| Publicación Diario Oficial No.: | , el día: |
| Publicada en la WEB CREG el: | |
Resolución 077 de 1997
(11 de abril)
Por la cual se aprueba la fórmula general que permite determinar el costo de prestación del servicio y la fórmula tarifaria para establecer las tarifas aplicables a los usuarios del servicio de electricidad en las Zonas No Interconectadas (ZNI) del territorio nacional.
Notas de Vigencia: - Resolución derogada por el artículo 47 de la Resolución 91 de 2007, publicada en el Diario Oficial No. 46.881 de 24 de enero de 2008, "Por la cual se establecen las metodologías generales para remunerar las actividades de generación, distribución y comercialización de energía eléctrica, y las fórmulas tarifarias generales para establecer el costo unitario de prestación del servicio público de energía eléctrica en Zonas No Interconectadas"
- Modificada por la Resolución 112 de 2001, publicada en el Diario Oficial No. 44.542, de Septiembre 5 de 2001, "por la cual se identifican los Indices de Precios contenidos en las Fórmulas Tarifarias para los servicios públicos domiciliarios de energía eléctrica y gas combustible, para efectos de lo dispuesto en el artículo 125 de la Ley 142 de 1994"
- Modificada por la Resolución 17 de 1998, "Por la cual se amplía el ámbito de aplicación de la Resolución CREG-077 del 11 de abril de 1997, se adicionan pautas para el cálculo del costo de prestación del servicio y se aclara la aplicación de los costos máximos establecidos en la Resolución CREG-082 de 1997." |
LA COMISIÓN DE REGULACIÓN DE ENERGÍA Y GAS
en ejercicio de sus atribuciones legales, en especial las conferidas por las Leyes 142 y 143 de 1994, y en desarrollo de los decretos 1524 y 2253 de 1994, y
CONSIDERANDO:
1. Que de acuerdo con los Artículos 73 de la Ley 142 de 1994 y 23 de la Ley 143 de 1994, es función de la Comisión de Regulación de Energía y Gas establecer las fórmulas para la fijación de tarifas aplicables a los usuarios del servicio de electricidad;
2. Que la Comisión expidió la Resolución CREG - 114 el 28 de Noviembre de 1996, modificada por la Resolución CREG - 029 del 18 de marzo de 1997, por la cual se estableció el procedimiento para establecer la metodología para el cálculo del costo de prestación del servicio (CPS) de energía eléctrica y la fórmula para determinar las tarifas aplicables en las Zonas No interconectadas (ZNI) del territorio nacional y dio inicio al trámite respectivo;
3. Que la Comisión solicitó a los prestadores del servicio de las zonas no interconectadas (ZNI) del territorio nacional, observaciones sobre la metodología planteada para establecer los costos de prestación del servicio en dichas zonas; y citó a los usuarios y terceros interesados por medio de un periódico de circulación nacional, para que se hicieran parte de esta actuación administrativa;
4. Que la mayoría de los prestadores del servicio no enviaron información sobre costos ni presentaron las observaciones;
5. Que en desarrollo de la Resolución CREG - 114 de 1996, se recibieron observaciones y recomendaciones escritas del ICEL y de un ciudadano. Tales observaciones se refieren a la posibilidad de establecer estructuras de costos diferenciales para prestadores del servicio de características especiales y para las empresas recientemente creadas; promover una reforma de las leyes 142 y 143 de 1994, dadas las condiciones técnicas y socio económicas de las áreas no interconectadas; definir las responsabilidades por el servicio de alumbrado público; hacer explícita la obligación de todos los usuarios de pagar el servicio; incluir opciones tarifarias que den flexibilidad al prestador del servicio para el cobro del mismo y permitir que los aportes de entidades públicas puedan trasladarse como subsidios a los usuarios con posibilidad legal de recibirlos;
6. Que analizadas tales observaciones la Comisión encontró que:
