| Publicación Diario Oficial No.: | 47.082, el día:15/August/2008 |
| Publicada en la WEB CREG el: | 13/August/2008 |
| RESOLUCIÓN No.073 ( 10 JUL. 2008 )
Por la cual se ordena publicar un proyecto de resolución en donde se establecen los criterios para la remuneración de la actividad de Transporte del Gas Licuado del Petróleo (GLP) al Archipiélago de San Andrés, Providencia y Santa Catalina
LA COMISIÓN DE REGULACIÓN DE ENERGÍA Y GAS
En ejercicio de sus facultades legales, en especial de las conferidas por la Ley 142 de 1994 y en desarrollo de los Decretos 1524 y 2253 de 1994, y 2696 de 2004,
Que mediante Resolución 066 del 26 de septiembre de 2002, publicada en el Diario Oficial No. 44.977 del 26 de octubre del mismo año, la Comisión de Regulación de Energía y Gas sometió a consideración de los agentes, usuarios y terceros interesados las bases sobre las cuales se definirá la formula aplicable a las diferentes actividades de la prestación del servicio público domiciliario de GLP;
Que tal como se dispuso en el artículo 3 de la citada Resolución CREG 066 de 2002, con dicho acto se dio inicio al trámite tendiente a establecer la respectiva fórmula tarifaria;
Que el Artículo 15 del Decreto 2696 de 2004, establece que dicho decreto rige a partir de su publicación en el Diario Oficial y que las disposiciones contenidas en el artículo 11 del Capítulo III aplicarán a los procesos tarifarios que se inicien con posterioridad al 1º de enero de 2005;
Que el artículo 11 del Decreto 2696 de 2004 contiene reglas especiales para la adopción de fórmulas tarifarias, que regirán durante cinco (5) años de acuerdo con lo establecido en los artículos 126 y 127 de la Ley 142 de 1994;
Que no obstante el proceso tarifario de que trata la presente Resolución se inició con anterioridad al 1º de enero de 2005, por tanto no le son aplicables las disposiciones contenidas en el artículo 11 del capítulo III del Decreto Número 2696 del 24 de agosto de 2004, la Comisión con el propósito de garantizar la divulgación y participación de los usuarios, empresas y demás interesados, consideró aplicar algunas de las reglas especiales indicadas en las citadas disposiciones;
Que la Comisión de Regulación de Energía y Gas, en su sesión No. 379 del 10 de julio de 2008, fijó las siguientes reglas dentro del proceso tarifario de que trata esta resolución;
RESUELVE:
ARTÍCULO 1o. Objeto. Publíquese en la página Web de la Comisión el proyecto de resolución “Por la cual se adoptan los criterios para la remuneración de la actividad de transporte del Gas Licuado del Petróleo (GLP) al Archipiélago de San Andrés, Providencia y Santa Catalina”, contenido en el anexo a la presente resolución.
ARTÍCULO 2o. Presentación de comentarios, observaciones y sugerencias. Se invita a los agentes, usuarios, autoridades Locales Municipales y Departamentales competentes, a la Superintendencia de Servicios Públicos Domiciliarios y a los demás interesados, para que remitan sus observaciones o sugerencias sobre las propuestas contenidas en el proyecto de resolución adjunto y participen en las consultas públicas que se llevarán a cabo conforme a lo previsto en el Artículo 11, numeral 11.5 del Decreto 2696 de 2004.
ARTÍCULO 3o. Información. Infórmese en la página web la identificación de la dependencia administrativa y de las personas a quienes se podrá solicitar información sobre el proyecto y hacer llegar las observaciones, reparos o sugerencias y los demás aspectos previstos en el Artículo 11 del Decreto 2696 de 2004.
ARTÍCULO 4o. Vigencia. La presente Resolución deberá publicarse en el Diario Oficial y no deroga ni modifica disposiciones vigentes, por tratarse de un acto de trámite.
PUBLÍQUESE Y CÚMPLASE
Dada en Bogotá, D.C. 10 JUL. 2008
PROYECTO DE RESOLUCIÓN
Por la cual se adoptan los criterios para la remuneración de la actividad de Transporte del Gas Licuado del Petróleo (GLP) al Archipiélago de San Andrés, Providencia y Santa Catalina
LA COMISIÓN DE REGULACIÓN DE ENERGÍA Y GAS
En ejercicio de sus atribuciones constitucionales y legales, en especial las conferidas por las Leyes 142 de 1994, y en desarrollo de los Decretos 1524 y 2253 de 1994.
