| Publicación Diario Oficial No.: | , el día: |
| Publicada en la WEB CREG el: | |
Publicada en el Diario Oficial No. 45.401 del 14 de diciembre de 2003
Ver: Ley 142-94
Artículo 9.1
Artículo 14.28
Artículo 67.1
Artículo 73
Artículo 74.1
LA COMISIÓN DE REGULACIÓN DE ENERGÍA Y GAS
En ejercicio de sus facultades legales, en especial las conferidas por la Ley 142 de 1994 y de acuerdo con los Decretos 1524 y 2253 de 1994, y
C O N S I D E R A N D O :
Que de conformidad con lo establecido en el Artículo 14.28 de la Ley 142 de 1994 el Servicio Público Domiciliario de Gas Combustible "es el conjunto de actividades ordenadas a la distribución de gas combustible, por tubería u otro medio, desde un sitio de acopio de grandes volúmenes o desde un gasoducto central hasta la instalación de un consumidor final, incluyendo su conexión y medición. También se aplicará esta ley a las actividades complementarias de comercialización desde la producción y transporte de gas por un gasoducto principal, o por otros medios, desde el sitio de generación hasta aquel en donde se conecte a una red secundaria";
Que de acuerdo con lo estipulado en el Artículo 74.1 de la Ley 142 de 1994, es función de la CREG "regular el ejercicio de las actividades de los sectores de energía y gas combustible para asegurar la disponibilidad de una oferta energética eficiente, propiciar la competencia en el sector de minas y energía y proponer la adopción de las medidas necesarias para impedir abusos de posición dominante y buscar la liberación gradual de los mercados hacia la libre competencia. La Comisión podrá adoptar reglas de comportamiento diferencial, según la posición de las empresas en el mercado”;
Que el Artículo 73.4 de la Ley 142 de 1994 faculta a la CREG para “fijar las normas de calidad a las que deben ceñirse las empresas de Servicios Públicos en la prestación del servicio”;
Que el Artículo 73.5 de la Ley 142 de 1994 determina que corresponde a la CREG "definir en qué eventos es necesario que la realización de obras, instalación y operación de equipos de las empresas de servicios públicos se someta a normas técnicas oficiales, para promover la competencia o evitar perjuicios a terceros, y pedirle al ministerio respectivo que las elabore, cuando encuentre que son necesarias";
Que el Artículo 67.1 de la Ley 142 de 1994 establece que es función del Ministerio de Minas y Energía “Señalar los requisitos técnicos que deben cumplir las obras, equipos y procedimientos que utilicen las empresas de servicios públicos del sector, cuando la comisión respectiva haya resuelto por vía general que ese señalamiento es realmente necesario para garantizar la calidad del servicio, y que no implica restricción indebida a la competencia”;
Que el inciso final del Artículo 73 de la Ley 142 de 1994 confiere a la CREG la “facultad selectiva de pedir información, amplia, exacta, veraz y oportuna a quienes prestan los servicios públicos a los que esta Ley se refiere”;
Que en relación con el contrato de suministro, el Código de Comercio, Artículo 978, establece que “cuando la prestación que es objeto del suministro esté regulada por el Gobierno, el precio y las condiciones del contrato se sujetarán a los respectivos reglamentos”, y en su Artículo 979 que “las personas que presten servicios públicos o tengan un monopolio de hecho o de derecho no podrán suspender el suministro a los consumidores que no estén en mora, ni aún con preaviso, sin autorización del Gobierno”;
Que de conformidad con el Artículo 9.1 de la Ley 142 de 1994, los usuarios de los servicios públicos tienen derecho a “Obtener de las empresas la medición de sus consumos reales mediante instrumentos tecnológicos apropiados, dentro de plazos y términos que para los efectos fije la comisión reguladora”;
Que la CREG expidió la Resolución CREG-074 de 1996 “por la cual se regula el Servicio Público Domiciliario de gases licuados de petróleo GLP, y se dictan otras disposiciones”;
Que la CREG por Resolución CREG-009 de febrero de 2000, “somete a consideración de los agentes y terceros interesados el marco regulatorio para el Servicio Público de Gases Licuados de Petróleo – GLP y sus actividades complementarias”
Que la CREG por Resolución CREG 086 de 20 de noviembre de 2000, “somete a consideración de los agentes y terceros interesados, el marco regulatorio para el Servicio Público Domiciliario de Gas Licuado del Petróleo y sus actividades complementarias”;
Que mediante Resolución CREG 066 de 26 de septiembre de 2002, se sometió a consideración de los agentes, usuarios y terceros interesados las bases sobre las cuales se definirá la fórmula aplicable a las diferentes actividades de la prestación del Servicio Público Domiciliario de GLP, en la cual se proponen algunas modificaciones al marco regulatorio vigente;
Que la CREG estudió las observaciones generales formuladas a las Resoluciones CREG-009 y CREG-086 de 2000 y CREG-066 de 2002 las cuales han sido consideradas en el proceso de análisis para la definición del marco regulatorio.
Que la Comisión en adición a los estudios realizados por el grupo técnico y económico, y del estudio de Fase II, contrató diferentes asesorías con el objetivo de conformar esta propuesta regulatoria, como son Desarrollo de los Estándares de Calidad del Producto y del Servicio Público Domiciliario de GLP, Alternativas de Suministro de GLP a las Islas de San Andrés y Providencia, Alternativas para la Penetración de GLP en zonas rurales, entre otros.
Que el Artículo 21 de la Ley 689 de 2001, establece que “las empresas productoras, Distribuidoras, comercializadoras y Transportadoras del GLP serán responsables por la calidad y seguridad del servicio al consumidor final”;
Que es necesario efectuar ajustes al marco regulatorio vigente para promover la competencia entre las empresas prestadoras del Servicio Público Domiciliario de GLP y para que sus operaciones “sean económicamente eficientes, no impliquen abuso de la posición dominante y produzcan servicios de calidad” de conformidad con lo dispuesto en el Artículo 73 de la Ley 142 de 1994,;
Que el Artículo 74.1 literal a) de la Ley 142 de 1994 asigna a la CREG la función de “Regular el ejercicio de las actividades de los sectores de energía y gas combustible para asegurar la disponibilidad de una oferta energética eficiente, propiciar la competencia en el sector de minas y energía y proponer la adopción de las medidas necesarias para impedir abusos de posición dominante y buscar la liberación gradual de los mercados hacia la libre competencia. La comisión podrá adoptar reglas de comportamiento diferencial, según la posición de las empresas en el mercado.”
Que el Artículo 67.2 de la Ley 142 de 1994 establece que es función de los Ministerios en relación con los servicios públicos: “Elaborar máximo cada cinco años un plan de expansión de la cobertura del servicio público que debe tutelar el ministerio, en el que se determinen las inversiones públicas que deben realizarse, y las privadas que deben estimularse.”
Que el Artículo 8º de la Ley 388 de 1997 establece como una acción urbanística, desarrollada por las entidades municipales y distritales, la de clasificar el territorio en suelo urbano, rural y de expansión urbana..
Que la CREG, en su sesión No. 226 del 13 de noviembre de 2003 acordó someter a consideración de los agentes, usuarios y terceros interesados la Resolución que contiene la propuesta de marco regulatorio para el Servicio Público Domiciliario de Gas Licuado del Petróleo (GLP), con fundamento en los análisis que se indican en el Documento CREG-084 de 2003;
R E S U E L V E:
CAPÍTULO I
DEFINICIONES
ARTÍCULO 1º. Para efectos de la presente Resolución y de las demás normas regulatorias que desarrollen aspectos relacionados con el Servicio Público Domiciliario de Gas Licuado del Petróleo GLP o sus actividades complementarias, se aplicarán las siguientes definiciones:
Almacenador: Empresa de servicios públicos responsable de la prestación del servicio de almacenamiento de GLP a Grandes Comercializadores, Distribuidores y/o Transportadores, y a los Usuarios No Regulados que lo requieran. El almacenador podrá ubicar plantas de almacenamiento del sistema nacional de almacenamiento en cualquier sitio de la geografía nacional en respuesta a los requerimientos del mercado.