a) La sugerencia de promover un marco legal que tenga en cuenta las características de las zonas no interconectadas del territorio nacional y las condiciones de prestación del servicio en tales áreas, coincide con los resultados del estudio adelantado por la Comisión y que sirvió de base para adoptar esta resolución, razón por la cual presentará al Gobierno Nacional una propuesta en tal sentido;
b) Las responsabilidades por la prestación del servicio de alumbrado público han sido fijados por la ley no corresponde a las materias a que se refiere esta resolución;
c) La obligación de que los usuarios deben pagar por el servicio corresponde a un mandato legal, que se reitera en esta resolución;
d) La medición del consumo puede efectuarse por diversos medios autorizados por la Ley 142 de 1994, lo cual es asunto diferente a las opciones tarifarias;
e) Finalmente, los aportes de entidades estatales, aunque están previstos en el Artículo 87, Numeral 9o de la Ley 142 de 1994, la CREG no es la autoridad competente para autorizar los aportes que efectúen las entidades territoriales ni para definir las condiciones en las cuales se efectúan, asuntos que solo la entidad aportante puede determinar, conforme a la ley;
RESUELVE:
Artículo 1o. Definiciones. Para efectos de la aplicación de la presente Resolución, además de las definiciones contenidas en las Leyes 142 y 143 de 1994, se tendrán en cuenta las siguientes:
Consumo básico o de subsistencia: Es la cantidad mínima de energía eléctrica utilizada en un mes por un usuario típico para satisfacer necesidades básicas que puedan ser satisfechas eficiente y económicamente, mediante esta forma de energía final. El nivel del consumo básico será el determinado por la Ley. Actualmente es de 200 kWh por mes de acuerdo con la Ley 188 de 1995. Este consumo es la base para el otorgamiento de los subsidios a los usuarios de los estratos 1, 2 y 3, tal como se precisa en el Anexo 2 de la presente Resolución.
El consumo de subsistencia aquí previsto tiene únicamente fines tarifarios, sin perjuicio de la competencia del Ministerio de Minas y Energía para efectos de identificación y asignación de subsidios.
Contribución: Suma que el usuario paga al comercializador por encima del costo del servicio, destinada a financiar subsidios, según las normas pertinentes.
Costo de prestación del servicio (CPS): Es un costo máximo monomio que resulta de calcular, la suma de todos los costos económicos de eficiencia en que incurre el prestador del servicio para suministrar una unidad de energía, no afectado por subsidios ni contribuciones y sobre el cual se calcula el valor de la factura al usuario.
7
Prestador de servicio : Para efectos de las normas contenidas en la presente Resolución es toda persona natural o jurídica que presta el servicio de electricidad en una Zona No Interconectada (ZNI), de acuerdo con lo previsto en la Ley.
Subsidio: Diferencia entre lo que el usuario paga por el servicio y el costo de éste, cuando tal costo es mayor al pago que realiza el usuario.
Tarifa: Es el valor unitario que puede cobrar el prestador del servicio a los usuarios de electricidad, que resulta de aplicar al Costo de Prestación del Servicio (CPS), las contribuciones y subsidios previstos en la Resolución 115 de 1996.
Zona no Interconectada (ZNI): Área geográfica en donde no se presta el servicio público de electricidad a través del Sistema Interconectado Nacional.
Artículo 2o. Ambito de aplicación. Esta Resolución se aplica a las siguientes personas o entidades que presten el servicio público de electricidad en las Zonas No Interconectadas (ZNI), con base en generación térmica:
a) Los municipios que prestan directamente el servicio.
b) Las empresas de servicios públicos.
c) Las demás contempladas en el Artículo 15 de la Ley 142 de 1994
Artículo 3o. Fórmula general de costos de prestación del servicio (CPS). Apruébase la fórmula general de costos contenida en el Anexo 1 de la presente Resolución. Con base en tal fórmula, la Comisión de Regulación de Energía y Gas en resolución separada, establecerá los costos máximos de prestación del servicio en las Zonas no Interconectadas del territorio nacional, aplicables a los usuarios finales.