CONSIDERANDO :
Que de conformidad con lo establecido en el Artículo 14.28 de la Ley 142 de 1994 el Servicio Público Domiciliario de Gas Combustible "es el conjunto de actividades ordenadas a la distribución de gas combustible, por tubería u otro medio, desde un sitio de acopio de grandes volúmenes o desde un gasoducto central hasta la instalación de un consumidor final, incluyendo su conexión y medición. También se aplicará esta ley a las actividades complementarias de comercialización desde la producción y transporte de gas por un gasoducto principal, o por otros medios, desde el sitio de generación hasta aquel en donde se conecte a una red secundaria";
Que el Artículo 73.11 de la Ley 142 de 1994, atribuyó a la Comisión de Regulación de Energía y Gas, la competencia para establecer las fórmulas para la fijación de las tarifas del servicio público domiciliario de gas combustible;
Que de acuerdo con lo estipulado en el Artículo 74.1 de la Ley 142 de 1994, es función de la CREG "regular el ejercicio de las actividades de los sectores de energía y gas combustible para asegurar la disponibilidad de una oferta energética eficiente, propiciar la competencia en el sector de minas y energía y proponer la adopción de las medidas necesarias para impedir abusos de posición dominante y buscar la liberación gradual de los mercados hacia la libre competencia. La Comisión podrá adoptar reglas de comportamiento diferencial, según la posición de las empresas en el mercado";
Que el Artículo 87 de la Ley 142 de 1994, estableció los criterios bajo los cuales se debe definir el régimen tarifario de las empresas de servicios públicos;
Que el artículo 91 de la Ley 142 de 1994, dispuso que para establecer las fórmulas tarifarias se calculará por separado, cuando sea posible, una fórmula para cada una de las diversas etapas del servicio;
Que la CREG expidió la Resolución CREG 083 de 1997, por la cual se estableció la fórmula general de costos y las fórmulas tarifarias de las actividades de los comercializadores mayoristas y distribuidores de GLP;
Que por medio de la Resolución CREG 084 de 1997 se estableció la fórmula tarifaria por producto y transporte para los grandes comercializadores de GLP y se dictan otras disposiciones, modificada está mediante la Resolución CREG 144 de 1997;
Que mediante las Resoluciones CREG 110 y 144 de 1997 se pospuso hasta el primero de marzo de 1998 la fecha de aplicación, por primera vez, las fórmulas tarifarias establecida en las Resolución CREG 083 y 084 de 1997;
Que mediante Resolución CREG 131 de 1997 se fija la estructura de precios máximos al público de los gases licuados del petróleo (GLP) para la isla de San Andrés incluido los valores relacionados con impuestos, márgenes de comercialización y distribución, transporte y manejo desde la planta de almacenamiento. Así mismo, se establece que para las localidades ubicadas en las islas de Providencia y Santa Catalina, los precios del GLP serán fijados por los distribuidores, adicionando el costo del transporte desde San Andrés;
Que la CREG por medio de la Resolución 035 de 1998, establece la tarifa estampilla nacional de transporte de GLP por ductos y complementa el artículo 4 de la Resolución CREG-084 de 1997, tal como quedó modificado por el artículo 2 de la Resolución CREG-144 de 1997, indicando que el cargo estampilla establecido en dicho artículo incluye la entrega del producto por parte del gran comercializador en la Isla de San Andrés;
Que mediante la Resolución CREG 038 de 1998 se establece los precios máximos al usuario en la isla de San Andrés, los cuales son iguales a los precios máximos en Terminal que aplican al GLP entregado en el territorio continental y se establece que en términos prácticos, San Andrés es un terminal de entrega de producto por parte del Gran Comercializador. Así mismo, se establece que Mientras el gran comercializador establece un sistema de transporte y manejo eficiente, los costos adicionales que se establecen en se actualizarán el 1º de marzo de cada año, utilizando la variación del índice de precios al consumidor total nacional reportado por el DANE, entre los meses de febrero del año de la actualización y el del año inmediatamente anterior;