Almacenamiento: Actividad del Servicio Público Domiciliario de GLP que consiste en almacenar GLP. Cuando se utiliza para suplir las posibles restricciones de suministro asociadas con la Gran Comercialización del producto y con su Transporte, para garantizar la entrega oportuna y confiable del producto al Usuario Final se denominará Almacenamiento de Respaldo y será objeto de remuneración en la tarifa al Usuario Final.
Cilindro portátil: Recipiente utilizado en la prestación del servicio de Gas Licuado de Petróleo para el envase, traslado y entrega de GLP al Usuario Final y que por su tamaño y peso puede manejarse manualmente, sus características técnicas serán las establecidas en el Reglamento Técnico vigente expedido por el Ministerio de Minas y Energía.
Comercialización de GLP: Actividad consistente en la compra y venta de GLP.
Comercializador de GLP: Persona jurídica que se dedica a la comercialización de GLP.
Depósito de cilindros de GLP: Centro de acopio bajo la responsabilidad de un Distribuidor, destinado al almacenamiento de cilindros portátiles de GLP, para su posterior traslado y entrega a usuarios finales, a través de Expendios o a domicilio. Sus características técnicas deben corresponder a las establecidas en el Reglamento Técnico vigente expedido por el Ministerio de Minas y Energía.
Distribución-Comercialización de GLP: Actividad que incluye el envasado, el traslado y la entrega de GLP en cilindros portátiles, y/o el suministro de GLP en tanques estacionarios, y la comercialización a Usuario Final, desde un terminal en donde recibe el producto hasta la instalación de un consumidor final, incluyendo su conexión y medición, o a través de un expendio de cilindros portátiles o en un punto de venta autorizado. Esta actividad incluye además el flete a granel desde los terminales hasta las plantas de envasado, y el flete en cilindros desde las plantas de envasado hasta el municipio atendido. Cuando la distribución de GLP se realiza a través de redes locales de gasoductos está sujeta a la Resolución CREG 011 de 2003, o aquella que la modifique o sustituya.
Distribuidor-Comercializador de GLP: Es la empresa de servicios públicos domiciliarios que distribuye y comercializa GLP a usuarios finales. Para efectos de esta Resolución, se denominará como Distribuidor.
Expendio de Cilindros de GLP: Instalación bajo la responsabilidad de un Distribuidor, localizada en zonas rurales y destinada a la venta directa de cilindros portátiles de GLP a usuarios finales. Las características técnicas serán las establecidas en el Reglamento Técnico vigente expedido por el Ministerio de Minas y Energía.
Gas Licuado del Petróleo (GLP): Mezcla de hidrocarburos livianos constituida principalmente por mezclas de propano y butanos, que pueden variar desde el propano comercial hasta el butano comercial, que licua fácilmente por enfriamiento o compresión. Los requisitos mínimos de calidad que debe cumplir el GLP comercializado como gas combustible corresponden a los establecidos en la Norma Técnica Colombiana NTC 2303 o aquella que la modifique o sustituya.
Gran Comercialización de GLP: Actividad complementaria del Servicio Público Domiciliario de GLP que consiste en la Compra y Venta de GLP al por mayor y a granel como gas combustible, producido directamente o importado.
Gran Comercializador de GLP: Empresa de Servicios Públicos, salvo lo dispuesto en el Artículo 15.2 de la Ley 142 de 1994, que realiza la actividad de Gran Comercialización de GLP a Grandes Comercializadores, Distribuidores o Usuarios no Regulados de GLP.
Planta de Almacenamiento de Respaldo: Infraestructura física, ubicada en un Terminal, comprendida en un solo perímetro, que contiene como mínimo las instalaciones y facilidades establecidas en el Reglamento Técnico vigente expedido por el Ministerio de Minas y Energía y que cumple con las características técnicas allí establecidas, de la cual dispone un Almacenador para recibir GLP al por mayor, directamente o a través de un sistema de transporte.
Planta de Envasado: Infraestructura física comprendida en un solo perímetro, que contiene como mínimo las instalaciones y facilidades establecidas en el Reglamento Técnico vigente expedido por el Ministerio de Minas y Energía y que cumple con las características técnicas allí establecidas, de la cual dispone un Distribuidor para envasar GLP en cilindros portátiles y/o cargar carrotanques destinados a servir tanques estacionarios.
Punto de Recibo del Transportador: Punto físico en el cual existe una válvula de corte y un equipo de medición y se realiza la transferencia de custodia del producto del Gran Comercializador al Transportador
Punto de entrega del Transportador: Punto físico en el cual existe una válvula de corte y un equipo de medición y se realiza la transferencia de custodia del producto del Transportador al Almacenador.
Servicio Público Domiciliario de Gas Licuado del Petróleo: Conjunto de actividades ordenadas a la distribución de Gas Licuado del Petróleo (GLP) y todas sus actividades complementarias, reguladas por la Ley 142 de 1994, por la presente resolución y demás disposiciones que expida la CREG.
Sistema de Almacenamiento de Respaldo: Conjunto de plantas de almacenamiento de respaldo las cuales se remuneran en las tarifas establecidas por la CREG y se registran en el Sistema único de Información –SUI-.
Sistema de Infraestructura de Importación: Infraestructura física requerida para la importación de GLP, respecto de la cual se debe garantizar el libre acceso.
Sistema de Transporte: Conjunto de ductos, carrotanques u otros medios adecuados y equipados debidamente para realizar el transporte de GLP entre un Punto de Recibo y un Punto de Entrega del Transportador, los cuales se remuneran en las tarifas establecidas por la CREG y se deben registrarn en el SUI.
Tanque estacionario: Recipiente utilizado para almacenar GLP destinado a servir a un usuario o grupo de usuarios conectados al mismo, que permanece fijo en el sitio de emplazamiento donde es llenado de GLP, y cuyas características técnicas deben ser las establecidas en el Reglamento Técnico vigente expedido por el Ministerio de Minas y Energía.
Terminal. Punto geográfico en el que se realiza la transferencia de propiedad del producto del Gran Comercializador al Distribuidor.
Transportador: Empresa de servicios públicos domiciliarios salvo lo dispuesto en el Artículo 15.2 de la Ley 142 de 1994, que realiza la actividad de transporte de GLP.
Transporte: Actividad complementaria del Servicio Público Domiciliario de GLP que consiste en movilizar grandes cantidades de GLP a granel, entre un Punto de Recibo y un Punto de Entrega del Transportador.
Usuario: Es la persona natural o jurídica que se beneficia con la prestación del Servicio Público Domiciliario de GLP, bien como propietario del inmueble donde éste se presta, o como receptor directo del servicio, tal y como está definido en el artículo 14.33 de la Ley 142 de 1994.
Usuario no Regulado: Persona natural o jurídica, cuyo consumo promedio aritmético mensual de los últimos doce meses es igual o superior a 20.000 galones (40.000 kilogramos), y que por esta razón puede comprar GLP para su propio consumo a Grandes Comercializadores o Distribuidores a precios pactados libremente.
Usuario Regulado: Persona natural o jurídica usuaria del Servicio Público Domiciliario de GLP, cuyo precio de prestación del servicio está regulado por la CREG.
CAPÍTULO II
ASPECTOS GENERALES
ARTÍCULO 2º. Ámbito de Aplicación. Esta Resolución se aplica a todas las personas que desarrollan las actividades y a lo usuarios del Servicio Público Domiciliario de Gas Licuado del Petróleo, en los términos definidos en el Artículo 1o. de la presente Resolución.