Artículo 4o. Estructura tarifaria. Los prestadores del servicio de energía eléctrica podrán cobrar a sus usuarios finales, los siguientes cargos:
a) Un cargo por unidad de consumo, de acuerdo con las disposiciones establecidas en el Numeral 1o del Anexo 2 de esta resolución.
b) Un cargo de conexión que cubrirá los costos de la conexión. Este cargo se cobrará por una sola vez, de acuerdo con las disposiciones establecidas en el Numeral 2o del Anexo 2 de esta resolución.
c) Un cargo mínimo por disponibilidad del servicio, a que se refiere el numeral 1.2 del Anexo 2 de esta resolución.
Artículo 5o. Fórmulas tarifarias. Apruébase la fórmula tarifaria contenida en el Anexo 2 de la presente Resolución, mediante la cual los prestadores del servicio de electricidad en las Zonas no Interconectadas del territorio nacional, deberán establecer las tarifas por consumo que aplicarán a los usuarios finales del servicio.
Artículo 6o. Vigencia de la fórmula general de costos y de la fórmula tarifaria. La fórmula general de costos y la fórmula tarifaria, tendrán una vigencia de cinco (5) años contados a partir del primero (1o) de agosto de 1997.
Parágrafo 1o. La fórmula general de costos y la fórmula tarifaria, podrán modificarse o revocarse, en las condiciones y conforme al procedimiento previsto por las leyes.
Parágrafo 2o. Vencido el período de vigencia de las fórmulas, continuarán rigiendo, mientras la Comisión de Regulación de Energía y Gas no fije las nuevas.
Artículo 7o. Régimen de Libertad Regulada. Las tarifas exigibles a los usuarios finales en las ZNI, se someterán al régimen de libertad regulada definido en el Numeral 10o del Artículo 14o de la ley 142 de 1994, en el Artículo 11o de la Ley 143 de 1994 y en esta Resolución, a partir de la fecha en que entre a regir la fórmula general de costos, la estructura tarifaria y la fórmula tarifaria.
En todo caso, toda persona que preste el servicio público de electricidad, bajo el ámbito de aplicación de esta Resolución, se sujetará a los costos máximos de prestación del servicio que la Comisión determinará en resolución separada.
Cada vez que los prestadores del servicio modifiquen los costos de prestación del servicio por debajo del costo máximo autorizado, deberán comunicar los nuevos valores a la Superintendencia de Servicios Públicos Domiciliarios, sin perjuicio de las demás obligaciones que, en materia de información, les exige la ley.
Artículo 8o. Transición cuando se realiza interconexión. El prestador del servicio de energía eléctrica en una Zona No Interconectada (ZNI), cuyo sistema eléctrico se integre físicamente al Sistema Interconectado Nacional, tendrá un plazo de seis (6) meses, contados a partir de la ocurrencia de la interconexión, para presentar ante la CREG la solicitud de aprobación del Costo Base de Comercialización, según lo previsto en la Resolución CREG-031 de 1997. Hasta tanto la CREG apruebe ese costo, el prestador del servicio continuará sujeto a la fórmula general de costos, la estructura tarifaria y la fórmula tarifaria señalados en la presente Resolución.
Artículo 9o. Pago del servicio. De acuerdo con lo dispuesto en el Artículo 99 de la Ley 142 de 1994, los prestadores del servicio de electricidad en las ZNI, no podrán exonerar del pago del servicio a ningún usuario, sea éste persona natural o jurídica.
Artículo 10o. Vigencia de esta resolución. La presente Resolución rige a partir del 1o de agosto de 1997, deberá publicarse en el Diario Oficial y deroga las disposiciones que le sean contrarias, en especial la Resolución CREG-114 de 1996.
Publicada en el Diario Oficial No. 43.039 de mayo 13 de1996 |
PUBLÍQUESE Y CÚMPLASE
Dado en Santafé de Bogotá a los 11 días del mes de Abril de 1997.
 | RODRIGO VILLAMIZAR A.
