| Publicación Diario Oficial No.: | , el día: |
| Publicada en la WEB CREG el: | |
| RESOLUCIÓN No.052 ( 19 JUN. 2003 )
Por la cual se aprueban el Costo Anual por el uso de los Activos del Nivel de Tensión 4 y el Costo Anual de los Activos de Conexión al Sistema de Transmisión Nacional (STN) de los Sistemas de Transmisión Regional (STR), y los Cargos Máximos de los Niveles de Tensión 3, 2 y 1 del Sistema de Distribución Local (SDL), operados por CENTRALES ELÉCTRICAS DEL NORTE DE SANTANDER S. A. E.S.P.
Ver: Ley 143-94
Artículo 11
Artículo 23, lits. c y d
Artículo 41
Recurso de Reposición: Resolución CREG 085-03
Sobre el Mismo Tema Ver: Resolución CREG 082-02
Resolución CREG 032-03

b) Costo anual para remunerar los activos de conexión al STN y de los Niveles de Tensión 4, 3 y 2, aplicando los criterios de eficiencia de que trata el Anexo No 8 de la Resolución CREG 082 de 2002 y los aprobados mediante Resolución CREG 030 de 2003:
c) Los niveles de pérdidas en cada Nivel de Tensión que se reconocen en cada año del período tarifario:

Que a partir de las curvas de carga típicas por Nivel de Tensión presentadas por el OR en la solicitud de aprobación de cargos, la Comisión calculó, siguiendo las disposiciones del Anexo No 9 de la Resolución CREG 082 de 2002, los factores multiplicadores que permiten establecer los Cargos Monomios Horarios a partir de los Cargos Monomios correspondientes;
Que la Comisión, aprobó la Resolución CREG 032 de 2003 mediante la cual se establece la segunda etapa de transición para la aplicación de los Cargos por Uso de los Sistemas de Transmisión Regional y de Distribución Local aprobados a los Operadores de Red de que tratan las Resoluciones CREG 063 y 082 de 2002, en cumplimiento del Decreto 1407 de 2002;
Que la Comisión, en Sesión No 215 del día 19 de junio de 2003, aprobó el Costo Anual por el uso de los Activos del Nivel de Tensión 4, el Costo Anual de los Activos de Conexión al STN, y los Cargos Máximos de los niveles de tensión 3, 2 y 1 de los STR y SDL operados por CENTRALES ELÉCTRICAS DEL NORTE DE SANTANDER S. A. E.S.P., así como la gradualidad tarifaria aplicable a la empresa.
RESUELVE:
Artículo 1. Costo Anual por el uso de los activos del Nivel de Tensión 4. El Costo Anual por el uso de los activos del Nivel de Tensión 4 operados por CENTRALES ELÉCTRICAS DEL NORTE DE SANTANDER S. A. E.S.P. será el siguiente:

Modificado: Resolución CREG 085-03 Artículo 2
Artículo 2. Costo Anual de los Activos de Conexión al Sistema de Transmisión Nacional - STN. El Costo Anual de los Activos de Conexión al STN operados por CENTRALES ELÉCTRICAS DEL NORTE DE SANTANDER S. A. E.S.P. será el siguiente:
Artículo 3. Cargos Máximos de los niveles de tensión 3 y 2. Los Cargos Máximos de los niveles de tensión 3 y 2, en valores monomios del sistema operado por CENTRALES ELÉCTRICAS DEL NORTE DE SANTANDER S. A. E.S.P., en cada año del período tarifario, serán los siguientes, en pesos colombianos de diciembre de 2001:
Parágrafo. De conformidad con lo establecido en el Numeral 2 del Anexo No 4 de la Resolución CREG 082 de 2002, los Cargos Máximos de que trata el presente Artículo serán liquidados y facturados por el OR a cada uno de los Comercializadores que atienden Usuarios Finales conectados a su sistema en los niveles de tensión 3 y 2, y a los OR que tomen energía de su sistema en los mismos niveles de tensión. Estos cargos serán igualmente liquidados y facturados respecto de la demanda de los usuarios de Nivel de Tensión 1 referida al Nivel de Tensión 3 o 2, según el caso, como se deriva de lo establecido en el literal d. numeral 4 del Anexo No 4 de la Resolución CREG 082 de 2002.
Concordancia: Resolución CREG 082-02 Anexo 4, Num. 2
Resolución CREG 082-02 Anexo 4, Num. 4, lit. d
Artículo 4. Cargos Máximos del Nivel de Tensión 1. Los Cargos Máximos del Nivel de Tensión 1 del sistema operado por CENTRALES ELÉCTRICAS DEL NORTE DE SANTANDER S. A. E.S.P., en cada año del período tarifario, serán los siguientes, en pesos colombianos de diciembre de 2001:
Artículo 5. Aplicación de los Cargos Máximos. Los cargos máximos de que tratan los artículos 3 y 4 de la presente resolución constituyen topes máximos, razón por la cual el Operador de Red podrá aplicar cargos inferiores siempre y cuando cumplan con los criterios tarifarios de ley.
Concordancia: Artículo 3 y Artículo 4
Artículo 6. Cargos Monomios Horarios. Para el cálculo de los Cargos Monomios Horarios, se deberán utilizar los factores multiplicadores y períodos de carga que se presentan a continuación:

Parágrafo 1. Los Cargos Monomios Horarios resultan de la multiplicación del Cargo Monomio por el factor asociado a cada período de carga del Nivel de Tensión respectivo.
Parágrafo 2. Cuando el comportamiento de la demanda varíe de forma significativa, el Operador de Red podrá solicitar a la CREG la modificación de los factores y períodos aprobados en este Artículo, justificando dicha solicitud, e informando de la misma a la Superintendencia de Servicios Públicos Domiciliarios.
Parágrafo 3. Los Cargos Máximos Horarios resultantes de la aplicación del presente Artículo, serán liquidados y facturados por CENTRALES ELÉCTRICAS DEL NORTE DE SANTANDER S. A. E.S.P. a los Operadores de Red o a los comercializadores que atienden usuarios conectados al sistema que opera, cuando los OR o usuarios respectivos cuenten con medición horaria. En caso de que no exista medición horaria, se deberán aplicar los Cargos Monomios.
Artículo 7. Factores de Pérdidas. Los factores para referir las medidas de energía al STN y los usados para referir las medidas de energía en el Nivel de Tensión 1 a los niveles de tensión 3 y 2, de que trata el Anexo No 10 de la Resolución CREG 082 de 2002 y que aplican en el sistema operado por CENTRALES ELÉCTRICAS DEL NORTE DE SANTANDER S. A. E.S.P. son:
a) Factores para referir las medidas de energía al STN:
b) Factores para referir las medidas en el Nivel de Tensión 1 a los niveles de tensión 2 y 3:
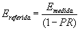
Parágrafo. Los factores de que trata el presente Artículo se aplicarán de acuerdo con la siguiente expresión:
donde:
Ereferida: Energía referida al STN o a los niveles de tensión 3 o 2, según sea el caso.
Emedida: Energía registrada en el equipo de medida
PR: Factor para referir las medidas de energía al STN o a los niveles de tensión 3 o 2, según sea el caso, y que se presentan en este Artículo.
Concordancia: Resolución CREG 082-02 Anexo 10
Artículo 8. Segunda Etapa de la Transición Tarifaria Para dar cumplimiento a lo establecido en la Resolución CREG 032 de 2003 se establecen los siguientes parámetros para CENTRALES ELÉCTRICAS DEL NORTE DE SANTANDER S. A. E.S.P., en cuanto a la gradualidad en la aplicación del Cargo Máximo de Nivel de Tensión 2 establecida en el numeral 3 del Artículo 2 de dicha Resolución:
- Cargo de transición para el primer mes de aplicación del Cargo Máximo de Nivel de Tensión 2 aprobado en esta Resolución: 38.4623 $/kWh (pesos de diciembre de 2001).
- Porcentaje de incremento mensual: 0.0 %, en términos reales.
- Plazo: 12 meses.
Modificado: Resolución CREG 085-03 Artículo 5
Resolución CREG 032-03 Artículo 2, Num. 3
Artículo 9. Vigencia. De conformidad con lo previsto por el artículo 13º de la Resolución CREG 082 de 2002, los cargos y valores aprobados en esta Resolución estarán vigentes desde la fecha en que quede en firme esta Resolución y se aplicarán a partir del mes siguiente, conforme a lo dispuesto en el lit. c) numeral 1. del anexo 2 de la Resolución CREG 082 de 2002 y hasta el 31 de diciembre del año 2007. Vencido su período de vigencia, continuarán rigiendo hasta que la Comisión apruebe los nuevos.
Concordancia: Resolución CREG 082-02 Artículo 13
Concordancia: Resolución CREG 082-02 Anexo 2. Num. 1, lit. c
Artículo 10.. Recursos. La presente Resolución deberá notificarse a CENTRALES ELÉCTRICAS DEL NORTE DE SANTANDER S. A. E.S.P. Contra lo dispuesto en este acto procede el recurso de reposición, el cual se podrá interponer ante la Dirección Ejecutiva de la CREG dentro de los cinco (5) días hábiles siguientes a la fecha de su notificación.
Publicada en el Diario Oficial No.45.252 del 18 de julio de 2003
NOTIFÍQUESE, PUBLÍQUESE Y CÚMPLASE,
Dada en Bogotá, a los 19 JUN. 2003
LUIS ERNESTO MEJÍA CASTRO | JAIME ALBERTO BLANDÓN DÍAZ |
Ministro de Minas y Energía | Director Ejecutivo |
Presidente |  |
|
Doble click sobre el archivo anexo para bajarlo(Resoluciones CREG) |
Doble click sobre el archivo anexo para bajarlo(Documento CREG) |
|