| Publicación Diario Oficial No.: | 47.790, el día:03/August/2010 |
| Publicada en la WEB CREG el: | 03/August/2010 |
|
Ministerio de Minas y Energía
COMISIÓN DE REGULACIÓN DE ENERGÍA Y GAS
RESOLUCIÓN No. 116 DE 2010
( 28 JUL. 2010 )
Por la cual se modifica la resolución CREG 058 de 2008
LA COMISIÓN DE REGULACIÓN DE ENERGÍA Y GAS
En ejercicio de sus atribuciones constitucionales y legales, en especial las conferidas por las Leyes 142 y 143 de 1994, y en desarrollo de los Decretos 1524 y 2253 de 1994, 388 de 2007 y 1111 de 2008.
Concordancias: Ley 143 de 1994, Art. 11; Art. 23, Lit. c. d.; Art 41
Ley 142 de 1994
Resolución CREG 70 de 2008
Resolución CREG 68 de 2008
Resolución CREG 82 de 2002 |
CONSIDERANDO:
Que de acuerdo con lo previsto en los Artículos 23, Literales c) y d), y 41 de la Ley 143 de 1994, es función de la Comisión de Regulación de Energía y Gas definir la metodología para el cálculo y fijar las tarifas por el acceso y uso de las redes eléctricas, así como el procedimiento para hacer efectivo su pago;
Que la Ley 143 de 1994, artículo 11, define como Redes de Distribución, el Conjunto de líneas y subestaciones, con sus equipos asociados, destinado al servicio de los usuarios de un municipio o municipios adyacentes o asociados mediante cualquiera de las formas previstas en la Constitución Política;
Que mediante el Decreto 388 de 2007 se ordenó a la CREG conformar dentro de la metodología que establezca la remuneración para la actividad de distribución de energía eléctrica, áreas de distribución, las cuales se definen como el Conjunto de redes de Transmisión Regional y/o Distribución Local destinado a la prestación del servicio en zonas urbanas y rurales, que son operadas por uno o más Operadores de Red y que se conforman teniendo en cuenta la cercanía geográfica de los mercados atendidos y el principio de neutralidad establecido en la ley, y se establece que debe existir un Cargo Único por Nivel de Tensión por cada ADD;
Que posteriormente el Decreto 388 de 2007 fue modificado por el Decreto 1111 de 2008 ordenando que la conformación de las ADD se ponga en vigencia a más tardar dentro de los treinta (30) días siguientes a la expedición del citado decreto;
Que el citado Decreto 1111 adicionó un parágrafo al artículo 3 del Decreto 388 de 2007, en el cual dispuso que una vez definida la conformación de las Áreas de Distribución, la transición podrá realizarse de forma tal que el cargo por uso único asociado a cada área se alcance en diferentes fechas;
Que la Comisión aprobó la resolución CREG 058 de 2008 Por la cual se establecen las Áreas de Distribución de Energía Eléctrica –ADD;
Que la Comisión, aprobó la resolución CREG 068 de 2008 Por la cual se corrige la Resolución CREG 058 de 2008;
Que la Comisión acordó expedir la Resolución CREG 070 de 2008 Por la cual se modifica la resolución CREG 058 de2008 donde se establecen las condiciones de transición para la implementación de las ADD;
Que mediante el Decreto 3451 de 2008 Por el cual se modifica el Decreto 388 de 2007 se dispuso que el Ministerio de Minas y Energía determinará las Áreas de Distribución de Energía Eléctrica una vez la CREG defina la nueva metodología de remuneración de la actividad de distribución y fije el procedimiento de distribución de los ingresos provenientes del recaudo del cargo único de los OR que operan en dichas áreas y determine los cargos por uso para los operadores de red y que mientras no se definan estas nuevas áreas no se iniciarían unificaciones de cargos distintas a las ya iniciadas a la fecha de su expedición;
Que el 1º de octubre de 2009 se aprobaron los costos y cargos a través de los cuales se remunera la actividad distribución de energía eléctrica en el SIN, con base en la metodología de la Resolución CREG 097 de 2008;