Ministro de Minas y Energía
Presidente | EDUARDO AFANADOR I
Director Ejecutivo |
El costo anual de inversión en generación calculado para el año 0, CIG0, se obtiene teniendo en cuenta los siguientes conceptos:
a) Valor total de la inversión en generación a precios de reposición, expresado en pesos de diciembre del año base. Incluye el valor de las plantas y demás equipos requeridos para la generación, así como sus costos de transporte y seguros hasta el sitio de instalación, y sus costos de montaje y puesta en servicio. Se asume una vida útil para las plantas de cincuenta mil (50,000) horas de servicio.
b) Factor de recuperación anual de la inversión en generación, teniendo en cuenta la vida útil de las plantas y la tasa de oportunidad del capital. Dicha tasa se fija en el 9% anual, en términos reales y antes de impuestos.
En los costos mencionados en los literales anteriores, no se consideran los aportes recibidos de entidades públicas, como bienes o derechos.
1.2. Costo anual de administración, operación y mantenimiento de la actividad de generación para el año 0, CAOMG0
El costo anual de administración, operación y mantenimiento de la actividad de generación para el año 0, CAOMG0, se obtiene teniendo en cuenta los siguientes conceptos:
a) Costo anual de todo el personal dedicado a esta actividad, incluyendo sueldos y prestaciones legales, expresado en pesos de diciembre del año base .
b) Otros costos administrativos anuales tales como arriendos, seguros, impuestos, contribuciones, elementos de oficina, papelería, servicios públicos tales como acueducto, aseo y telecomunicaciones etc., asignables a esta actividad, expresados en pesos del año base.
c) Costo anual de operación, correspondiente al costo del combustible durante el año base, expresado en pesos de diciembre de dicho año.
d) Costo anual de mantenimiento calculado con información del año base, expresado en pesos de diciembre de dicho año. Incluye los costos de repuestos, filtros, lubricantes y demás elementos requeridos para el mantenimiento de las plantas de generación.
e) Una vez obtenidos los costos anuales de administración y mantenimiento, la CREG establece un límite máximo equivalente al 120% del costo promedio obtenido a partir de la información disponible.
1.3. Costo anual de inversión en distribución y comercialización para el año 0, CIDC0
El costo anual de inversión en distribución y comercialización calculado para el año 0, CIDC0, se obtiene teniendo en cuenta los siguientes conceptos:
a) Valor total de la inversión en la distribución y comercialización de la energía, a precios de reposición, expresado en pesos de diciembre del año base. Comprende el costo anual de las inversiones en las redes desde las salidas de las plantas hasta las acometidas a los usuarios, sin incluir el valor de tales acometidas. Incluye el valor de todos los elementos de las redes como postes, cables y herrajes, transformadores y accesorios. Deberá tomarse una vida útil de veintidós (22) años para las redes.
b) Factor de recuperación anual de la inversión en distribución, el cual depende de la vida útil de las redes y de la tasa de oportunidad del capital. Dicha tasa se establece en el 9% anual, en términos reales y antes de impuestos.
c) Costo anual de inversión en el año base de otros activos fijos requeridos para la prestación del servicio. Se calcula como la suma de los costos anuales de depreciación de edificios, casetas, vehículos, equipos de oficina y cómputo, y demás activos fijos requeridos para la prestación del servicio, expresados en pesos de diciembre del año base.
En los costos mencionados en los numerales anteriores, no se consideran los aportes recibidos de entidades públicas, como bienes o derechos.