ARTÍCULO 3º. Inicio de Actividades. De conformidad con el Artículo 11.8 de la Ley 142 de 1994, todas las personas que vayan a prestar el Servicio Público Domiciliario de GLP deben informar el inicio de sus actividades a la CREG, para lo cual deberán aportar, sin perjuicio de las demás obligaciones de registro que deban cumplir, la siguiente información en medio impreso:
a) Copia de los estatutos sociales.
b) Original del Certificado de Existencia y Representación Legal.
c) Copia de los Estados Financieros al momento de su constitución.
d) Composición accionaria de la empresa de acuerdo con los formatos establecidos para tal fin.
e) Listado de instalaciones y activos asociados con la prestación del servicio, reportados de acuerdo con los formatos establecidos para tal fin en el Sistema Único de Información.
f) Copia de los permisos otorgados por las autoridades municipales o distritales para cada instalación reportada, de conformidad con lo dispuesto en el Artículo 22 de la Ley 142 de 1994.
Parágrafo 1º. Para efectos del pago de la contribución especial de que trata el Artículo 85 de la Ley 142 de 1994, las empresas deberán reportar toda la información solicitada a través de los aplicativos del SUI diseñados para tal fin.
Parágrafo 2º. Las modificaciones de la información solicitada en este Artículo, deberán ser reportadas de manera inmediata a la CREG.
ARTÍCULO 4º. Libre Acceso a los Sistemas de Transporte, al Almacenamiento de Respaldo y a la Infraestructura de Importación. De conformidad con el Artículo 11.6 de la Ley 142 de 1994 y el Artículo 13 de la Ley 681 de 2001, es obligación de los propietarios y/o operadores de los sistemas de transporte, almacenamiento de respaldo e infraestructura de importación de GLP, facilitar el libre acceso de otros agentes a tales bienes, mediante el pago de los cargos por uso de las redes de transporte, almacenamiento de respaldo y de la infraestructura de importación establecidos por la CREG, según sea el caso.
Parágrafo 1o. Mientras la CREG define los cargos por uso de la infraestructura de importación, éstos serán acordados libremente entre las partes, para lo cual deberán tener en cuenta lo establecido en el Artículo 7º. de esta Resolución sobre prevención de abuso de posición dominante y protección a la competencia, o aplicarán los que establezca el Ministerio de Minas y Energía para la importación de combustibles líquidos. En todo caso, en los contratos que se celebren para el acceso a la infraestructura de importación deberá preverse una cláusula de ajuste regulatorio.
ARTÍCULO 5º. Separación de Actividades e Integración Horizontal y Vertical. A partir de la vigencia de esta Resolución, las empresas que realicen actividades relacionadas con el Servicio Público Domiciliario de GLP únicamente podrán desarrollar de manera integrada las actividades de Transporte y Almacenamiento de Respaldo, siempre y cuando mantengan contabilidad separada para cada una de ellas.
Parágrafo 1º. Las empresas Distribuidoras que a la fecha de vigencia de esta Resolución estuviesen integradas con Almacenadoras de Respaldo, podrán continuar integradas siempre y cuando mantengan contabilidades separadas y no incurran en alguna de las causales establecidas en el Artículo 73.13 de la Ley 142 de 1994 que motiven el ordenamiento de su escisión por parte de la CREG.
Parágrafo 2º. Únicamente la Empresa Colombiana de Petróleos, como Gran Comercializador, podrá desarrollar directamente de manera integrada la actividad de transporte de GLP a través del sistema de propanoductos y poliductos de su propiedad.
Parágrafo 3º. En Resolución aparte, la CREG establecerá límites de integración horizontal para la actividad de Distribución.
ARTÍCULO 6º. Prevención de Abuso de Posición Dominante y Protección a la Competencia. De conformidad con los Artículos 11.1 y 11.2 de la Ley 142 de 1994, las empresas prestadoras del Servicio Público Domiciliario de GLP tienen la obligación de asegurar que el servicio se preste sin abuso de la posición dominante que puedan tener frente a usuarios o terceros o frente a otros prestadores, y abstenerse de prácticas restrictivas de la competencia.
Las empresas no restringirán, distorsionarán o evitarán la competencia en las actividades del Servicio Público Domiciliario de GLP de acuerdo con normas como las contenidas en la Ley 155 de 1959, Decreto 2153 de 1992, y en las leyes 142 de 1994 y 256 de 1996, o aquellas que las modifiquen, complementen o sustituyan. Las empresas no podrán restringir la competencia ni abusar de su posición dominante, en la celebración de contratos, de acuerdo con lo previsto en los Artículos 34 y 133 de la Ley 142 de 1994.
ARTÍCULO 7º. Transparencia y Publicidad de las Tarifas. Las empresas prestadoras del servicio público de GLP deberán mantener a disposición de los usuarios y autoridades competentes, documentos en los que se indiquen las tarifas que cobran por sus servicios y sus componentes, de manera que sea posible estimar el costo de prestación del servicio.
Cada vez que las empresas reajusten las tarifas deberán publicarlas de manera simple y comprensible, señalando en forma independiente cada uno de los componentes que conforman la tarifa a Usuario Final, en un periódico de amplia circulación en los municipios donde presta el servicio o en uno de circulación nacional. Los nuevos valores deberán ser comunicados y enviados a la CREG y a la Superintendencia de Servicios Públicos Domiciliarios a través del aplicativo correspondiente en el SUI, para lo cual deberán adjuntar además copia de la publicación respectiva. Las empresas sólo podrán aplicar las modificaciones tarifarias para efectos de facturación a sus usuarios, una vez cumplan con los requisitos de publicación, comunicación y envío señalados en este Artículo.
Parágrafo. Cada empresa deberá realizar la publicación de que trata el presente Artículo en forma separada e independiente.
ARTÍCULO 8º. Información. De conformidad con el Artículo 73 de la Ley 142 de 1994, la Resolución CREG-064 de 1998 y demás normas que la modifiquen o sustituyan, las empresas prestadoras del Servicio Público Domiciliario de GLP deberán reportar de manera completa, veraz y oportuna la información que se solicite por medio del SUI, circulares generales o solicitudes individuales, a través de los aplicativos que se diseñen para tal fin.
ARTÍCULO 9º. Control. Las empresas prestadoras del Servicio Público Domiciliario de GLP están obligadas a facilitar el acceso a sus instalaciones de los funcionarios de los organismos oficiales de inspección, control y vigilancia, así como otras autoridades municipales o distritales, con el fin de comprobar el cumplimiento de lo establecido en la presente Resolución y demás normas expedidas por autoridades competentes.
ARTÍCULO 10º. Sanciones. El incumplimiento de las normas contenidas en esta Resolución y demás resoluciones relacionadas con la prestación del Servicio Público Domiciliario de GLP, se sancionará por parte de la autoridad competente, conforme a las previsiones establecidas en la legislación aplicable.