Que la Comisión acordó expedir la Resolución CREG 189 de 2009 Por la cual se modifica la Resolución CREG 058 de 2008, modificando las características de la duración de la transición hacia el cargo único de una ADD;
Que mediante comunicaciones radicadas en la CREG bajo los números E-2009-012126, E-2010-000183, E-2010-002199 y E-2010-004151, XM Compañía de Expertos en Mercados S.A. E.S.P., quien tiene a cargo las funciones asignadas al Liquidador y Administrador de Cuentas - LAC, informó a la Comisión los resultados para las ADD Centro y Oriente desde la entrada en vigencia del esquema y puso de manifiesto la oscilación de los cargos transitorios para los usuarios finales, principalmente ocasionada por el comportamiento de la variable delta con la cual se hace el balance de los ingresos del área para los diferentes niveles de tensión y por las variaciones mensuales de la energía con las que se calculan;
Que el Ministerio de Minas y Energía expidió la Resolución 18 1347 del 27 de julio de 2010, determinando la nueva Área de Distribución Occidente; por lo cual, de conformidad con lo previsto en el Parágrafo del Artículo 3º del Decreto 388 de 2007, adicionado por el Artículo 2º Decreto 1111 de 2008, es necesario revisar la transición prevista hacia los cargos únicos, para que los usuarios finales no enfrenten grandes oscilaciones en los cargos transitorios;
Que teniendo en cuenta que los Operadores de Red - OR tienen cargos aprobados con base en la metodología prevista en la Resolución CREG 097 de 2008 y se dispone de la información de cargos para calcular cargos unificados, es necesario revisar el esquema de transición para que el usuario final no siga siendo afectado por las variaciones ocasionadas hasta el momento en las etapas de transición y, además, se alcance el objetivo planteado en los decretos de unificación de cargos en el menor tiempo posible;
Que para mejorar la oscilación de los cargos unificados, dado que la conformación de las actuales ADD puede ser modificada o pueden conformarse nuevas ADD, es necesario efectuar ajustes a la metodología de cálculo de los cargos unificados que redunda igualmente en los parámetros de cálculo de la transición cuando haya lugar a ella;
Que por lo anterior, se hace necesario modificar algunas condiciones para la aplicación de los cálculos de los cargos unificados;
Que de conformidad con lo establecido en el numeral 3 del artículo 2 de la Resolución CREG 097 de 2004, no se hizo público el proyecto de resolución conforme a las disposiciones del artículo 9 del Decreto 2696 de 2004, por razones de oportunidad consistentes en que la CREG considera necesaria la corrección inmediata de la transición para evitar los efectos adversos a que se ha hecho referencia;
Que la Comisión, en su sesión 460 del 28 de julio de 2010, aprobó expedir la presente resolución;
RESUELVE:
Artículo 1. Modificar el Artículo 2 de la Resolución CREG 058 de 2008, el cual queda así:
Artículo 2. Cargo por Uso Únicos por Nivel de Tensión. Los Cargos por Uso Únicos para cada Nivel de Tensión para un mercado de comercialización asociado con el sistema del OR j, que a su vez hace parte del Área de Distribución de Energía Eléctrica a, serán calculados y publicados por el Liquidador y Administrador de Cuentas -LAC, de acuerdo con las siguientes expresiones:
Los cargos por uso unificados de los niveles de tensión 1, 2 y 3 de una misma ADD serán:


Donde:
DtUNn,m,a: Cargo por Uso Único del Nivel de Tensión n, (con n= 1, 2 ó 3), para aplicar en el mes m en la ADD a
Dtn,j,m,k: Cargo por Uso del Nivel de Tensión n, (con n= 1, 2 ó 3), correspondiente al mes m del año k del OR j.
TA: Número Total de OR que conforman una ADD.
EFn,j,m: Energía facturada en el mes m, con la tarifa del Nivel de Tensión n por el OR j a todos los Comercializadores que atienden usuarios conectados al SDL del OR j. Corresponde a la información de cargos por uso facturados por los OR a los Comercializadores en cada Nivel de Tensión reportada por los OR al SUI.