Que la CREG a través de la Resolución CREG 052 de 2000 modifica el valor del componente Cargo Estampilla Base por Transporte (Eo), de la fórmula tarifaria aplicable al servicio Público domiciliario de Gases Licuados del Petróleo (GLP) establecido en la Resolución CREG-035 de 1998;
Que la CREG mediante Resolución CREG 012 de 2007 ordena publicar un proyecto de resolución para la adopción de los criterios generales para determinar la remuneración de la actividad de Transporte de los Gases Licuados del Petróleo (GLP) por ductos;
Que mediante Resolución CREG 030 de 2007 se publica el proyecto de resolución para la adopción de los criterios generales para determinar la remuneración de la actividad de Transporte de Gases Licuados del Petróleo (GLP) a la Isla de San Andrés;
Que mediante Radicado CREG-E-2007-008463 y considerando lo consignado en la Resolución CREG 030 de 2007, Ecopetrol realizó comentarios sobre el tema de transporte de GLP a la Isla de San Andrés;
Que la CREG realizó los estudios tendientes a definir y desarrollar un sistema de suministro eficiente de GLP en las Islas de San Andrés, Providencia y Santa Catalina;
Que el transporte del GLP desde el continente a la Isla de San Andrés actualmente se realiza a través de transporte marítimo y otros complementarios;
R E S U E L V E:
ARTÍCULO 1o. DEFINICIONES. Para la interpretación de esta Resolución se tendrán en cuenta las siguientes definiciones:
Fecha Base: Es la fecha de referencia que se tiene en cuenta para realizar los cálculos de costos que el Transportador presenta a la CREG en cada periodo tarifario y corresponderá al 31 de diciembre del año anterior al año de la solicitud tarifaria.
Iso-tanques o Iso- contenedores: Recipientes utilizados para transportar líquidos a granel y que tienen las mismas medidas externas e infraestructura, para su manipulación y movimiento, que un contenedor estándar.
Mercado de San Andrés: Conjunto de usuarios pertenecientes al Archipiélago de San Andrés, Providencia y Santa Catalina y para los cuales se establece el cargo de transporte para San Andrés.
Plazo de Implementación: Periodo durante el cual se realizarán las inversiones, contratos y adecuación de instalaciones, necesarios para poder comenzar a operar con el nuevo esquema previsto en la regulación. Este plazo no deberá exceder los seis (6) meses.
Punto de entrega: Punto físico localizado en la Isla de San Andrés en el cual se realiza la transferencia de custodia del producto del Transportador al Remitente.
Punto de Recibo: Es la conexión del punto de importación y/o producción del comercializador mayorista, en donde se hace transferencia de custodia del producto del Remitente al Transportador. Este estará ubicado en un Puerto marítimo del Continente Colombiano o de otro país.
Transportador: Empresa de servicios públicos domiciliarios, que realiza la actividad de transporte de GLP a la Isla de San Andrés. Este puede ser un transportador puro o estar integrado, con un Comercializador Mayorista o con un Distribuidor de la isla de San Andrés.
Transporte para San Andrés: Es la actividad complementaria del servicio público domiciliario de GLP que consiste en movilizar grandes cantidades de GLP a granel de forma marítima y terrestre, si se requiere, entre un Punto de Recibo y un Punto de Entrega del Transportador localizado en la Isla de San Andrés.
ARTÍCULO 2o. OBJETIVOS. La metodología que se aplicará para el cálculo de los cargos para el Transporte de GLP a la Isla de San Andrés tendrá en cuenta los siguientes objetivos:
- Asegurar la implementación de un sistema eficiente y seguro de transporte que lleve el GLP entre el continente y la Isla.
- Garantizar la continuidad de la prestación del servicio domiciliario de GLP al usuario final.
- Definir claramente las responsabilidades del transporte del GLP desde el continente ó desde otro país al Archipiélago.
- Reflejar en la remuneración los costos eficientes en que incurran las empresas por el transporte del GLP.
ARTÍCULO 3o. OBLIGACIONES DEL TRANSPORTADOR DE GLP A LA ISLA DE SAN ANDRÉS. Además del cumplimiento de las normas vigentes aplicables, el Transportador deberá cumplir con lo siguiente:
- Llevar a cabo todas las gestiones, negociaciones y demás actividades necesarias para realizar el transporte de GLP a la Isla de San Andrés.
