| Publicación Diario Oficial No.: | , el día: |
| Publicada en la WEB CREG el: | |
Publicada en el Diario Oficial No. 45.850 de marzo 14 de 2005
RESOLUCIÓN No. 010
(24 FEB. 2005 )
Por la cual se identifican los Índices de Precios contenidos en la Fórmula Tarifaria General para Usuarios Regulados del servicio público de gas natural por redes de tubería, para efectos de lo dispuesto en el Artículo 125 de la Ley 142 de 1994.
LA COMISIÓN DE REGULACIÓN DE ENERGÍA Y GAS
en ejercicio de sus atribuciones legales, en especial de las conferidas por las Leyes 142 y 143 de 1994 y en desarrollo de los Decretos 1524 y 2253 de 1994 y,
C O N S I D E R A N D O:
Que de conformidad con lo establecido en el Artículo 74 de la Ley 142 de 1994, le corresponde a la Comisión de Regulación de Energía y Gas regular el ejercicio de las actividades de los sectores de energía y gas combustible;
Que el Artículo 125 de la Ley 142 de 1994 estableció que: “Durante el período de vigencia de cada fórmula, las empresas podrán actualizar las tarifas que cobran a sus usuarios aplicando las variaciones en los índices de precios que las fórmulas contienen. Las nuevas tarifas se aplicarán a partir del día quince del mes que corresponda, cada vez que se acumule una variación de, por lo menos, un tres por ciento (3%) en alguno de los índices de precios que considera la fórmula”;
Que mediante la Resolución CREG-011 de 2003, la Comisión de Regulación de Energía y Gas estableció la Fórmula Tarifaria General para Usuarios Regulados del servicio público de gas combustible por redes de tubería;
Que las Fórmulas Tarifarias definidas por la Comisión de Regulación de Energía y Gas, en la mencionada Resolución, contienen Índices de Precios implícitos y propios de dichas fórmulas, los cuales es necesario identificar expresamente para la aplicación de lo dispuesto en el Artículo 125 de la Ley 142 de 1994;
Que mediante la Resolución CREG-112 de 2001, numerales 1 y 2 del anexo, la Comisión de Regulación de Energía y Gas determinó la manera de calcular los índices de precios y la variación de los mismos;
Que la Comisión de Regulación de Energía y Gas ha considerado conveniente establecer una metodología para determinar las variaciones acumuladas en los índices de precios que dan lugar a la actualización de tarifas por parte de las empresas, de conformidad con lo previsto en el Artículo 125 de la Ley 142 de 1994;
Que mediante Resolución CREG-085 de 2004 se publicó un proyecto de resolución con el fin de identificar los índices contenidos en la Resolución CREG 011 de 2003;
Que mediante oficio radicado CREG E-2005-000275 la empresa Gas Natural S.A. E.S.P remitió a la CREG comentarios generales a la resolución CREG 085 de 2004, los cuales se analizan en el documento CREG 012 del 24 de febrero de 2005;
Que la Comisión de Regulación de Energía y Gas, en su sesión No. 250 del 24 de febrero de 2005, acordó expedir la presente resolución:
R E S U E L V E:
ARTICULO 1o. Definiciones. Para efectos de la presente resolución se adoptan las definiciones contenidas en el artículo primero de la Resolución CREG 112 de 2001.
ARTÍCULO 2o. Índices de Precios de la Fórmula Tarifaria. Para efectos de lo dispuesto en el Artículo 125 de la Ley 142 de 1994, identifíquense los Índices de Precios incluidos en el Anexo de la presente Resolución.
PARÁGRAFO. De conformidad con el Artículo 125 de la Ley 142 de 1994, cada vez que se acumule una variación de, por lo menos, un tres por ciento (3%) en alguno de los Índices de Precios, identificados en el Anexo de la presente Resolución, se actualizarán los componentes de la Fórmula Tarifaria de acuerdo con la respectiva variación de cada Índice de Precios, con sujeción a lo establecido en el mencionado Artículo.
ARTÍCULO 3o. Publicación. La presente Resolución rige a partir de su publicación en el Diario Oficial y deroga las disposiciones que le sean contrarias.