Q: Variable que toma los valores 1 ó 0. Su valor es 1 cuando en el mes m la variable DAn,m,a, en valor absoluto, representa una cantidad igual o superior al 3% respecto de los ingresos reconocidos para los OR en una misma ADD. También tomará el valor de 1 durante los dos meses posteriores al registro de un cambio en la conformación de una ADD.
DAn,m,a: Diferencia de ingresos acumulada de la ADD a, en el Nivel de Tensión n, en el mes m, actualizado con el IPP del mes m-1. Cuando Q = 1 este valor acumulado será incluido en el cálculo del cargo unificado y para el mes siguiente, la variable DAn,m,a será igual a cero y se reiniciara la acumulación de las diferencias de ingresos.
DIn,m,a: Diferencia de ingresos de la ADD, en el Nivel de Tensión n, en el período m, incluyendo reliquidaciones por parte del LAC actualizadas al momento de su incorporación en esta variable. Durante los dos primeros meses de aplicación del cargo unificado, ésta variable será igual a cero.
IngRj,n,m: Ingresos Reconocidos al OR j, en el Nivel de Tensión n, del mes m.
DtUNRn,m-2,a: Cargo por Uso Único del Nivel de Tensión n (con n= 1, 2 ó 3), revisado para el mes m-2 en la ADD a
En caso de que la totalidad o fracción de los Activos de Nivel de Tensión 1 no sean propiedad del OR, el Comercializador deberá descontar del Cargo por Uso Único del nivel de Tensión 1, el cargo que remunera inversión (CDIj,1,m,k) que corresponda, aprobado a cada OR.
El descuento se efectuará siempre en su totalidad del cargo de distribución unificado independientemente de que el mismo sea inferior al CDIj,1,m,k. El Comercializador deberá informar de los descuentos que efectúe a los usuarios por este concepto al LAC e igualmente debe reportar la EFj,1,m,p correspondiente, con copia al OR respectivo, para que sea considerado como parte de la liquidación, según lo indicado en el Artículo 5 de la presente Resolución. Dicha información deberá ser enviada por el Comercializador a más tardar el mes siguiente al de aplicación del descuento.
Cuando un OR ingrese a una ADD, dicho OR no participará en el cálculo de la variable  DIn,m,a y por tanto dicha variable será igual a cero para este agente durante los dos primeros meses de aplicación de su tarifa en dicha ADD. Para este agente, en el caso de que la información total de la energía reportada por el OR para los dos primeros cálculos de los cargos unificados sea inferior al 60% del valor promedio anual de la demanda real registrada en el SIC para el mismo OR, el LAC usará el valor del promedio de la demanda real de energía para el cálculo del DTUN que corresponda, ponderándola de acuerdo con la mejor información disponible.
Cuando un OR salga de una ADD, dicho OR será tenido en cuenta de la variable  DIn,m,a durante los dos meses posteriores a su salida, valor que podrá trasladar a sus usuarios.
En caso de incumplimiento de suministro de información de energía para un mes determinado por parte de un OR, el LAC calculará la energía como el promedio de los últimos doce meses de que se tenga información o, de no contar con ella, con base en la mejor información disponible.
Artículo 2. Modificar el Artículo 7 de la Resolución CREG 058 de 2008, modificado por las Resoluciones CREG 068 y 070 de 2008 y 189 de 2009, el cual queda así:
Artículo 7. Transición. La presente resolución se aplicará en dos fases de la siguiente manera:
Fase 1
A partir del mes de entrada en vigencia de la presente resolución y hasta que entren en vigencia los costos y cargos calculados con base en la nueva metodología de remuneración de la actividad de Distribución de todos los OR en una ADD, se calcularán los cargos por uso por nivel de tensión, en aquellos Departamentos donde exista más de un OR, según los siguientes reglas:
· Cuando en un mismo departamento exista más de un OR y el Cargo por Uso, de un Nivel de Tensión determinado, de al menos uno de ellos sea inferior al Cargo Único de la ADD y exista un OR con un cargo por uso superior al Cargo Unificado, los cargos del (los) OR Excedentario(s) se incrementarán mensualmente de manera proporcional con el incremento resultante según la Duración de la transición para el OR Excedentario con el cargo más bajo en la ADD, como se determina más adelante.