- Realizar el transporte de GLP entre el Punto de recibo y San Andrés de acuerdo con las cantidades mínimas y máximas requeridas en una periodicidad establecida.
- Entregar de manera oportuna y confiable las cantidades de GLP garantizando la continuidad de suministro en las Islas.
- Cumplir con los requisitos de seguridad y calidad que se remuneran con el cargo de transporte. Así como los exigidos por autoridades competentes para el transporte de mercancías peligrosas.
ARTÍCULO 4o. METODOLOGÍA DE REMUNERACIÓN DE LA ACTIVIDAD DE TRANSPORTE DE GLP A LA ISLA DE SAN ANDRÉS. La actividad de Transporte de GLP a la Isla de San Andrés se remunerará con base en el cargo por uso aprobado por la CREG a partir de un costo medio, el cual se calculará a partir de los gastos de Administración, Operación y Mantenimiento (AOM), la Depreciación anual de las inversiones en activos de iso-tanques o iso-contenedores, tanques de almacenamiento, bombas y compresores y sistema de trasiego y la demanda de volumen del mercado de San Andrés, aplicando los criterios establecidos en la Ley 142 de 1994 y en esta Resolución.
ARTÍCULO 5o. GASTOS DE ADMINISTRACIÓN, OPERACIÓN Y MANTENIMIENTO (AOM), DEPRECIACIÓN Y TIEMPO DE IMPLEMENTACIÓN. El Transportador reportará los gastos de Administración, Operación y Mantenimiento (AOM) anuales a pesos de la Fecha Base y los valores de depreciación en activos correspondientes a iso-tanques o isocontenedores, tanques de almacenamiento, bombas y compresores y sistema de trasiego.
Sólo se considerará los gastos de AOM correspondientes a terrenos e inmuebles relacionados con la prestación de la actividad de transporte. De igual manera, se considerarán dentro de los gastos de AOM los costos relacionados con la operación del transporte a la Isla San Andrés, tales como: Costos de transporte marítimo o flete, Costos de Transporte Terrestre, Manipulación en puertos (Cargue y descargue), Uso de instalaciones portuarias, Bodegaje y Costos de trasiego. Los costos adicionales a estos deberán ser justificados y serán sujetos de evaluación por parte de la Comisión.
Para la presentación de estos costos el solicitante deberá incluir toda la información que lleve a determinar el costo por galón y por kilo, tal como: la capacidad, la cantidad de operaciones al mes y al año, el costo unitario y el costo total. Esta información deberá ser reportada tal y como se indica en el Anexo 1 de esta resolución.
También se deberá indicar el plazo de implementación del esquema presentado en la solicitud tarifaria, el cual no deberá exceder los seis (6) meses.
La CREG revisará cuidadosamente la información suministrada, la comparará con la información que reposa en esta Comisión, solicitará los soportes y hará los ajustes que considere convenientes.
Parágrafo1. Los gastos de AOM que correspondan al flete de transporte marítimo deberán soportarse con cotizaciones y luego de aprobados serán sujetos a un ajuste por combustible, tal y como se indica en el Artículo 9 de esta resolución.
Parágrafo 2. Los gastos de AOM no deben incluir erogaciones que no generen movimiento de efectivo, tales como depreciación; esta última se reportará por separado.
ARTÍCULO 6o. DEMANDA DE VOLUMEN. El Transportador reportará la demanda anual del mercado de San Andrés que incluye la necesaria para atender Providencia y Santa Catalina, correspondiente a los 12 meses anteriores a la Fecha Base. Esta información deberá ser reportada en kilogramos y en galones.
ARTÍCULO 7o. MARGEN DE TRANSPORTE. Sobre los costos anuales del Transportador se reconocerá un margen de transporte de 2.56%.
ARTÍCULO 8o. REPORTE DE INFORMACIÓN. Los Transportadores interesados someterán a consideración de la Comisión toda la información para que le sean fijados cargos de transporte. Para esto deberá reportar toda la información de gastos de AOM, depreciación y demanda tal y como esta descrita en los Artículos 5° y 6° de esta resolución, expresados en pesos de la Fecha Base.