PUBLÍQUESE Y CÚMPLASE
Dada en Bogotá, D.C., el día 24 FEB. 2005
MANUEL MAIGUASHCA OLANO | ANA MARIA BRICEÑO MORALES |
Viceministro de Minas y Energía Delegado del Ministro de Minas y Energía | Directora Ejecutiva |
Presidente |  |
A N E X O
IDENTIFICACIÓN DE LOS ÍNDICES DE PRECIOS
1. Determinación de Índices de Precios
Los índices se determinan conforme se establecieron en el numeral 1 del anexo de la Resolución CREG 112 de 2001.
2. Variación de los Índices de Precios
La variación entre periodos de un componente se define conforme al numeral 2 del anexo de la Resolución CREG 112 de 2001.
3. Índices de Precios para gas natural por redes de tubería
Con base en la fórmula definida en el Artículo 32 de la Resolución CREG-011 de 2003, se identifican los índices asociados a cada uno de los componentes de la Fórmula Tarifaria General para usuarios regulados del servicio público de gas natural por redes de tubería para cada Distribuidor - Comercializador así:
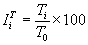
Componente Cargo Variable
donde:
: Es el Índice de Precios definido para el componente del cargo variable del rango j en el período i (año t, mes m).
: Es el componente Cargo Variable del Servicio de Gas Natural ($/m3), para el rango j periodo i (año t, mes m).
: Es el componente Cargo Variable del Servicio de Gas Natural ($/m3), para el rango j aplicado en el periodo base.
Componente Cargo Fijo
donde:
: Es el Índice de Precios definido para el componente cargo fijo del rango j en el período i (año t, mes m).
: Es el componente Cargo Fijo del Servicio de Gas Natural ($/factura), para el rango j periodo i (año t, mes m).
: Es el componente Cargo Fijo del Servicio de Gas Natural ($/factura), para el rango j aplicado en el periodo base.
Costo de Compras de Gas Natural
donde:
: Es el Índice de Precios definido para el componente Gm en el período i (año t, mes m).
: Es el Costo Promedio Máximo Unitario en $/m3 para Compras de Gas Natural destinado a usuarios regulados, aplicable en el período i (año t, mes m).
: Es el Costo Promedio Máximo Unitario en $/m3 para Compras de Gas Natural destinado a usuarios regulados, aplicado en el periodo base.
Costo de Transporte
donde:
: Es el Índice de Precios definido para el componente Tm en el período i (año t, mes m).
: Es el Costo Promedio Máximo Unitario en $/m3 para el Transporte de Gas en el Sistema Nacional de Transporte, destinado a usuarios regulados, aplicable en el período i (año t, mes m).
: Es el Costo Promedio Máximo Unitario en $/m3 para el Transporte de Gas en el Sistema Nacional de Transporte, destinado a usuarios regulados, aplicado en el periodo base.
Componente Variable Cargo de Distribución
donde
: Es el Índice de Precios definido para el componente variable del cargo de distribución del rango j en el período i (año t, mes m)
: Es el componente variable del cargo de distribución por uso de la red, en $/m3, del rango j en el período i (año t, mes m).
: Es el componente variable del cargo de distribución por uso de la red, en $/m3, del rango j, aplicado en el periodo base.
Si el distribuidor cambia los rangos aplicables a sus usuarios, el componente correspondiente a ese periodo, pasa a ser la nueva base ( ).
Componente Fijo Cargo de Distribución
donde
: Es el Índice de Precios definido para el componente fijo del cargo de distribución del rango j en el período i (año t, mes m)
: Es el componente fijo del cargo de distribución por uso de la red, en $/factura, del rango j en el período i (año t, mes m).
: Es el componente fijo del cargo de distribución por uso de la red, en $/factura, del rango j, aplicado en el periodo base.
Si el distribuidor cambia los rangos aplicables a sus usuarios, el componente correspondiente a ese periodo, pasa a ser la nueva base ( ).