· Únicamente para los efectos de la presente transición, se entiende que un OR atiende un departamento cuando a sus redes se encuentren conectados como mínimo el 50% de la totalidad de usuarios existentes al interior de los límites geográficos departamentales o, cuando más del 50% del número de usuarios conectados a un OR se encuentren al interior de los límites geográficos de un mismo departamento.
· Se calcularán los Cargos Únicos para cada Nivel de Tensión en todas las ADD, utilizando, para la determinación del EFj,1,m-2,l,b y de los EFj,n,m, las ventas de los Comercializadores en cada mercado de comercialización tomado del SUI correspondientes al mes de febrero de 2008. Los Cargos Únicos para cada Nivel de Tensión resultantes permanecerán fijos durante la fase 1, actualizados únicamente por el IPP respectivo.
· El aumento en el cargo de distribución de los OR Excedentarios se aplicará hasta que los OR deficitarios del Departamento alcancen el Cargo Único de la ADD o hasta que el OR Excedentario con el cargo más bajo en la ADD, alcance el Cargo Único Transitorio del departamento. A partir de este momento comenzarán a utilizarse los DIn,m,a y DI1,m,a. Cuando un OR Excedentario, que no tenga el cargo más bajo de la ADD, alcance el Cargo Único Transitorio del departamento, no se le seguirá incrementando su tarifa, la cual permanecerá constante hasta el inicio de la fase 2.
· Con independencia de los aumentos o decrementos presentados por los cargos transitorios, todos los cargos serán actualizados con el IPP correspondiente.
· Los recursos adicionales, resultantes de la diferencia entre el cargo inicial del (los) OR Excedentario(s) y el cargo transitorio determinado, se distribuirán, para el cálculo del cargo por uso de los OR Deficitarios en el Departamento, de tal manera que el cargo por uso del OR más alto en el Departamento se disminuya hasta igualar el siguiente más alto del mismo Departamento y así sucesivamente.
· Para el inicio de la aplicación de la presente resolución el LAC usará la información de ventas de energía por mercado de Comercialización y por nivel de tensión disponible en el SUI correspondiente al mes de febrero de 2008, con sujeción a los siguientes parámetros: i) Para el cálculo de los cargos unificados del Nivel de Tensión 1 se asumirá que la totalidad de la energía de los usuarios residenciales proviene del Nivel de Tensión 2, ii) Para el cálculo de los cargos unificados del Nivel de Tensión 1, el Nivel de Tensión de donde proviene la energía para atender los usuarios no residenciales del Nivel de Tensión 1 se determinará con la información contenida en los formatos B1 y B2 reportados al SUI para los usuarios correspondientes, en caso que no sea posible dicha correspondencia, se asumirá que proviene del Nivel de Tensión 2, iii) cuando en el SUI se encuentre información asociada con usuarios para los cuales el OR no haya informado el cargo respectivo, el LAC no tendrá dicha información de energía en cuenta.
De cualquier manera, en caso que se encuentren aspectos no considerados o inconsistencias en la información que no permitan el cálculo de los cargos unificados según lo establecido en la presente resolución, el LAC efectuará los cálculos con la mejor información disponible.
· Los plazos previstos en la presente resolución para el primer cálculo de los cargos únicos por nivel de tensión, recopilación y publicación de cargos unificados con su correspondiente información, no serán de obligatorio cumplimiento y estarán sujetos a la disponibilidad de la información requerida por el LAC y a las herramientas que sean requeridas para efectuar todos los cálculos que debe realizar conforme a lo establecido en la presente resolución.
· Antes del inicio de la fase 2, para el cálculo de los ingresos de los OR a quienes se les aplica la gradualidad descrita en la fase 1 que hayan obtenido aprobación de cargos con base en la nueva metodología y para efectos de la liquidación de ingresos de que trata la presente resolución, se les aplicará lo previsto según sus nuevos cargos e igualmente se les revisarán sus nuevos cargos respecto del cargo unificado de la ADD y de ser necesario, se ajustará la duración y transición de que trata la fase 1.
