una vez el Comercializador Minorista determine el costo máximo trasladable de prestación del servicio de electricidad con base tanto en lo aquí dispuesto como en la fórmula de costos establecida en la Resolución CREG 119 de 2007, se aplicarán las disposiciones sobre subsidios y contribuciones para efectos de determinar la tarifa.
Artículo 6º. Vigencia. La presente resolución rige a partir de la fecha de su publicación en el Diario Oficial y modifica el Artículo 3º. de la Resolución CREG 068 de 1998 y el literal a del artículo 1º. de la Resolución CREG 018 de 2008.
PUBLÍQUESE Y CÚMPLASE
Dada en Bogotá, D. C., el día 05 DIC. 2008
MANUEL MAIGUASHCA OLANO | HERNÁN MOLINA VALENCIA |
Viceministro de Minas y Energía | Director Ejecutivo |
Delegado del Ministro de Minas y Energía
Presidente |  |
|
Doble click sobre el archivo anexo para bajarlo(Resoluciones CREG) |
Doble click sobre el archivo anexo para bajarlo(Documento CREG) |
|