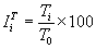
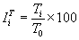
Cargo de Comercialización
donde:
: Es el Índice de Precios definido para el componente Cm en el período i (año t, mes m)
: Es el Cargo Máximo de Comercialización en $/factura, en el período i (año t, mes m).
: Es el Cargo Máximo de comercialización en $/factura aplicado en el periodo base.
4. Índices de Precios para gas natural comprimido
Con base en la fórmula definida en el Artículo 34 de la Resolución CREG-011 de 2003, se identifican los índices asociados a cada uno de los componentes de la Fórmula Tarifaria General para usuarios regulados del servicio público de gas natural comprimido para cada Distribuidor - Comercializador así:
Componente Cargo Variable
donde:
: Es el Índice de Precios definido para el componente del cargo variable del rango j en el período i (año t, mes m).
: Es el componente Cargo Variable del Servicio de Gas Natural Comprimido ($/m3), para el rango j periodo i (año t, mes m).
: Es el componente Cargo Variable del Servicio de Gas Natural Comprimido ($/m3), para el rango j aplicado en el periodo base.
Componente Cargo Fijo
donde:
: Es el Índice de Precios definido para el componente cargo fijo del rango j en el período i (año t, mes m).
: Es el componente Cargo Fijo del Servicio de Gas Natural comprimido ($/factura), para el rango j periodo i (año t, mes m).
: Es el componente Cargo Fijo del Servicio de Gas Natural comprimido ($/factura), para el rango j aplicado en el periodo base.
Costo de Compras de Gas Natural
donde:
: Es el Índice de Precios definido para el componente Gm en el período i (año t, mes m).
: Es el Costo Promedio Máximo Unitario en $/m3 para Compras de Gas Natural destinado a usuarios regulados, aplicable en el período i (año t, mes m).
: Es el Costo Promedio Máximo Unitario en $/m3 para Compras de Gas Natural destinado a usuarios regulados, aplicado en el periodo base.
Costo de Transporte
donde:
: Es el Índice de Precios definido para el componente Tm en el período i (año t, mes m).
: Es el Costo Promedio Máximo Unitario en $/m3 para el Transporte de Gas en el Sistema Nacional de Transporte, destinado a usuarios regulados, aplicable en el período i (año t, mes m).
: Es el Costo Promedio Máximo Unitario en $/m3 para el Transporte de Gas en el Sistema Nacional de Transporte, destinado a usuarios regulados, aplicado en el periodo base.
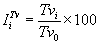
Costo de Transporte Gas Natural Comprimido
donde:
: Es el Índice de Precios definido para el componente Tvm en el período i (año t, mes m).
: Es el Costo Máximo Unitario en $/m3 para el Transporte de Gas natural comprimido en vehículos de carga, aplicable en el período i (año t, mes m).
: Es el Costo Máximo Unitario en $/m3 para el Transporte de Gas natural comprimido en vehículos de carga, aplicado en el periodo base.
Componente Variable Cargo de Distribución
donde
: Es el Índice de Precios definido para el componente variable del cargo de distribución del rango j en el período i (año t, mes m)
: Es el componente variable del cargo de distribución por uso de la red, en $/m3, del rango j en el período i (año t, mes m).
: Es el componente variable del cargo de distribución por uso de la red, en $/m3, del rango j, aplicado en el periodo base.
Si el distribuidor cambia los rangos aplicables a sus usuarios, el componente correspondiente a ese periodo, pasa a ser la nueva base ( ).
Componente Fijo Cargo de Distribución
donde
: Es el Índice de Precios definido para el componente fijo del cargo de distribución del rango j en el período i (año t, mes m)
: Es el componente fijo del cargo de distribución por uso de la red, en $/factura, del rango j en el período i (año t, mes m).
: Es el componente fijo del cargo de distribución por uso de la red, en $/factura, del rango j, aplicado en el periodo base.
Si el distribuidor cambia los rangos aplicables a sus usuarios, el componente correspondiente a ese periodo, pasa a ser la nueva base ( ).
Costo de Compresión
donde:
: Es el Índice de Precios definido para el componente Pm en el período i (año t, mes m)
: Es el Costo de compresión en $/m3, en el período i (año t, mes m).