· Los cargos de un OR no serán objeto de modificación alguna por concepto de unificación y su cálculo, liquidación y recaudo seguirán efectuándose conforme a lo establecido en la Resolución CREG 082 de 2002, cuando: i) en un mismo Departamento exista más de un OR y los Cargos por Uso vigentes, para un mismo Nivel de Tensión, de todos los OR de ese Departamento sean iguales o superiores al Cargo Único de la ADD, ii) cuando en un Departamento exista un solo OR, iii) cuando en un departamento existan dos o más OR y los cargos de todos ellos sean inferiores al cargo unificado, iv) Cuando un OR atienda dos o más departamentos, independientemente que en alguno de ellos se cumplan las condiciones para iniciar la fase 1 de la presente transición, o v) cuando en un mismo departamento existan dos o más OR y alguno de ellos no haya registrado en el SUI la información requerida para la aplicación de la presente resolución.
Fase 2
A partir del mes siguiente al de entrada en vigencia de los cargos aprobados con base en la nueva metodología, para todos los Operadores de Red - OR de un área de distribución - ADD determinada, o a partir de la definición de una nueva cuyos integrantes cuenten con cargos aprobados con base en la nueva metodología, se efectuará una transición para que todos los OR del ADD alcancen el Cargo Único en el número de meses que resulte del determinado en la Duración.
Para tal fin, el LAC calculará los Cargos Únicos por Nivel de Tensión, para cada ADD, con base en los cargos vigentes a la fecha de aplicación de la presente resolución y calculará para cada OR los cargos por uso transitorios, según los siguientes parámetros:
· Se debe calcular la duración de todas las ADD conformadas al momento de expedición de la presente resolución, con base en la mejor información disponible e implementar su resultado en la transición que corresponda.
· Cada vez que se defina una nueva ADD, se modifique una anteriormente creada o se modifiquen los cargos por uso aprobados de un OR perteneciente a un ADD, se deberán calcular los nuevos cargos por uso únicos por nivel de tensión y las nuevas condiciones de duración y transición y aplicarlos a partir del mes siguiente al de vigencia de la nueva ADD.
· Para el OR excedentario con el cargo por uso más bajo en una ADD, se calculará el porcentaje de incremento mensual que deberá cumplir para llegar al Cargo Único.
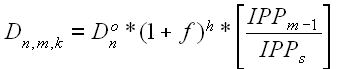
· Mientras un OR Excedentario se encuentre en transición, la única variación de su cargo de distribución se efectuará por la correspondiente actualización del cargo con el IPP respectivo y el incremento en el porcentaje definido en la Duración, hasta que alcance el Cargo Único, según la siguiente expresión:
donde:
Dn,m,k: Cargo por uso del nivel de tensión n, a aplicar en el mes m del año k, durante el período de la transición por parte del OR Excedentario.
Don: Cargo por uso del OR Excedentario en el nivel de tensión n, correspondiente al mes de publicación de la presente Resolución
f: Tasa de crecimiento mensual de los cargos en términos reales, su valor será igual al determinado en la duración.
h: Mes de aplicación del cargo de transición. (h varía entre 1 y 6)
IPPm-1: Índice de Precios al Productor Total Nacional correspondiente al mes anterior al mes m de prestación del servicio.
IPPs: Índice de Precios al Productor Total Nacional correspondiente al mes de publicación de la presente Resolución.
· Los recursos obtenidos, resultantes de la diferencia entre los cargos transitorios de un mes determinado y el cargo del OR Excedentario, se distribuirán, para el cálculo del cargo por uso, entre los OR que cuenten con cargos superiores al Cargo Único (OR Deficitarios) en la ADD, de tal manera que el cargo por uso del OR más alto en la ADD se disminuya hasta igualar el siguiente más alto y así sucesivamente hasta que los cargos alcancen el Cargo Único de la ADD.
· En una ADD nueva, los cargos por uso transitorios a emplear por parte de los OR Deficitarios durante los dos primeros meses de aplicación de la transición serán calculados por el LAC con base en la proyección de los recursos a aportar por parte de los OR excedentarios durante dicho período.