1.4. Costo anual de administración, operación y mantenimiento de las actividades de distribución y comercialización para el año 0, CAOMDC0
El costo anual de administración, operación y mantenimiento de las actividades de distribución y comercialización para el año 0, CAOMDC0, se obtiene teniendo en cuenta los siguientes conceptos:
a) Costo anual de todo el personal dedicado a estas actividades, incluyendo sueldos y prestaciones legales, expresado en pesos de diciembre del año base.
b) Otros costos administrativos anuales tales como arriendos, seguros, impuestos, contribuciones, elementos de oficina, papelería, servicios públicos tales como acueducto, aseo y telecomunicaciones etc., asignables a estas actividades, expresados en pesos de diciembre del año base.
c) Costo anual de lectura de medidores, facturación, entrega, recaudo, recuperación de cartera, atención de usuarios y todos los demás costos asociados con las actividades comerciales del servicio, expresado en pesos de diciembre del año base.
d) Costo anual de mantenimiento calculado con información del año base, expresado en pesos de diciembre de dicho año. Incluye los costos de cables, fusibles, postes, aisladores, reparación de transformadores, y demás costos de mantenimiento del sistema de distribución.
e) Una vez obtenidos los costos anuales de administración y mantenimiento, se establece un límite máximo equivalente al 120% del costo promedio obtenido a partir de la información disponible.
 | RODRIGO VILLAMIZAR A.
Ministro de Minas y Energía
Presidente | EDUARDO AFANADOR I
Director Ejecutivo |
ANEXO 2 TARIFAS y OTROS COBROS
1. FÓRMULA TARIFARIA
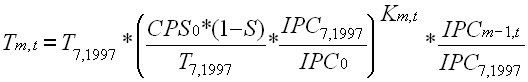
Los prestadores del servicio aplicarán la siguiente fórmula tarifaria, con el fin de establecer las tarifas que pueden cobrar a los usuarios finales del servicio:

en $/kWh
donde:
Tm,t Tarifa aplicable a los consumos del mes m del año t.
T7,1997 Tarifa aplicada por el prestador del servicio en el mes de julio de 1997.
CPS0 Costo Máximo de Prestación del Servicio que apruebe la CREG, expresado en $/kWh del mes de diciembre del año base.
IPC7,1997 Indice de precios al consumidor del mes de julio de 1997, publicado por el DANE.
IPCm-1,t Indice de precios al consumidor del mes m-1 del año t, publicado por el DANE.
IPC0 Indicie de precios al consumidor del mes de diciembre del año base, publicado por el DANE.
S: Subsidio o Contribución Máximos, de acuerdo con lo dispuesto por la Resolución CREG-115 de 1996, tal como se indica en la siguiente tabla:
TIPO DE USUARIO | S
Consumo Mensual < 200 kWh-Mes | S
Consumo Mensual > 200 kWh-Mes |
| Estrato 1 | 0.50 | 0.00 |
| Estrato 2 | 0.40 | 0.00 |
| Estrato 3 | 0.15 | 0.00 |
| Estrato 4 y Oficial | 0.00 | 0.00 |
| Estrato 5, Estrato 6, Comercial e Industrial | -0.20 * | -0.20 * |
* : Valor Negativo
Km,t Desmonte de Subsidios aplicables durante el mes m del año t, de acuerdo con lo dispuesto por la Resolución CREG-115 de 1996, tal como se indica con la siguiente tabla:
TIPO DE USUARIO | Estratos 1, 2 y 3
Consumo Mensual <200 kWh-Mes | Estratos 1, 2 y 3
Consumo Mensual 200 kWh-Mes |
Agosto - Diciembre
1997 | | |
Enero - Diciembre
1998 | | |
Enero - Diciembre
1999 | | |
Enero - Diciembre
2000 | | |
donde m es el mes y varía entre 1 y 12.
Para los usuarios restantes: Estratos 4, 5 y 6, Oficial, Comercial e Industrial, Km,t = 1.00.
Así mismo, Km,t = 1.00 para todos los usuarios y todos los consumos a partir del 1o de Enero del año 2001.
1.1. Actualización
Para efectos tarifarios, la tarifa por consumo (Tm,t), definida en el presente numeral, se actualizará cada vez que ésta acumule una variación de por lo menos el tres por ciento (3%) mensual en el IPC, conforme a lo dispuesto en el artículo 125 de la ley 142 de 1994. Cada vez que el IPC acumule una variación de por lo menos un tres por ciento (3%) mensual, se podrá modificar la tarifa por consumo.