: Es el Costo de compresión en $/m3 aplicado en el periodo base
Cargo de Comercialización
donde:
: Es el Índice de Precios definido para el componente Cm en el período i (año t, mes m)
: Es el Cargo Máximo de Comercialización en $/factura, en el período i (año t, mes m).
: Es el Cargo Máximo de comercialización en $/factura aplicado en el periodo base.
5. Índices de Precios para GLP por redes
Con base en la fórmula definida en el Artículo 40 de la Resolución CREG-011 de 2003, se identifican los índices asociados a cada uno de los componentes de la Fórmula Tarifaria General para usuarios regulados del servicio público de distribución de GLP para cada Distribuidor - Comercializador así:
Componente Cargo Variable
donde:
: Es el Índice de Precios definido para el componente del cargo variable del rango j en el período i (año t, mes m).
: Es el componente Cargo Variable del Servicio de GLP ($/m3), para el rango j periodo i (año t, mes m).
: Es el componente Cargo Variable del Servicio de GLP ($/m3), para el rango j aplicado en el periodo base.
Componente Cargo Fijo
donde:
: Es el Índice de Precios definido para el componente cargo fijo del rango j en el período i (año t, mes m).
: Es el componente Cargo Fijo del Servicio de GLP ($/factura), para el rango j periodo i (año t, mes m).
: Es el componente Cargo Fijo del Servicio de GLP ($/factura), para el rango j aplicado en el periodo base.
Ingreso por Producto al Gran Comercializador
Tal y como se definió en el numeral 5 del anexo de la resolución CREG 112 de 2001
Ingreso por Transporte
Tal y como se definió en el numeral 5 del anexo de la resolución CREG 112 de 2001
Margen del Comercializador Mayorista
Tal y como se definió en el numeral 5 del anexo de la resolución CREG 112 de 2001
Costo de Transporte Terrestre
donde:
: Es el Índice de Precios definido para el componente Tt en el período i (año t, mes m).
: Es el Costo del transporte terrestre en $/gal desde los terminales de entrega hasta los municipios donde se distribuye el producto, aplicable en el período i (año t, mes m).
: Es el Costo del transporte terrestre en $/gal desde los terminales de entrega hasta los municipios donde se distribuye el producto, aplicado en el periodo base.
Componente Variable Cargo de Distribución
donde
: Es el Índice de Precios definido para el componente variable del cargo de distribución del rango j en el período i (año t, mes m)
: Es el componente variable del cargo de distribución por uso de la red, en $/m3, del rango j en el período i (año t, mes m).
: Es el componente variable del cargo de distribución por uso de la red, en $/m3, del rango j, aplicado en el periodo base.
Si el distribuidor cambia los rangos aplicables a sus usuarios, el componente correspondiente a ese periodo, pasa a ser la nueva base ( ).
Componente Fijo Cargo de Distribución
donde
: Es el Índice de Precios definido para el componente fijo del cargo de distribución del rango j en el período i (año t, mes m)
: Es el componente fijo del cargo de distribución por uso de la red, en $/factura, del rango j en el período i (año t, mes m).
: Es el componente fijo del cargo de distribución por uso de la red, en $/factura, del rango j, aplicado en el periodo base.
Si el distribuidor cambia los rangos aplicables a sus usuarios, el componente correspondiente a ese periodo, pasa a ser la nueva base ( ).
Cargo de Comercialización
donde:
: Es el Índice de Precios definido para el componente Cm en el período i (año t, mes m)
: Es el Cargo Máximo de Comercialización en $/factura, en el período i (año t, mes m).
: Es el Cargo Máximo de comercialización en $/factura aplicado en el periodo base.
MANUEL MAIGUASHCA OLANO | ANA MARIA BRICEÑO MORALES |
Viceministro de Minas y Energía Delegado del Ministro de Minas y Energía | Directora Ejecutiva |
Presidente |  |
|
Doble click sobre el archivo anexo para bajarlo(Resoluciones CREG) |
Doble click sobre el archivo anexo para bajarlo(Documento CREG) |
|