| Publicación Diario Oficial No.: | 47.621, el día:12/February/2010 |
| Publicada en la WEB CREG el: | 12/February/2010 |
| RESOLUCIÓN No. 011 ( 12 FEB. 2010 )
Por la cual se modifican parcialmente las Resoluciones CREG 024 de 1995 y 051 de 2009, sobre funcionamiento del Mercado de Energía Mayorista
LA COMISIÓN DE REGULACIÓN DE ENERGÍA Y GAS
En ejercicio de sus atribuciones legales, en especial de las conferidas por las Leyes 142 y 143 de 1994, y en desarrollo de los Decretos 1524 y 2253 de 1994, y
C O N S I D E R A N D O Q U E:
De acuerdo con lo establecido en el literal c) del artículo 74.1 de la ley 142 de 1994, le corresponde a la CREG establecer el Reglamento de Operación, para regular el funcionamiento del Mercado Mayorista.
Mediante la Resolución CREG-001 de 2010, la Comisión publicó para comentarios, observaciones y sugerencias, un proyecto de resolución con el fin de “modificar la Resolución CREG-137 de 2009”.
Teniendo en cuenta los comentarios recibidos a la Resolución CREG-001 de 2010, se consideró conveniente revisar la forma en que se establece la remuneración de la generación para las plantas térmicas en los periodos horarios en los que se encuentra inflexible y su inclusión en el Despacho Ideal.
Los análisis efectuados por la Comisión están contenidos en el Documento CREG-005 de 2010.
La Comisión, en su Sesión 440, del 5 de febrero de 2010, acordó expedir una resolución para modificar las resoluciones CREG-024 de 1995 y 051 de 2009, lo cual se hizo a través de la resolución CREG-008 de 2010, cuya vigencia, según su Artículo 5, quedó condicionada a la expedición de una resolución final, razón por la cual no ha entrado a regir.
Se analizaron los comentarios presentados a la resolución CREG-008 de 2010 y se introdujeron los ajustes pertinentes, tal como está contenido en el Documento CREG-010 de 2010.
De conformidad con lo establecido en el parágrafo del Artículo 9 del Decreto 2696 de 2004 y el numeral 3 del artículo 2 de la Resolución CREG-097 de 2004, la Comisión decidió por unanimidad que la presente Resolución no estará sometida a las disposiciones sobre publicidad de proyectos de regulación previstas en el Decreto, por razones de oportunidad, teniendo en cuenta las condiciones de generación real que está presentando la generación térmica.
La Comisión de Regulación de Energía y Gas, en su Sesión 443, del 12 de febrero de 2010, acordó expedir esta resolución.
R E S U E L V E:
ARTÍCULO 1. Modificación del Numeral 1.1.1.1 (“Determinación del Despacho Ideal”) del Anexo A de la Resolución CREG-024 de 1995. El Numeral 1.1.1.1. del Anexo A de la Resolución CREG-024 de 1995 quedará así:
“1.1.1.1. Determinación del Despacho Ideal
El Despacho Ideal considerará las ofertas de precio en la Bolsa de Energía y de precio de arranque-parada de los generadores térmicos, las ofertas de precio en la Bolsa de Energía de los generadores hidráulicos y los Precios de oferta en el Nodo Frontera para exportación del país exportador. A estos últimos se les debe adicionar los cargos asignados al transporte desde el Nodo frontera hasta el STN, si son del caso; el Costo Equivalente Real de Energía del Cargo por Confiabilidad; y los cargos propios de los generadores en el mercado colombiano, necesarios para atender la demanda total para cada una de las horas del día en proceso. Para el caso de una importación, la disponibilidad comercial será considerada con un valor igual al de la importación real. Los precios considerados deberán tener en cuenta el resultado de la aplicación de la regla de desempate aplicada para el Despacho Programado.
El Despacho Ideal será uno para el día, comprenderá los 24 períodos horarios y se determinará por medio del programa de Despacho Económico, el cual se ejecutará todos los días, con posterioridad a la operación real del sistema. Para cumplir con las características técnicas de las plantas o unidades térmicas, las condiciones iniciales del Despacho Ideal para el día t tendrán en cuenta las condiciones con las que finalizó el Despacho Real del día t-1; no tendrá en cuenta las restricciones en el Sistema Interconectado Nacional para atender la demanda total del sistema; y se efectuará con la disponibilidad comercial calculada en el SIC. El programa de despacho resultante, denominado Despacho Ideal, determinará los recursos disponibles de menor precio requeridos para atender la demanda total, sin considerar las restricciones del Sistema de Transmisión Nacional (STN), de los Sistemas de Transmisión Regional (STR) y la de los Sistemas de Distribución Local (SDL), existentes en la operación, y considerando las características técnicas de las unidades utilizadas en el despacho económico ejecutado para la operación real del sistema.