Parágrafo 1: Las empresas interesadas en llevar a cabo la actividad del transporte del GLP a San Andrés, deberán presentar su solicitud a la CREG para la definición de cargos de transporte durante los siguientes tres meses de vigencia de la resolución que define la metodología.
Parágrafo 2: En el caso de recibirse más de una solicitud tarifaria, se evaluará cada una y se fijará el cargo para el mercado que más convenga en relación con costos, periodo de implementación y que brinde mejores condiciones de seguridad en el suministro.
ARTÍCULO 9o. CÁLCULO DEL CARGO PROMEDIO DE TRANSPORTE. La CREG aprobará un cargo medio que remunerara la inversión y los gastos de AOM. Para el cálculo del cargo medio se aplicará la siguiente fórmula:
En Donde:
| CUTSA | Cargo medio de transporte para el transporte de GLP a San Andrés ($Col/Kg). |
| AOM | Gastos de AOM eficientes fijados para un año, relacionados con el transporte a la isla. |
| DASA | Demanda de GLP (Kilogramos) fijada para un año correspondiente al mercado de San Andrés. |
 | Porcentaje de los gastos AOM que corresponde al costo de transporte marítimo, solicitado por el Transportador. |
| Depreciación | Depreciación reconocida para un año correspondiente a la inversión en activos |
| Mt | Margen por transporte, definido según el Artículo 7° de ésta Resolución. |
 | Promedio aritmético del índice en el semestre anterior |
 | Promedio aritmético del índice en el semestre anterior al anterior |
 | New York Residual Fuel Oil 1.0% Sulfur LP Spot Price, publicado por el Departamento de Energía de Estados Unidos (Energy Information Administration – www.ei.doe.gov |
ARTÍCULO 10o. REMUNERACIÓN DEL CARGO PROMEDIO DE TRANSPORTE. El cargo de transporte definido será remunerado en un porcentaje con la demanda de la isla y el resto con la demanda del continente, tal y como se indica en las siguientes fórmulas:
Cargo para la demanda del mercado de San Andrés:
Cargo estampilla a cubrirse con la demanda del continente
En donde:
| TSA= | Cargo medio de transporte para el transporte de GLP a San Andrés ($Col/kg) que es remunerado por la demanda de San Andrés. |
| %Y= | Porcentaje a ser cubierto con la demanda de San Andrés |
| Eco= | Cargo estampilla para el transporte a San Andrés ($Col/kg) que es remunerado por la demanda del continente. |
| Dco= | Demanda Anual de GLP del continente (kilogramos) |
| m= | Mes en el cual se realiza el calculo |
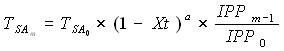
ARTÍCULO 11o. FÓRMULA DE ACTUALIZACIÓN DEL CARGO PROMEDIO DE GLP. El cargo promedio de transporte aprobado en resolución particular de la CREG estará expresado en pesos de la Fecha Base. El Transportador los actualizará mensualmente a partir de la Fecha Base de acuerdo con la variación del IPP, aplicando las siguientes fórmulas:
En donde:
| TSAm = | Cargo máximo de transporte para el transporte de GLP a San Andrés ($Col/Kg) que es remunerado por la demanda de San Andrés, expresado en pesos por kilogramo, correspondiente al mes m de prestación del servicio. |
| Ecom = | Cargo estampilla para el transporte a San Andrés ($Col/Kg,) que es remunerado por la demanda del Continente, expresado en pesos por kilogramo, correspondiente al mes m de prestación del servicio. |
| TSA0 = | Cargo máximo de transporte para el transporte de GLP a San Andrés ($Col/Kg) que es remunerado por la demanda del mercado de San Andrés, expresado en pesos por kilogramo de la Fecha Base. |
| ECO0 = | Cargo estampilla para el transporte a San Andrés ($Col/Kg) que es remunerado por la demanda del Continente, expresado en pesos por kilogramo de la Fecha Base |
| ∆Dmco = | Delta de la demanda mensual del continente en relación con la de la fecha base que se calcula así:

Donde:
| Dco0 = | Demanda Anual de GLP del continente correspondiente a la fecha base y dividida por 12 meses. |
| Dco(m-2) = | Demanda mensual de GLP del continente correspondiente al mes m-2. |
|
| IPPm-1 = | Índice de Precios al Productor Total Nacional para el mes m-1. |
| IPPo | Índice de Precios al Productor Total Nacional para la Fecha Base del cargo de transporte. |
| Xt | Factor de productividad mensual de la actividad de Transporte de GLP por ductos. Dicho factor iniciará en uno, el primer mes de la entrada en vigencia de cada resolución particular que establece cargos regulados. |
| a | Número de meses transcurridos desde la entrada en vigencia de la Resolución que establezca cargos regulados de transporte de GLP por ducto hasta el mes m. |
| m | Mes correspondiente a la fecha de cálculo. |
Parágrafo. Para las localidades ubicadas en las Islas de Providencia y Santa Catalina, los precios del GLP serán fijados por los distribuidores, adicionando a los precios establecidos el flete desde San Andrés.