CAPÍTULO III
DE LAS OBLIGACIONES DE LOS AGENTES
ARTÍCULO 11º. Obligaciones Generales. Todos los agentes que realicen alguna de las actividades encaminadas a la prestación del Servicio Público Domiciliario de GLP, además del cumplimiento de las normas vigentes que les apliquen deberán:
a) Estar debidamente registrados ante la Superintendencia de Servicios Públicos Domiciliarios y ante la CREG.
b) Contar con los permisos otorgados por las autoridades competentes, de conformidad con lo dispuesto en el Artículo 22 de la Ley 142 de 1994.
c) Prestar el correspondiente servicio en forma continua, eficiente y segura.
d) Llevar registros contables que reflejen en forma confiable y fidedigna sus operaciones, de acuerdo con las normas expedidas por las autoridades competentes.
e) Cumplir con las normas establecidas por las autoridades competentes para la protección, la conservación o recuperación de los recursos naturales o ambientales que sean utilizados en sus actividades, especialmente en el manejo y disposición de residuos líquidos.
f) Cumplir con las reglamentaciones técnicas y de seguridad para la prestación del servicio, expedidas por las autoridades competentes.
g) Cumplir con la regulación de calidad del producto y del servicio definida por la CREG. La calidad del producto que se comercialice y distribuya como gas combustible deberá cumplir como mínimo con los requisitos establecidos en la Norma Técnica Colombiana NTC 2303 – Especificaciones para Gases Licuados del Petróleo-, o aquellas que la modifiquen o sustituyan.
h) Abstenerse de discriminar entre clientes y/o usuarios con características similares.
i) Aplicar el régimen tarifario establecido por la CREG para determinar los precios máximos de suministro y entrega de GLP.
j) Utilizar sistemas de medición confiables para la entrega de GLP, haciendo las correcciones por presión y temperatura en caso de ser necesarias.
k) Reportar de manera completa, oportuna y veraz la información requerida por las autoridades de regulación, control y vigilancia a través de los aplicativos que se diseñen para tal fin.
ARTÍCULO 12º. Obligaciones Específicas de los Grandes Comercializadores. Los grandes comercializadores, además de las obligaciones generales establecidas en el Artículo 11o de esta Resolución, deberán cumplir las siguientes obligaciones específicas:
a) Vender el GLP, a granel y al por mayor, a Distribuidores debidamente constituidos, a través de mecanismos que garanticen el libre acceso y la no discriminación de compradores, de acuerdo con las reglas sobre Comercialización que para el efecto expida la CREG.
b) Implementar un sistema de información electrónico a través de Internet, de acceso libre en línea y de carácter permanente. Este sistema debe disponer de información relacionada con el volumen de GLP contratado y el volumen disponible para comercialización en cada Terminal para los seis meses siguientes a la fecha de reporte y demás información que establezca la CREG.
c) Celebrar contratos escritos de suministro con los Distribuidores y Usuarios no Regulados, acordes con lo dispuesto en el Capítulo V de esta Resolución.
d) Vender GLP a Usuarios No Regulados a precios y condiciones acordadas libremente entre las partes.
e) Entregar de manera oportuna y confiable los volúmenes de GLP, de acuerdo con las condiciones pactadas en los contratos de suministro.
f) Respaldar el suministro de GLP a través de capacidad de almacenamiento.
Artículo 13º. Obligaciones Específicas de los Transportadores. Además del cumplimiento de las normas vigentes aplicables y de las obligaciones contenidas en el Artículo 11o de la presente Resolución, los Transportadores deberán cumplir con lo siguiente:
a) Celebrar contratos escritos de transporte con los Grandes Comercializadores, de conformidad con las disposiciones previstas en el Capítulo V de esta resolución.
b) Entregar de manera oportuna y confiable los volúmenes de GLP, de acuerdo con las condiciones pactadas en los contratos de transporte.
c) Respaldar contractualmente la entrega de GLP en Terminales a través de la capacidad de transporte o capacidad de almacenamiento. En este último caso y cuando el transporte se realice por ductos, la entrega oportuna y confiable no podrá respaldarse con almacenamiento operativo reconocido en la tarifa de transporte del ducto.
g) Implementar un sistema de información electrónico a través de Internet, de acceso libre en línea y de carácter permanente. Este sistema debe disponer de información relacionada con:
· Capacidad de transporte contratada discriminando modo de transporte y ruta pactada.
· Capacidad Disponible por modo de transporte y ruta, considerando las capacidades remuneradas en los cargos máximos aprobados.
· Volumen total transportado diariamente discriminando modo de transporte y ruta utilizada.
· Solicitudes del servicio, incluyendo volúmenes y rutas.
· Y demás información que establezca la CREG.
d) Los activos de transporte diferentes a ductos, deberán estar claramente identificados con la razón social, símbolo y un número telefónico de atención de emergencias.
Articulo 14º. Obligaciones Específicas de los Almacenadores. Además del cumplimiento de las normas vigentes aplicables, y de las obligaciones contenidas en el Artículo 11o de la presente Resolución, los Almacenadores deberán cumplir con lo siguiente:
a) Implementar un sistema de información electrónico a través de Internet, de acceso libre en línea y de carácter permanente. Este sistema debe disponer de información relacionada con:
· Capacidad Total de los activos de almacenamiento discriminados por terminal.
· Capacidad de almacenamiento contratada discriminada por terminal.
· Capacidad Disponible para contratar discriminada por terminal.
· Solicitudes del servicio por terminal.
· Y demás información que establezca la CREG.
b) Celebrar contratos escritos de almacenamiento con Grandes Comercializadores y/o Transportadores, según sea el caso, de conformidad con lo establecido en el Capítulo V de esta Resolución.
c) Mantener, por planta de almacenamiento, una póliza vigente de seguro de responsabilidad civil extracontractual, expedida por compañías de seguros establecidas legalmente en el país y de acuerdo con los reglamentos y normas de la Superintendencia Bancaria, que cubran los daños a terceros en sus bienes y personas originados por sus actividades. Esta póliza deberá cubrir, como mínimo, un monto de 800 salarios mínimos legales mensuales vigentes a la fecha de tomar o renovar la póliza, pero su cubrimiento real debe responder a la evaluación real del riesgo por parte de la empresa.CAPÍTULO IV
DE LAS OBLIGACIONES ESPECIFICAS DE LOS DISTRIBUIDORES
Artículo 15º. Obligaciones Específicas de los Distribuidores. Además del cumplimiento de las normas vigentes aplicables y de las obligaciones generales contenidas en el Artículo 11º de la presente Resolución, los Distribuidores de GLP deberán cumplir con lo siguiente:
a) Definir las condiciones uniformes de los contratos de prestación del servicio a usuarios finales. En los contratos de prestación del servicio en el domicilio del usuario final se deben establecer tiempos de permanencia mínimos de 12 meses.
b) Llevar a cabo la actividad de distribución de GLP, desde los terminales hasta el suministro a Usuario Final, a expendios o puntos de venta autorizados.
c) Fletar GLP entre Terminales y plantas de envasado y entre éstas y los municipios atendidos, con sujeción a lo establecido en la reglamentación vigente sobre manejo y transporte de mercancías peligrosas del Ministerio de Transporte.
d) Realizar la actividad de traslado y entrega de GLP en cilindros y cisternas para abastecer tanques, con sujeción a lo establecido en la reglamentación vigente sobre manejo y transporte de mercancías peligrosas del Ministerio de Transporte.
e) Cuando se trate de suministro de GLP mediante cilindros, disponer de básculas que permitan al usuario verificar el peso del cilindro entregado.
f) Realizar el traslado y la entrega de GLP a usuarios finales únicamente con personal y vehículos plenamente identificados con el nombre de la empresa Distribuidora, el número de teléfono de atención al cliente y el de atención de emergencias.
g) Revisar, antes de envasar, los cilindros portátiles para verificar si requieren trabajos de mantenimiento y/o reposición, y en caso de ser necesario programarlos para el efecto.
h) Dar cumplimiento estricto a la regulación específica sobre reposición y mantenimiento de cilindros.
i) Abstenerse de distribuir GLP a través de cilindros que no cumplan con las normas técnicas y de seguridad vigentes. Estos deberán ser retirados del mercado y enviados para su mantenimiento o destrucción y reposición, de acuerdo con lo establecido por la normatividad vigente.
j) Abstenerse de envasar cilindros cuyo peso no coincida con el de su tara grabada. En este caso deberá disponerlo de manera inmediata para su reposición.
k) Drenar los residuos líquidos de cada cilindro antes de llenarlo con GLP.