El Despacho Ideal será tal que:
Sujeto a estas restricciones:
Características Técnicas
donde:
i Indexa a los Generadores
t Indexa las Horas del Día
Q Generación
Pof Oferta de Precio en la Bolsa de Energía
Par Oferta de Precio de arranque-parada de plantas térmicas que arrancan según el Despacho Ideal
D Demanda”.
Artículo 2. Modificación del Anexo A-4 (“Función Precio en la Bolsa de Energía”) de la Resolución CREG-024 de 1995. El Anexo A-4 de la Resolución CREG-024 de 1995 quedará así:
FUNCIÓN Precio en la Bolsa de Energía – SICPREC
Con esta función se calcularán los Precios en la Bolsa de Energía a partir del Despacho Ideal, estableciendo un precio único para cada mercado según la demanda que se atienda: Demanda Total Doméstica, Demanda Total Doméstica más Demanda Internacional de Despacho Económico Coordinado, y Demanda Total Doméstica más Demanda Internacional de Despacho Económico Coordinado más Demanda No Doméstica, en cada período horario, sin considerar los precios de oferta de plantas inflexibles.
EN LA FUNCIÓN SICPREC SE REALIZARÁN LOS SIGUIENTES PROCESOS:
Identificación de plantas inflexibles: En la declaración del día anterior al despacho, cada generador notificará las inflexibilidades en la operación de sus unidades generadoras. Sin embargo, durante el proceso de ejecución de la programación, pueden aparecer inflexibilidades adicionales, las cuales pueden ocurrir porque una unidad puede estar programada en tal forma que es incapaz de cambiar su generación para suministrar demanda adicional incremental (variación positiva o negativa) al sistema y por lo tanto no entrará en el cálculo de los Precios en la Bolsa de Energía, excepto cuando la unidad esté programada en su disponibilidad declarada o comercial, según el caso, y la misma pueda tener una variación negativa.
Determinación del Precio en la Bolsa de Energía: Para determinar los Precios en la Bolsa de Energía se procederá en la siguiente forma:
a. Se tomará la generación del Despacho Ideal para la atención de la Demanda Total Doméstica más la Demanda Internacional de Despacho Económico Coordinado más la Demanda No Doméstica.
b. Con los resultados del literal a., para cada hora se ordenarán las plantas despachadas de acuerdo con las ofertas de precios a la Bolsa de Energía de menor a mayor.
c. El Máximo Precio Ofertado horario, MPO, para el mercado internacional (Demanda Internacional de Despacho Económico Coordinado más Demanda No Doméstica) y el mercado nacional (Demanda Total Doméstica) se determinará de la siguiente forma:
· Para el mercado que atiende Demanda Total Doméstica más Demanda Internacional de Despacho Económico Coordinado más Demanda No Doméstica el MPOK corresponderá al precio ofertado a la Bolsa de Energía de la última planta requerida para atender la Demanda Total Doméstica más Demanda Internacional de Despacho Económico Coordinado más Demanda No Doméstica, que no sea inflexible, resultante del ordenamiento planteado en el literal b.
· Para el mercado que atiende Demanda Total Doméstica más Demanda Internacional de Despacho Económico Coordinado MPOI corresponderá al precio ofertado a la Bolsa de Energía de la última planta requerida para atender la Demanda Total Doméstica más Demanda Internacional de Despacho Económico Coordinado, que no sea inflexible, resultante del ordenamiento planteado en el literal b.
· Para el mercado que atiende Demanda Total Doméstica el MPON se determina con el ordenamiento de las plantas del literal b. y se tomará el precio ofertado por la última planta requerida para atender la Demanda Total Doméstica, que no sea inflexible.
d. Se determinarán los valores adicionales (∆I) para los mercados nacionales e internacionales de la siguiente forma:
· Para atención de la Demanda Total Doméstica, el Valor Adicional para la Demanda Total Doméstica (∆IN) se calculará conforme a la siguiente ecuación:



DN,i Demanda Total Doméstica en la hora i.
