| Publicación Diario Oficial No.: | , el día: |
| Publicada en la WEB CREG el: | |
Resolución No. 024 de 2001
Por la cual se establece la fórmula especial para incorporar en la fórmula tarifaria general aplicable a los pequeños consumidores de gas natural, el costo de las compras de gas diferente al no asociado (Gt).
Ver : Ley 142-94
Artículo 14.28
Artículo 73.11
Artículo 87
Sobre.el.Mismo.Tema.Ver : Resolución-CRG57-96
Donde:
= 0.75 a partir de diciembre de 2000
= El costo agregado de todo el gas asociado comprado, recibido y vendido en el año t ($) por el comercializador, sin incluir los costos de Transporte.
= La cantidad de gas asociado, facturada y vendida en el año t por el comercializador, incluyendo pequeños y grandes consumidores (m3). El comercializador deberá informar separadamente los volúmenes vendidos en el mercado de grandes consumidores y en el de pequeños consumidores.
= Costo Índice de Referencia para compras de gas asociado calculado por la CREG y determinado para el Interior, de acuerdo con el precio promedio de compra de gas asociado de todos los comercializadores de pequeños consumidores (m3).”
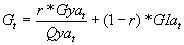
2. COSTO PROMEDIO MÁXIMO PARA COMPRAS COMBINADAS DE GAS NATURAL ASOCIADO Y NO ASOCIADO (Gt): Cuando el comercializador adquiera en forma combinada gas natural asociado y no asociado, el componente Gt de la fórmula tarifaria general se calculará de la siguiente manera:

Donde:
= 0.75 a partir de diciembre de 2000
= El costo agregado de todo el gas, tanto asociado como no asociado comprado, recibido y vendido en el año t($) por el comercializador, sin incluir los costos de Transporte.
= La cantidad total de gas, tanto asociado como no asociado, facturada y vendida en el año t por el comercializador, incluyendo pequeños y grandes consumidores.
= La cantidad de gas asociado, facturada y vendida en el año t por el comercializador, incluyendo pequeños y grandes consumidores (m3). El comercializador deberá informar separadamente los volúmenes vendidos en el mercado de grandes consumidores y en el de pequeños consumidores.
= La cantidad de gas no asociado facturada y vendida en el año t, por el comercializador, incluyendo pequeños y grandes consumidores (m3). El comercializador deberá informar separadamente los volúmenes vendidos en el mercado de grandes consumidores y en el de pequeños consumidores.
= Costo índice de referencia para compras de gas asociado calculado por la CREG y determinado para el interior, de acuerdo con el precio promedio de compra de gas asociado de todos los comercializadores de pequeños consumidores.
= Costo índice de referencia para compras de gas no asociado calculado por la CREG y determinado para el interior, de acuerdo con el precio promedio de compra de gas no asociado de todos los comercializadores de pequeños consumidores.”
Concordancia : Resolución CREG 057-96 Artículo 107, Numeral 1.1
ARTÍCULO 2o. VIGENCIA DE LAS FÓRMULAS. Las fórmulas contenidas en el Artículo anterior, regirán mientras se mantenga vigente la fórmula tarifaria establecida en la Resolución CREG-057 de 1996.
ARTÍCULO 3o. VIGENCIA DE LA PRESENTE RESOLUCIÓN. La presente Resolución rige a partir de la fecha de su publicación en el Diario Oficial, y deroga las disposiciones que le sean contrarias.
PUBLÍQUESE Y CÚMPLASE
Dada en Bogotá, D.C., el día
CARLOS CABALLERO ARGÁEZ | CARMENZA CHAHÍN ÁLVAREZ |
Ministro de Minas y Energía | Director Ejecutivo |
Presidente |  |
|
Doble click sobre el archivo anexo para bajarlo(Resoluciones CREG) |
Doble click sobre el archivo anexo para bajarlo(Documento CREG) |
|