l) Abstenerse de trasvasar o transferir GLP entre Cilindros, entre Cisternas y entre Cisternas y Cilindros, con excepción de las operaciones de emergencia que haya necesidad de realizar por condiciones de seguridad. En estos casos, el trasvase se hará con el equipo adecuado y de acuerdo con el procedimiento establecido por las normas y reglamentos de la empresa Distribuidora. Estas operaciones sólo se podrán llevar a cabo en las plantas envasadoras.
m) Responder ante usuarios finales, por el cumplimiento de las especificaciones técnicas y de seguridad de los cilindros que envasen, así como de la cantidad y calidad del gas suministrado, de acuerdo con lo establecido en el Capítulo VI de esta Resolución.
n) Sustituir, a solicitud de los usuarios y sin costo o recargo de ninguna naturaleza, los cilindros que habiendo sido suministrados por un Distribuidor, no cumplan con las normas técnicas y de seguridad vigentes.
o) Asegurar que todo cilindro que entregue a los usuarios este provisto de un sello de seguridad en la válvula, que identifique plenamente al Distribuidor, de manera que no se pueda alterar el contenido de GLP envasado sin dañar el sello y de acuerdo con las especificaciones técnicas establecidas en el reglamento técnico vigente expedido por el Ministerio de Minas y Energía.
p) Mantener pólizas vigentes de seguros de responsabilidad civil extracontractual, expedidas por compañías de seguros establecidas legalmente en el país y de acuerdo con los reglamentos y normas de la Superintendencia Bancaria, que cubran los daños a terceros en sus bienes y personas originados por sus actividades. Estas pólizas deberán cubrirr como mínimo los siguientes montos expresados en salarios mínimos legales mensuales vigentes a la fecha de tomar o renovar la póliza:
Por Planta Envasadora: 600 S.M.L.M.V
Por Depósito de cilindros: 150 S.M.L.M.V
Por Expendio de cilindros: 150 S.M.L.M.V
En todo caso su cubrimiento real debe responder a la evaluación real del riesgo por parte de la empresa.
Los montos de las pólizas de responsabilidad civil extracontractual para los vehículos dedicados a fletar, trasladar y entregar GLP a usuarios finales, serán los establecidos por el Ministerio de Transporte en su reglamentación de manejo y transporte de mercancías peligrosas.
q) Manejar y disponer de los residuos líquidos recuperados de los cilindros portátiles y de los tanques estacionarios atendidos, con sujeción a las normas técnicas vigentes sobre protección ambiental establecidas por el Ministerio del Medio Ambiente o demás autoridades competentes.
r) Entregar al usuario, con cada suministro de producto, una factura numerada en la cual se relacione como mínimo:
· Número de orden de pedido y fecha de solicitud
· Fecha del suministro del producto,
· Empresa que lo suministra,
· Tipo, cantidad y NIF de cada uno de los cilindros suministrados
· Valor por unidad y total a pagar
· Cargos unitarios que componen el precio aplicado al Usuario Final.
s) Respaldar su demanda agregada semestral con contratos de suministro donde se pacten los volúmenes diarios.
Artículo 16º. Obligaciones Especiales de los Distribuidores cuando realizan la distribución a través de tanques estacionarios. Además del cumplimiento de las normas vigentes que les apliquen, de las obligaciones generales contenidas en el Artículo 12º de la presente Resolución y las obligaciones especificas contenidas en el Artículo 16 de esta Resolución, los Distribuidores de GLP a través de tanques estacionarios deberán cumplir con lo siguiente:
a) Llevar a cabo la actividad de distribución de GLP, desde los Terminales hasta el suministro al Usuario Final, incluida su medición individual.
b) Verificar que se hayan ejecutado por parte de los propietarios de los tanques estacionarios, las inspecciones determinadas en el reglamento técnico vigente expedido por el Ministerio de Minas y Energía.
c) Abstenerse de distribuir GLP a través de tanques estacionarios que no cumplan con las normas técnicas y de seguridad vigentes e informar a los propietarios sobre la obligación de programarlos para su mantenimiento o reposición, aplicando la regulación vigente al respecto.
d) Retirar, mediante la aplicación de procedimientos técnicos que garanticen la seguridad, los residuos no vaporizables acumulados en los tanques estacionarios atendidos por el Distribuidor, cuando las condiciones operativas del mismo así lo requieran.
e) Medir, mediante medidores individuales, el consumo de gas de cada usuario conectado al tanque estacionario.
f) Facturar a cada usuario conectado al tanque estacionario y con base en los consumos reales individuales leídos en el medidor individual. Los períodos de facturación para los usuarios pueden corresponder con la frecuencia de suministro al tanque estacionario correspondiente y deberán estar definidos en el contrato de condiciones uniformes.
g) Entregar una factura numerada a cada usuario conectado al tanque atendido por el Distribuidor, en la cual se relacione como mínimo la siguiente información:
· Empresa prestadora del servicio,
· Nombre del suscriptor y dirección del inmueble receptor del servicio
· Período por el cual se cobra el servicio,
· Consumo correspondiente a ese período,
· Lectura anterior y actual del medidor de consumo,
· Factor de conversión de líquido a gas, Fv, estimado de acuerdo con el procedimiento establecido en el Artículo 40º de la Resolución CREG-011 de 2003 o demás normas que lo modifiquen o sustituyan.
· Fechas máximas de pago oportuno, fecha de suspensión y/o corte del servicio.
· Valor total de la factura.
· Cargos unitarios que componen el precio aplicado al Usuario Final.
· NIF identificador del tanque del cual se sirve el Usuario Final.
Artículo 17o. Depósitos de Cilindros Portátiles de GLP. Los Distribuidores, bajo su única responsabilidad, podrán instalar y operar depósitos para el almacenamiento de cilindros que hagan más eficiente el traslado y entrega de los cilindros portátiles a usuarios finales y/o expendios. Sus características deben ceñirse a los dispuesto en el Reglamento Técnico vigente expedido por el Ministerio de Minas y Energía.
Los Distribuidores serán responsables por los daños que se puedan ocasionar por la operación de sus depósitos.
ARTÍCULO 18o. Expendios de Cilindros Portátiles de GLP. Los Distribuidores, bajo su exclusiva responsabilidad, podrán instalar y operar expendios únicamente en zonas rurales, clasificadas así en el Plan de Ordenamiento Territorial del municipio en donde se encuentre localizado, o, en su defecto, por las autoridades competentes. Estos expendios deberán cumplir lo establecido en el Reglamento Técnico vigente expedido por el Ministerio de Minas y Energía y demás normas que la complementen o modifiquen.
Los Distribuidores serán responsables por los daños que se puedan ocasionar por la operación de sus Expendios.
Parágrafo. En zonas urbanas podrán existir puntos de venta de un Distribuidor, exclusivamente en las condiciones establecidas por el Ministerio de Minas y Energía en el reglamento técnico vigente del sector de GLP y con el cumplimiento de lo dispuesto en el artículo 26 de la Ley 142 de 1994.
ARTÍCULO 19o. Pruebas, Revisiones e Inspección de Instalaciones. Cuando el servicio se preste en cilindros entregados en el domicilio del Usuario Final, el Distribuidor deberá verificar, antes de suministrar el servicio, que la conexión del cilindro cumple con la normatividad técnica vigente expedida por el Ministerio de Minas y Energía.
Cuando se preste a través de red interna servida por un tanque estacionario o un cilindro el Distribuidor deberá verificar, antes de suministrar el servicio, que la instalación interna cumple con los requisitos de certificación exigidos por la Superintendencia de Industria y Comercio en la Resolución 14471 de 2002 o aquella que la modifique o sustituya.