DFN,j Costos no cubiertos por concepto de arranque y parada de la planta j para atender Demanda Total Doméstica.
DIN,j Costos no cubiertos por concepto de generación ideal en condición inflexible de la planta j para atender Demanda Total Doméstica.
NP Número de plantas térmicas.
ParN,j,z Precios de oferta de arranque-parada z de la planta j que no genera en el ideal para la Demanda Internacional de Despacho Económico Coordinado y/o la Demanda No Doméstica en ninguna de las horas del día.
l Número de arranques de la planta j.
GFN,j,i Variable igual a 0 si la planta j es inflexible en la hora i, en caso contrario es igual a la Generación ideal de la planta j en la hora i para atender Demanda Total Doméstica.
MPON,i Máximo Precio de Oferta para atender la Demanda Total Doméstica en la hora i.
Pofj Precio ofertado a la Bolsa de Energía por la planta j.
GIN,j,i Si la planta j es inflexible en la hora i la variable es igual a la Generación ideal de la planta j en la hora i para atender Demanda Total Doméstica. En caso contrario es igual a 0.
RPj Precio de Reconciliación Positiva calculado para la planta j sin incluir los costos de arranque y parada.
· Para atención de la Demanda Internacional de Despacho Económico Coordinado y/o la Demanda No Doméstica, el Valor adicional para la Demanda Internacional de Despacho Económico Coordinado y/o la Demanda No Doméstica (∆II) se calculará conforme a la siguiente ecuación:



DI,i Demanda Internacional de Despacho Económico Coordinado más Demanda No Doméstica en la hora i.
DFI+K,j Costos no cubiertos por concepto de arranque y parada de la planta j para atender la Demanda Internacional de Despacho Económico Coordinado y la Demanda no Doméstica.
DII+K,j Costos no cubiertos por concepto de generación ideal en condición inflexible de la planta j para atender la Demanda Internacional de Despacho Económico Coordinado y la Demanda no Doméstica.
NP Número de plantas térmicas.
ParI+K,j,z Precios de oferta del arranque-parada z de la planta j que generan en el ideal en algún período para la Demanda Internacional de Despacho Económico Coordinado y/o la Demanda no Doméstica.
l Número de arranques de la planta j.
GFI,j,i Variable igual a 0 si la planta j es inflexible en la hora i, en caso contrario es igual a la Generación ideal de la planta j en la hora i para atender la Demanda Internacional de Despacho Económico Coordinado.
MPOI,i Máximo Precio de Oferta para atender Demanda Total Doméstica más la Demanda Internacional de Despacho Económico Coordinado en la hora i.
Pofj Precio ofertado a la Bolsa de Energía por la planta j.
GFK,j,i Variable igual a 0 si la planta j es inflexible en la hora i, en caso contrario es igual a la Generación ideal de la planta j en la hora i para atender la Demanda no Doméstica.
MPOK,i Máximo Precio de Oferta para atender Demanda Total Doméstica más la Demanda Internacional de Despacho Económico Coordinado más la Demanda no Doméstica en la hora i.
GII,j,i Si la planta j es inflexible en la hora i la variable es igual a la Generación ideal de la planta j en la hora i para atender la Demanda Internacional de Despacho Económico Coordinado. En caso contrario es igual a 0.
GIK,j,i Si la planta j es inflexible en la hora i la variable es igual a la Generación ideal de la planta j en la hora i para atender la Demanda no Doméstica. En caso contrario es igual a 0.
RPj Precio de Reconciliación Positiva calculado para la planta j sin incluir los costos de arranque y parada.
En el caso en que DI,i sea igual a cero, el Valor adicional para la Demanda Internacional de Despacho Económico Coordinado y/o la Demanda No Doméstica (∆II) será igual a cero.
e. Se determinará el Precio de Bolsa para cada mercado, de la siguiente forma:
o Para atender Demanda Total Doméstica, se aplicará la siguiente ecuación, para cada hora i:
o Para atender Demanda Internacional de Despacho Económico Coordinado, se aplicará la siguiente ecuación, para cada hora i:
o Para atender Demanda No Doméstica, se aplicará la siguiente ecuación, para cada hora i:

Donde:
PBN,i Precio en la Bolsa de Energía para la Demanda Total Doméstica en la hora i.