1.2. Cargo Mínimo por Disponibilidad del Servicio
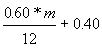
Los prestadores del servicio de electricidad en ZNI podrán aplicar un cargo mínimo (CMm,t) a cualquier usuario, residencial o no-residencial, por concepto de costos fijos de atención de clientela (CC0). El CC0 del año base será aprobado por la CREG en resolución separada. El CMm,t se establecerá por factura y se actualizará mediante la siguiente expresión:

donde:
IPCm-1,t Indice de precios al consumidor del mes m-1 del año t, publicado por el DANE.
IPC0 Indice de precios al consumidor del mes de diciembre del año base, publicado por el DANE.
La aplicación del cargo mínimo por disponibilidad del servicio (CMm,t), está condicionada a que el número de kWh vendidos por la empresa en el período de facturación anterior al que se va a facturar, se reduzca en más del 20% con respecto al promedio de las ventas de los tres períodos de facturación anteriores al mismo.
Cumplida esta condición, el Cargo Mínimo por Disponibilidad del servicio (CMm,t) se podrá cobrar a los usuarios, únicamente cuando la liquidación de los consumos del usuario sea inferior a dicho cargo mínimo, caso en el cual la aplicación de este cobro reemplaza la liquidación de los consumos del usuario.
2. TARIFA DE CONEXION
2.1. TARIFA DE CONEXIÓN PARA EL SECTOR RESIDENCIAL
La tarifa o valor máximo que se puede cobrar por la conexión de los usuarios del sector residencial a la red, incluye un valor máximo por la acometida y un valor máximo por el medidor que serán fijados por la CREG en resolución separada. Esta tarifa será cobrada por una sola vez y no incluye los costos de la red interna de cada inmueble.
El usuario podrá contratar los trabajos de acometida y suministro del medidor con cualquier persona que cumpla con los requisitos técnicos exigidos por el prestador del servicio (los cuales deben ser acordes con las normas técnicas aplicables). Si tales servicios los presta un tercero, el prestador del servicio de comercialización de electricidad no podrá efectuar cobro alguno por tales conceptos.
2.2. TARIFA DE CONEXIÓN PARA EL SECTOR NO-RESIDENCIAL
El valor de conexión para los usuarios del sector no-residencial corresponderá a la cotización que para tal efecto realice el prestador del servicio. Dicha cotización deberá corresponder al costo real en que incurre el prestador del servicio para realizar la conexión por concepto del costo de los materiales, la mano de obra y del medidor, sin perjuicio de lo dispuesto en el segundo inciso del numeral anterior.
2.3. FINANCIAMIENTO DE LA CONEXIÓN
De acuerdo con el Artículo 97 de la Ley 142 de 1994, el prestador del servicio deberá ofrecer a los usuarios residenciales de los estratos 1, 2 y 3 la opción de otorgarles un financiamiento no inferior a 36 meses.
2.4. SUBSIDIOS A LA CONEXIÓN
Los usuarios residenciales de los estratos 1, 2 y 3 podrán recibir los subsidios provenientes del municipio, el Departamento o la Nación de que trata el Artículo 97 de la Ley 142 de 1994.
2.5. ACTUALIZACIÓN DE LA TARIFA DE CONEXIÓN
La tarifa de conexión aplicable a los usuarios residenciales, se actualizará el 1o de enero de cada año, aplicando la variación del índice de precios al consumidor (IPC) publicado por el DANE, del año inmediatamente anterior.
 | RODRIGO VILLAMIZAR A.
Ministro de Minas y Energía
Presidente | EDUARDO AFANADOR I
Director Ejecutivo |
|
Doble click sobre el archivo anexo para bajarlo(Resoluciones CREG) |
Doble click sobre el archivo anexo para bajarlo(Documento CREG) |
|