ARTÍCULO 20o. Instrucción a Usuarios. Los Distribuidores deben instruir a sus usuarios sobre el manejo y los riesgos que representa el uso del GLP y sobre las medidas que se deben adoptar en caso de una emergencia relacionada con el uso del GLP. La instrucción a usuarios debe comprender como mínimo la elaboración de cartillas instructivas y la inclusión de notas informativas de seguridad en las facturas que se expidan.
ARTÍCULO 21o. Servicio de Atención de Emergencias. Los Distribuidores deberán contar con un servicio de atención de emergencias que funcione las 24 horas del día, dotado de líneas telefónicas atendidas por personal calificado para instruir al usuario sobre las medidas inmediatas que debe adoptar en caso de emergencia. El Servicio de Atención de Emergencias deberá estar organizado, de manera que el tiempo transcurrido entre el reporte de la emergencia y la presencia del equipo de atención en el lugar de la misma sea inmediato y cumpla con los requisitos que establezcan las autoridades competentes. Este servicio deberá ser informado a través de las facturas y otros medios de amplia divulgación.
El Servicio de Atención de Emergencias deberá mantener contacto permanente con las autoridades locales, especialmente con el Cuerpo de Bomberos y la Defensa Civil, para actuar en forma coordinada en la atención de emergencias relacionadas con GLP. Por lo menos una vez al año se deberá realizar en cada municipio un simulacro conjunto de atención de emergencias entre los Distribuidores que lo atienden y las mencionadas autoridades y reportarlo a la Superintendencia de Servicios Públicos Domiciliarios.
Este servicio deberá contar con un manual de procedimientos para la atención de emergencias y deberá llevar un registro de las emergencias presentadas, indicando claramente la fecha, tiempo de atención, causa y las medidas adoptadas en cada caso.
Parágrafo. Los Distribuidores podrán establecer servicios de atención de emergencias conjuntos, sin perjuicio de la responsabilidad individual de cada Distribuidor.
ARTÍCULO 22o. Oficina de Peticiones, Quejas y Recursos. Los Distribuidores deberán contar con oficinas de peticiones, quejas y recursos, tal como está establecido en los Artículos 153 y siguientes de la Ley 142 de 1994.
Dichas oficinas deberán llevar un registro detallado de las peticiones, quejas y recursos presentados por los usuarios y del tramite y las respuestas que dieron a las mismas.
ARTÍCULO 23o. Línea de atención al cliente. Los Distribuidores deberán contar como mínimo con una línea de atención inmediata al cliente, en el área de influencia de las regiones atendidas, que garantice su adecuada atención, la cual deberá ser informada a través de las facturas y otros medios de amplia divulgación. Esta línea deberá tener conexión continua con la línea de atención de emergencias.
CAPITULO V
DE LOS CONTRATOS EN EL SERVICIO PÚBLICO DOMICILIARIO DE GLP
ARTICULO 24º. Contrato de Suministro de GLP entre Grandes Comercializadores y Distribuidores. El Gran Comercializador deberá celebrar un contrato de suministro escrito con el Distribuidor, que garantice la prestación del servicio en forma eficiente, continua y segura y la no discriminación entre compradores:
Los contratos de suministro deberán estipular, por lo menos:
a) Nombre de las partes contratantes
b) Período de ejecución del contrato
c) Volúmenes diarios de GLP contratados, su equivalente en MBTU y tiempos de entrega
d) Procedimientos de medición
e) Procedimientos aplicables para la verificación de la calidad del producto
f) Modos de transporte y terminales
g) Precios de suministro
h) Forma de pago
i) Procedimiento de facturación
j) Garantías de pago que sean neutrales frente a una misma valoración del riesgo.
k) Cláusulas y pólizas de cumplimiento.
l) Cláusula de ajuste regulatorio.
Parágrafo 1o. Transcurridos tres (3) meses a partir de la entrada en vigencia de la Resolución que establezca el Reglamento de Comercialización de GLP, sólo se podrá suministrar éste a Distribuidores cuando exista un contrato celebrado en los términos establecidos en el presente artículo.
ARTÍCULO 25º . Contrato de Transporte. El transporte de GLP deberá estar respaldado mediante un contrato escrito entre el Transportador y el Gran Comercializador, salvo la excepción de integración prevista en el parágrafo 2o del Artículo 5º de esta resolución.
Cuando el transporte se realice a través de ductos, el Contrato deberá contener los requisitos que se establezcan en el Reglamento Único de Transporte de GLP.
Cuando el transporte se realice por medios diferentes a ductos, el contrato deberá contener como mínimo la siguiente información:
§ Nombre de las partes contratantes
§ Volumen de GLP objeto del contrato de transporte
§ Fecha de inicio del contrato
§ Fecha de finalización del contrato
§ Precios del servicio de transporte, sujeto a los topes de precios aprobados por la CREG
§ Ruta del transporte, desde el punto de recibo hasta el punto de entrega
§ Medio de transporte a utilizar, especificando Matrícula y Número del Registro Nacional de Transporte de Mercancías peligrosas, de acuerdo con los requisitos exigidos por la reglamentación del Ministerio de Transporte.
§ Cláusula de ajuste regulatorio
ARTÍCULO 26º. Contrato de Almacenamiento de Respaldo. El almacenamiento que requiera el Gran Comercializador para garantizar la confiabilidad en el suministro o para garantizar la entrega de GLP en Terminal, deberá estar respaldado por un contrato escrito entre el Almacenador y el Gran Comercializador o Transportador, salvo la integración permitida en el Artículo 5o de esta resolución.
En el contrato de Almacenamiento de Respaldo, se deben pactar como mínimo las siguientes condiciones:
§ Nombre de las partes contratantes
§ Fecha de inicio del contrato
§ Fecha de finalización del contrato
§ Volúmenes a almacenar
§ Tiempos, cantidades y modos de recibo del producto del Gran Comercializador
§ Tiempos, cantidades y modos de entrega del producto a los Distribuidores clientes del Gran Comercializador.
§ Precios del servicio de almacenamiento, sujeto a los topes de precios establecidos por la CREG
§ Forma de pago, garantías y pólizas de cumplimiento correspondientes
§ Procedimientos de medición a seguir
§ Procedimiento de facturación a seguir
§ Cláusula de ajuste regulatorio
ARTÍCULO 27o. Contrato de Servicios Públicos. La relación entre el Distribuidor y el Usuario Final, se regirá por el contrato de servicios públicos, de carácter uniforme y consensual al que hace referencia el Artículo 128 y siguientes de la Ley 142 de 1994. En virtud de este contrato el Distribuidor suministra GLP a un Usuario Final, a cambio de un precio en dinero y de acuerdo con las estipulaciones previamente definidas por el Distribuidor para ofrecerlo a muchos usuarios no determinados. El precio del suministro será el resultante de aplicar el régimen tarifario establecido por la CREG.
El contrato de servicios públicos deberá contener como mínimo lo siguiente: identificación de la empresa oferente, determinación del servicio ofrecido, obligaciones, deberes y derechos de cada una de las partes, niveles de calidad con que se prestará el servicio, tiempos de suministro cuando el servicio sea prestado en el domicilio del usuario final, responsabilidades y derechos de cada una de las partes en caso de incumplimiento de las obligaciones contractuales de la otra parte, trámite que se dará a los recursos que presente el usuario y dependencia encargada de resolverlos. El Distribuidor deberá informar, con tanta amplitud como sea posible en el área donde presta sus servicios, acerca de las condiciones uniformes del contrato que ofrece y deberá disponer siempre de copias para los usuarios que lo soliciten.
Parágrafo 1º. Para el caso de suministro de GLP en tanques estacionarios el contrato deberá determinar los períodos de facturación.
Parágrafo 2º. Un incumplimiento en el suministro por parte del Distribuidor se considera como una falla del servicio la cual dará derecho al usuario, desde el momento en que se presente, a la resolución del contrato de servicios públicos con ese Distribuidor, sin importar el tiempo de permanencia hasta ese momento.