PBI,i Precio en la Bolsa de Energía para la Demanda Internacional de Despacho Económico Coordinado en la hora i.
PBK,i Precio en la Bolsa de Energía para la Demanda no Doméstica en la hora i.
MPON,i Máximo Precio Ofertado para la Demanda Total Doméstica en la hora i.
MPOI,i Máximo Precio Ofertado para Demanda Internacional de Despacho Económico Coordinado
MPOK,i Máximo Precio Ofertado para Demanda no Doméstica en la hora i.
∆IN Valor adicional para la Demanda Total.
∆II Valor adicional para la Demanda Internacional de Despacho Económico Coordinado y Demanda No Doméstica.
La oferta de precios en la Bolsa de Energía se hará de acuerdo con la Resolución CREG-055 de 1994 (o demás normas que la modifiquen o sustituyan). Sin embargo, para verificar si las cotizaciones de los generadores siguen el criterio definido en la resolución mencionada, la Comisión tomará en cuenta que los precios ofertados serán flexibles e incluirán el efecto de la incertidumbre y las diferencias de percepción de riesgos de los generadores.”
Artículo 3. Modificación del Artículo 9 de la Resolución CREG 051 de 2009: El Artículo 9 de la Resolución CREG051 de 2009, quedará así:
“ARTÍCULO 9. Ajustes a la liquidación en la Bolsa de Energía. Se aplicarán las siguientes reglas:
1. Valores a cargo de los generadores que salieron despachados
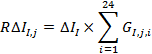
El valor a cargo de cada generador j despachado en el Despacho Ideal, será el que resulta de aplicar la siguiente expresión:
Donde:
R∆IN,j: Recaudo por Valor Adicional por atención de Demanda Total Doméstica a cargo del generador j.
R∆II,j: Recaudo por Valor Adicional por atención de Demanda Internacional de Despacho Económico Coordinado a cargo del generador j
R∆IK,j: Recaudo por Valor Adicional por atención de Demanda No Doméstica a cargo del generador j
∆IN: Valor adicional para la Demanda Total Doméstica.
∆II: Valor adicional para la Demanda Internacional de Despacho Económico Coordinado y/o la Demanda No Doméstica.
GN,j,i: Generación ideal de la planta j en la hora i para atender Demanda Total Doméstica.
GI,j,i: Generación ideal de la planta j en la hora i para atender Demanda Internacional de Despacho Económico Coordinado.
GK,j,i: Generación ideal de la planta j en la hora i para atender la Demanda No Doméstica.
2. Valores a favor de los generadores despachados
El valor a favor de cada generador despachado en el Despachado Ideal será calculado con la siguiente expresión:
Donde:
P∆Ij: Valor a favor del generador j.
DFN,j Costos no cubiertos por concepto de arranque y parada de la planta j para atender Demanda Total Doméstica.
DIN,j Costos no cubiertos por concepto de generación ideal en condición inflexible de la planta j para atender Demanda Total Doméstica.
DFI+K,j Costos no cubiertos por concepto de arranque y parada de la planta j para atender la Demanda Internacional de Despacho Económico Coordinado y la Demanda no Doméstica.
DII+K,j Costos no cubiertos por concepto de generación ideal en condición inflexible de la planta j para atender la Demanda Internacional de Despacho Económico Coordinado y la Demanda no Doméstica.
Según se definen en el Anexo A 4 de la Resolución CREG 024 de 1995.”
Artículo 4. Vigencia Esta Resolución rige a partir de la fecha de su publicación en el Diario Oficial, sustituye la Resolución CREG-008 de 2010 y deroga la Resolución CREG-158 de 2008 y las demás disposiciones que le sean contrarias.
PUBLÍQUESE Y CÚMPLASE
Dada en Bogotá, D.C. a 12 FEB. 2010
SILVANA GIAIMO CHÁVEZ | HERNÁN MOLINA VALENCIA |
Viceministra de Minas y Energía | Director Ejecutivo |
Delegada del Ministro de Minas y Energía
Presidente |  |
|
Doble click sobre el archivo anexo para bajarlo(Resoluciones CREG) |
Doble click sobre el archivo anexo para bajarlo(Documento CREG) |
|