| Publicación Diario Oficial No.: | , el día: |
| Publicada en la WEB CREG el: | |
| Resolución 004 de 1997 (15 de enero)
Por la cual se corrigen errores tipográficos de las resoluciones 112 y 113 de diciembre de 1996 expedidas por la CREG.
LA COMISION DE REGULACION DE ENERGIA Y GAS
en ejercicio de sus atribuciones legales, en especial las conferidas por las Leyes 142 y 143 de 1994, y los Decretos 1524 y 2253 de 1994, y
CONSIDERANDO:
Que en las Resoluciones CREG-112 y CREG-113 de 1996 se han encontrado fórmulas que presentan errores tipográficos;
Que los errores tipográficos pueden ocasionar interpretaciones equivocadas, por lo que se hace necesario corregirlos;
RESUELVE:
Artículo 1º. Costos de compra de energía reconocidos. El numeral 2.1 del Anexo A de la Resolución CREG-112 de 1996 dispone: “Costo de Comercialización correspondiente al año a, de acuerdo con lo establecido en el numeral 3 de este Anexo...” y la cita debió hacerse al numeral 2.6 del anexo, en consecuencia dicho numeral 2.1 quedará así:
2.1 Costos de compra de energía reconocidos.
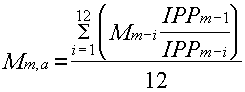
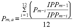
Los costos de compra de energía reconocidos están dados por la fórmula:
Con,
donde:
Pm,a: Costo promedio mensual ($/kWh) de las transacciones propias en el mercado mayorista con destino al mercado regulado, considerando tanto contratos como bolsa de energía.
Mm,a: Costo Promedio Mensual ($/kWh) de las transacciones en el mercado mayorista .
_: Factor de ponderación definido por CREG e igual a 0.9.
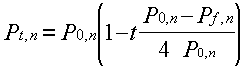
_: Factor de ponderación de Pm,a , dado por la expresión:
donde:
Ca: Costo de Comercialización correspondiente al año a, de acuerdo con lo establecido en el numeral 2.6 de este Anexo, expresado en $/kWh.
IPR1,a: Indice de pérdidas reconocido al nivel de baja tensión, correspondiente al año a.
Pa-1: Costo promedio de las compras propias, correspondiente al año anterior.
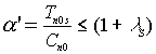
Artículo 2º. Pérdidas Reconocidas. En la fórmula del Anexo de la Resolución CREG-112 de 1996, referente a las pérdidas reconocidas y que aparece bajo el numeral 2.5, no se incluyó el factor “P0,n” que debe ir en el denominador después de “4”, en consecuencia dicha fórmula quedará así :
Artículo 3º. Costos de comercialización reconocidos. En la fórmula del Anexo de la Resolución CREG-112 de 1996, referente a los costos de comercialización reconocidos y que aparece bajo el numeral 2.6 no se incluyó el factor “C0” que debe ir en el denominador después de “4”, en consecuencia dicha fórmula quedará así :
Artículo 5º. Tarifas Residenciales Estratos 5 y 6. En las fórmulas correspondientes a las tarifas residenciales para los usuarios de estratos 5 y 6, de que trata el Anexo III de la Resolución CREG-113 de 1996, faltó cerrar dos paréntesis, por lo cual dichas fórmulas quedarán así:
Si entonces,
Si entonces,
Artículo 6º. Tarifas No Residenciales. En las fórmulas correspondientes a las tarifas no residenciales, de que trata el Anexo IV de la Resolución CREG-113 de 1996 faltó cerrar dos paréntesis, por lo cual dichas fórmulas quedarán así:
Si entonces,
Si entonces,
Artículo 7º. Vigencia. Esta resolución rige a partir de la fecha de su publicación en el Diario Oficial, y deroga las disposiciones que le sean contrarias.
Publicada en el Diario Oficial No. 42.968 de 28 de Enero de 1997 |
PUBLIQUESE Y CUMPLASE,
Dada en Santa Fe de Bogotá, a los 15 días de Enero de 1997
 | RODRIGO VILLAMIZAR A.
Ministro de Minas y Energía
Presidente | EDUARDO AFANADOR IRIARTE
Director Ejecutivo |
|
Doble click sobre el archivo anexo para bajarlo(Resoluciones CREG) |
Doble click sobre el archivo anexo para bajarlo(Documento CREG) |
|