CAPÍTULO VI
DE LA CALIDAD DEL SERVICIO PÚBLICO DOMICILIARIO DE GLP
ARTICULO 28º. Calidad del Producto. El Gran Comercializador es responsable ante el Distribuidor por la calidad del producto suministrado y el Distribuidor es responsable ante el Usuario Final. El producto que se comercialice con destino a la prestación del Servicio Público Domiciliario de GLP deberá cumplir con los estándares establecidos en la Norma Técnica Colombiana NTC 2303 o aquella que la modifique o sustituya.
Parágrafo. Cada uno de los agentes de la cadena de prestación del Servicio Público Domiciliario de GLP será responsable por el cumplimiento de los estándares de calidad del producto establecidos. El producto que no cumpla con los requerimientos técnicos no podrá ser comercializado a Usuario Final. En caso contrario, el agente que lo comercialice estará sujeto a las sanciones que establezca la Superintendencia de Servicios Públicos Domiciliarios sin perjuicio de las demás sanciones que deban establecer las demás autoridades competentes.
ARTÍCULO 29º. Medición de la Calidad del Producto. Los Grandes Comercializadores deberán reportar mensualmente todas las pruebas descritas en la norma NTC 2303 o aquella que la modifique o sustituya, así:
§ Los productores deberán efectuar, para cada punto de producción, como mínimo pruebas diarias del producto que será comercializado a los Distribuidores de GLP.
§ Los importadores de GLP que comercialicen el producto con destino al Servicio Público Domiciliario deberán efectuar las pruebas del producto para cada lote recibido en punto de importación.
Parágrafo 1. Los reportes de la información obtenida de las pruebas ordenadas en este artículo, deberán ser realizados en los formatos y medios que para el efecto establezca la CREG.
Parágrafo 2º. Los Distribuidores deberán verificar que el GLP adquirido de los comercializadores cumpla con las condiciones de calidad exigida para su comercialización a Usuario Final.
Parágrafo 3º. Los Transportadores por poliductos deberán garantizar la calidad del gas entregado. Para el efecto, deberán certificar al Gran Comercializador que los baches entregados en los diferentes Terminales no han sido alterados en su composición.
ARTÍCULO 30º. Odorización del Producto. El Gran Comercializador será el responsable de la odorización del producto antes de la entrega a los Distribuidores en Terminal.
Parágrafo. Para efectos de odorizar el producto y asegurar que sea perceptible al olfato, el Gran Comercializador debe garantizar que todo el gas comercializado mantenga una concentración mínima de mg y máxima de mg de etil mercaptano por cada metro cúbico de propano gaseoso de GLP, o el nivel de concentración según normas técnicas nacionales o internacionales, para garantizar el nivel de perceptibilidad de gas en la atmósfera exigido en la Norma Técnica Colombiana NTC 3853.
ARTÍCULO 31º. Medición de la Odorización del Producto. Los Grandes Comercializadores deberán reportar mensualmente los registros de medición de concentración de odorante en el producto que será comercializado a los Distribuidores de GLP así:
§ Los Grandes Comercializadores productores deberán efectuar mensualmente como mínimo y en cada Terminal, mediciones de concentración de odorante o pruebas de perceptibilidad de gas en el aire.
§ Los importadores de GLP que comercialicen el producto con destino al Servicio Público Domiciliario deberán efectuar como mínimo mediciones de concentración de odorante o pruebas de perceptibilidad de gas en el aire para cada bache de producto recibido en punto de importación.
Parágrafo 1. Los reportes de la información obtenida de las mediciones y pruebas ordenadas en este artículo, deberán ser realizados en los formatos y medios que para el efecto establezca la CREG.
Parágrafo 2. Los métodos de medición de concentración de odorante o pruebas de perceptibilidad de gas en el aire deben realizarse conforme con las normas nacionales o internacionales vigentes.
Parágrafo 3º. En caso de incumplimiento del índice establecido en este artículo, el Gran Comercializador estará sujeto a las sanciones que establezca la Superintendencia de Servicios Públicos Domiciliarios, sin perjuicio de las demás sanciones que deban aplicar las demás autoridades competentes.
DE LA CONFIABILIDAD DEL SERVICIO
ARTÍCULO 32º. Confiabilidad del Servicio. El Gran Comercializador deberá garantizar la confiabilidad de suministro de los volúmenes contratados en los diferentes Terminales.
ARTÍCULO 33º. Medición de la Confiabilidad del Servicio. Los estándares de confiabilidad del servicio se verificarán a partir de la medición de los Índices de Disponibilidad Diaria de Producto por Terminal (IDDP) y de Continuidad del Servicio por Distribuidor (ICS).
ARTÍCULO 34º. Índice de Disponibilidad Diaria de Producto - IDDP. El índice de disponibilidad de producto se mide diariamente en cada Terminal y mide la confiabilidad de suministro del producto para el mercado relevante de ese Terminal, en términos de los volúmenes totales contratados para entrega en ese terminal y la existencia real de volúmenes diarios. Se calculará de la siguiente manera:

donde,
IDDPt,l: Índice de disponibilidad del producto en el terminal t para el día l.
d: Distribuidor
n: número total de Distribuidores con los que se tienen contratadas entregas en el terminal t
VE: Volumen real entregado al Distribuidor d en el Terminal t el día l.
VA: Volumen almacenado en el Terminal t al finalizar el día l
VC: Volumen contratado con el Distribuidor d en el Terminal t para el día l.
Parágrafo . Este índice deberá ser mayor o igual a 100.
ARTÍCULO 35º. Periodicidad de Medición y Reporte. Cada mes los Grandes Comercializadores deberán reportar los índices de Disponibilidad Diaria de Producto de cada Terminal en los formatos y medios que la Comisión disponga para el efecto.
ARTÍCULO 36º. Compensación por Incumplimiento de los Índices de Disponibilidad Diaria de Producto. Cuando el Gran Comercializador incurra en incumplimiento de este índice se deberá compensar a los usuarios servidos por los Distribuidores del respectivo Terminal, a través de una menor tarifa de suministro por parte del Gran Comercializador en el mes siguiente al incumplimiento, el cual debe ser trasladado directamente a los usuarios por parte de los Distribuidores.
Para la estimación de la reducción de la tarifa por galón de suministro del Gran Comercializador que incumple el índice de Disponibilidad Diaria de Producto, se aplicará la siguiente fórmula:
donde,
CIPt,m: Compensación por fallas en la disponibilidad de producto en el terminal t para el mes m aplicable al Gran Comercializador.
Am: Componente de precio del producto puesto en Terminal que remunera la confiabilidad prevista en las fórmulas tarifarias actualizadas al mes m
IDDPt,m-1: Menor de los Índices de Disponibilidad Diaria de Producto menores que 100 leído en el Terminal t para el Gran Comercializador durante el mes m-1
Artículo 37º. Índice de Continuidad del Servicio -ICS. El índice de Continuidad del Servicio se medirá mensualmente en cada Terminal. Se mide la confiabilidad del suministro en términos de los volúmenes nominados de GLP para entrega en ese terminal de acuerdo con los contratos vigentes y los volúmenes reales suministrados. Se calculará de la siguiente manera:
donde,
ICSt,m: Índice de continuidad del servicio en el terminal t para el mes m.
d: Distribuidor
n: número total de Distribuidores con los que se tienen contratadas entregas en el terminal t
VE: Volumen real entregado al Distribuidor d en el Terminal t durante el mes m
VN: Volumen nominado por el Distribuidor d en el Terminal t para el mes m.
Parágrafo 1º. Este índice deberá ser mayor o igual a 100.