· Los cargos por uso transitorios a emplear por parte de los OR Deficitarios, a partir del tercer mes de aplicación de la transición en un ADD nueva o a partir del primer mes de la transición definida con base en la presente resolución en un ADD existente, serán calculados por el LAC considerando los recursos efectivamente aportados por parte de los OR excedentarios y todos los posibles ajustes que requieran para asegurar los ingresos de los OR Excedentarios, según la siguiente expresión:
donde:
DtUNTDn,m,a: Cargo por uso transitorio del nivel de tensión n, a aplicar en el mes m del año k, durante el período de la transición por parte del OR Deficitario j.
Dtn,j,m,k: Cargo por uso del nivel de tensión n, correspondiente al mercado del OR j en el mes m del año k, sin aplicar el esquema de ADD.
ÄIDefn,m-2,a: Diferencia de ingresos de los OR Deficitarios en el nivel de tensión n, en el mes m-2, en la ADD a; resultante de restar los ingresos reconocidos de los OR Excedentarios y Deficitarios de los ingresos obtenidos en una ADD en el mismo período.
Dj,n,m,k: Cargo por uso del nivel de tensión n, a aplicar en el mes m del año k, durante el período de la transición por parte del OR Excedentario j.
EXC: Total de OR excedentarios en una misma ADD en un mismo nivel de tensión.
EFEn,j,m: Energía facturada en el mes m, con la tarifa del Nivel de Tensión n por los OR Excedentarios j a todos los Comercializadores que atienden usuarios conectados a dichos SDL distintos a los que aplican su cargo de distribución propio. Corresponde a la información de cargos por uso facturados por los OR Excedentarios a los Comercializadores en cada Nivel de Tensión reportada por los OR al SUI.
EFDn,j,m: Energía facturada en el mes m, con la tarifa del Nivel de Tensión n por los OR Deficitarios j a todos los Comercializadores que atienden usuarios conectados a dichos SDL distintos a los que aplican su cargo de distribución propio. Corresponde a la información de cargos por uso facturados por los OR Deficitarios a los Comercializadores en cada Nivel de Tensión reportada por los OR al SUI.
DEF: Número de OR Deficitarios en una misma ADD en un mismo nivel de tensión.
Hasta la finalización de la transición, el LAC efectuará la liquidación de los recursos asegurando los correspondientes a los excedentarios y distribuyendo los recursos restantes entre los OR deficitarios de tal manera que el cargo por uso del OR mas alto en el ADD se disminuya hasta igualar el siguiente más alto y así sucesivamente hasta que los cargos alcancen al Cargo Único del ADD.
La diferencia entre los ingresos del ADD y los ingresos de los OR Excedentarios se distribuirá entre los OR Deficitarios a prorrata de sus ingresos reconocidos.
En caso de que en un mes determinado la variable DtUND resulte inferior al cargo unificado tomado como base para calcular la duración de la transición, se finalizará la transición y a partir de ese mes se calculará el cargo unificado para todos los OR de la ADD.
Duración
Los meses de duración de la transición (mt) en una ADD y en un nivel de tensión determinados, dependerán de la diferencia entre el Cargo por Uso Único del nivel de Tensión n de la ADD y el cargo por uso del OR Excedentario con el cargo más bajo aplicado al momento de cálculo de la transición, según las siguientes expresiones:
Con:
DtUNn,m,a: Cargo por Uso Único del Nivel de Tensión n, calculado para el mes m en la ADD a
Dtn,j,m,k: Cargo por Uso del OR Excedentario con el cargo más bajo aplicado en el mes m del año k por el OR j, en el Nivel de Tensión n.
Parágrafo. El LAC calculará la duración de la transición a la fecha de aplicación de la presente resolución y cada vez que se constituya o modifique una ADD.
Artículo 3. Vigencia y aplicación: La presente resolución rige a partir de su publicación en el Diario Oficial, deroga las disposiciones que le sean contrarias.
PUBLÍQUESE Y CÚMPLASE
Dada en Bogotá, D.C., 28 JUL. 2010
|
Doble click sobre el archivo anexo para bajarlo(Resoluciones CREG) |
Doble click sobre el archivo anexo para bajarlo(Documento CREG) |
|