ARTÍCULO 12O. VIGENCIA DE LOS CARGOS. Los cargos de Transporte para la Isla de San Andrés que apruebe la Comisión tendrán una vigencia de cinco (5) años, contados a partir de la entrada en vigencia de la resolución que los apruebe. Vencido este período, dichos cargos continuarán rigiendo hasta cuando la Comisión fije los nuevos.
ARTÍCULO 13O. ACTUACIÓN PARA LA DEFINICIÓN DEL CARGO DE TRANSPORTE DE GLP PARA LA ISLA DE SAN ANDRÉS. La empresa solicitará a la CREG la definición del cargo de transporte de acuerdo con el siguiente trámite:
a) Las empresas interesadas en llevar a cabo la actividad del transporte del GLP a San Andrés, deberán presentar su solicitud a la CREG para la definición de cargos de transporte dentro de los tres meses siguientes a la fecha de vigencia de esta resolución.
b) La empresa remitirá a la CREG la información señalada en el Artículo 5 del Código Contencioso Administrativo, y la demás información requerida según esta Resolución.
c) El Transportador deberá publicar en un diario de amplia circulación un resumen de la solicitud de cargos presentada a la Comisión, con el fin de que los terceros interesados puedan presentar ante la CREG observaciones sobre tal solicitud.
d) Después de recibida la solicitud con el cumplimiento de todos los requerimientos de información solicitados por la CREG, se aplicará la metodología respectiva, se definirá la propuesta de cargos por uso y se someterá a consideración de la Comisión la resolución definitiva, salvo que se requiera practicar pruebas, caso en el cual el término para la aprobación del cargo se suspenderá durante el trámite de las mismas.
e) Se aprobará el cargo para el mercado de San Andrés que tenga mejores condiciones en costos, plazo de implementación y seguridad de suministro.
ARTÍCULO 14o. DECISIÓN SOBRE APROBACIÓN DE CARGOS DE TRANSPORTE. Una vez se analice la información presentada por los transportadores, habiendo dado oportunidad a los interesados de ser oídos, y practicadas las pruebas a que hubiera lugar, de conformidad con la Ley, la Comisión procederá a aprobar el cargo de que trata el artículo 9° de la presente Resolución.
ARTÍCULO 15o. RECURSOS. De acuerdo con lo previsto por el artículo 113 de la Ley 142 de 1994, contra la decisión mediante la cual la Comisión apruebe los cargos, procede el recurso de reposición, el cual podrá interponerse ante la Dirección Ejecutiva de la Comisión, dentro de los cinco (5) días hábiles siguientes a la fecha en que sea notificada o publicada, según el caso.
ARTÍCULO 16o. VIGENCIA. La presente Resolución rige a partir de la fecha de su publicación en el Diario Oficial.
PUBLÍQUESE Y CÚMPLASE
Firmas del proyecto:
ANEXO 1
INFORMACIÓN DE DEPRECIACIÓN Y DE GASTOS AOM
Nota: Indicar Fecha base
En el reporte de información se deberá indicar el Plazo de Implementación del esquema de la solicitud, el cual no deberá exceder los (6) meses.
|
Doble click sobre el archivo anexo para bajarlo(Resoluciones CREG) |
Doble click sobre el archivo anexo para bajarlo(Documento CREG) |
|