Parágrafo 2º. En caso de incumplimiento del índice establecido en este artículo, el Gran Comercializador estará sujeto a las sanciones que establezca la Superintendencia de Servicios Públicos Domiciliarios.ARTÍCULO 38º. Periodicidad de Medición y Reporte. Cada mes los Grandes Comercializadores deberán reportar los índices de Continuidad Diaria de Producto de cada Terminal en los formatos y medios que la Comisión disponga para el efecto.
DE LA CALIDAD DEL SERVICIO SUMINISTRADO.
ARTÍCULO 39º. Calidad del Servicio Suministrado. La calidad del servicio al Usuario Final es responsabilidad del Distribuidor.
ARTÍCULO 40º. Medición de la Calidad del Servicio. Los estándares de calidad del servicio se verificarán a partir de las medición del Índice de reposición de cilindros (IRC), Índice de respuestas a servicio técnico (IRST) e Índice de Recuperación de Residuos Líquidos (IRRL). La lectura, medición y reporte de los índices aquí establecidos son responsabilidad del Distribuidor.
ARTÍCULO 41º. IRC- Índice de Reposición de Cilindros. Porcentaje de cilindros repuestos por el Distribuidor durante cada trimestre en relación con las metas individuales establecidas por la CREG.
Cr = No. De cilindros repuestos en el trimestre.
Cmr = No de cilindros establecidos en la meta individual para ese trimestre.
ARTÍCULO 42º. IRST – Índice de Respuestas a Servicio Técnico. Porcentaje de solicitudes por tipo de evento no atendidas por el Distribuidor durante un trimestre. Las solicitudes se clasificarán de acuerdo con el siguiente tipo de eventos: Escape de gas, incendio, calidad de la llama, detección de residuos líquidos no vaporizables y solicitud de servicio. Todas las solicitudes deberán ser atendidas por el Distribuidor.
Donde:
NFR = Número total de solicitudes no atendidas, por tipo de evento, durante el trimestre.
Nsr = Número total de solicitudes recibidas, por tipo de evento, durante el trimestre.
Parágrafo 1º. Se entiende por solicitud de servicio las que se realicen a través de llamadas telefónicas u otros medios de comunicación escrita o electrónica, que tengan por objeto solicitar producto de acuerdo con las tiempos de suministro pactadas en el contrato de servicios públicos. Se considera falla en el servicio si la atención del pedido se da por fuera del tiempo pactado en el contrato.
Parágrafo 2º. Se deberá conservar el registro y/o grabación de las solicitudes presentadas por el período que establezca la autoridad de vigilancia y control.
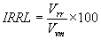
ARTÍCULO 43º. IRRL – Índice de Recolección de Residuos Líquidos. Es el porcentaje de volumen de residuos líquidos, con respecto al volumen total de GLP vendido en el mes, que han sido recolectados por el Distribuidor durante el proceso de drenaje de cilindros y tanques atendidos, antes del llenado de los mismos. Se estimará de la siguiente forma:
V rr = Volumen de residuos líquidos recolectados durante el mes.
Vvm = Volumen de ventas en el mes.
Parágrafo 1º. Para efectos de medición de este índice los Distribuidores deberán demostrar la disposición final, dada a los volúmenes de residuos líquidos recolectados de acuerdo con los parámetros técnicos y ambientales establecidos.
Parágrafo 2º. Los volúmenes de ventas utilizados para al calculo de este indicador deberán ser demostrados con las facturas correspondientes.
Parágrafo 3º. En caso de incumplimiento del índice establecido en este artículo, los distribuidores estarán sujetos a las medidas que establezca la Superintendencia de Servicios Públicos Domiciliarios, sin perjuicio de las demás sanciones que deban aplicar las demás autoridades competentes.
ARTÍCULO 44º. Referentes para los Estándares de Calidad del Producto y del Servicio y de la Confiabilidad. Los valores de referencia y los parámetros técnicos que se deben cumplir para la estimación de cada indicador son:
ARTÍCULO 45º. Reclamaciones. Los usuarios tendrán derecho a presentar reclamaciones por los indicadores reales que ellos puedan contabilizar.
ARTÍCULO 46º. Período de Transición. La entrada en vigencia de los indicadores establecidos en este capítulo para que las empresas adecuen sus sistemas de medición de parámetros y estimación de los respectivos índices, será así:
· El Índice de Respuesta a Servicio Técnico será obligatorio un año después de la entrada en vigencia de esta Resolución.
· El Índice de Disponibilidad Diaria del Producto empezará a regir tan pronto entre en vigencia el nuevo periodo tarifario.
· El Índice de Manejo de Residuos Líquidos empezará a regir tan pronto entre en vigencia esta resolución.
· El Índice de Reposición rige de acuerdo con los términos establecidos en las resoluciones que fijan las metas del Programa de Reposición y Mantenimiento de Cilindros.
CAPÍTULO VII DE LOS USUARIOS
ARTÍCULO 47º. Derechos de los usuarios. Los usuarios finales del Servicio Público Domiciliario de GLP tienen derecho a:
a) Escoger libremente el prestador del servicio
b) Solicitar y obtener información completa, precisa y oportuna sobre las actividades y operaciones directas o indirectas que se realicen para la prestación de los servicios públicos, siempre y cuando no se trate de información calificada como secreta o reservada por la ley.
c) Recibir de los Distribuidores instrucción sobre el manejo y los riesgos que representa el uso del GLP.
d) Recibir el contenido y calidad del producto y del servicio ofrecidos por el Distribuidor en la prestación del Servicio Público Domiciliario de GLP.
e) Dar por terminado el contrato de servicios públicos suscrito con el Distribuidor siempre y cuando su permanencia haya sido por un período mínimo de doce (12) meses, y se encuentre a paz y salvo por el pago de las obligaciones emanadas del contrato, o el Distribuidor haya incurrido en fallas del servicio de que habla el Capítulo VI de esta Resolución o por mutuo acuerdo con el distribuidor.
f) Recibir una factura en la que conste como mínimo la información indicada en los Artículos 15º y 16º de esta Resolución y en el contrato de condiciones uniformes.
Parágrafo. Los derechos establecidos en el presente Artículo se reconocerán sin perjuicio de lo dispuesto por la Ley 142 de 1994 y demás normas que la modifiquen, sustituyan o complementen.
ARTICULO 48º. Cronograma para la aprobación de la Presente Resolución. La aprobación de las disposiciones contenidas en la presente Resolución, se realizará de acuerdo con el siguiente cronograma:
a) Las observaciones por parte de los agentes y de los terceros interesados en la decisión que adoptará la Comisión, podrán ser presentadas dentro de los dos (2) meses siguientes a la fecha en que entre en vigencia la presente Resolución.
b) Las observaciones presentadas por los agentes y los terceros interesados que se hagan parte de la respectiva actuación, serán objeto de análisis por parte de la CREG, y la aprobación por parte de la Comisión de las disposiciones finales, se realizará una vez efectuado dicho análisis.
ARTICULO 49º. Impulso de la actuación. El Director Ejecutivo de la Comisión impulsará la actuación, sin perjuicio del reparto interno que haga para el estudio de las observaciones.
ARTICULO 50º. Inicio de la actuación administrativa. Con el presente acto se da inicio al trámite que conducirá a la aprobación de la presente Resolución.
ARTICULO 51º. La presente Resolución deberá publicarse en el Diario Oficial. Por ser un acto de trámite, no deroga ni modifica disposición alguna.
PUBLÍQUESE Y CÚMPLASE
Dada en Bogotá, D. C., el día 13 NOV. 2003
LUIS ERNESTO MEJÍA CASTRO | JAIME ALBERTO BLANDÓN DÍAZ |
Ministro de Minas y Energía | Director Ejecutivo |
Presidente |  |
|
Doble click sobre el archivo anexo para bajarlo(Resoluciones CREG) |
Doble click sobre el archivo anexo para bajarlo(Documento CREG) |
|