| Publicación Diario Oficial No.: | , el día: |
| Publicada en la WEB CREG el: | |
| Resolución No. 94 (Septiembre 04 de 1998)
Por la cual se adoptan medidas que propenden por la igualdad de tratamiento entre usuarios de igual condición, en los diferentes Mercados de Comercialización del Sistema de Interconectado Nacional.
LA COMISION DE REGULACION DE ENERGIA Y GAS
en ejercicio de sus atribuciones legales, en especial las conferidas por las Leyes 142 y 143 de 1994 y los decretos 1524 y 2253 de 1994 y la Ley 286 de 1996.
C O N S I D E R A N D O:
Que el Artículo 13 de la Constitución Política establece la igualdad de las personas ante la ley y ordena que reciban la misma protección y trato de las autoridades;
Que el Artículo 334 de la Constitución ordena al Estado intervenir en los servicios públicos y privados, para racionalizar la economía, con el fin de conseguir el mejoramiento de la calidad de vida de los habitantes, la distribución equitativa de las oportunidades y beneficios de desarrollo;
Que el Artículo 367 de la Carta establece que la ley fijará las competencias y responsabilidades relativas a la prestación de servicios públicos domiciliarios, su cobertura, calidad y financiación, y el régimen tarifario que tendrá en cuenta además de los criterios de costos, los de solidaridad y redistribución de ingresos;
Que el Artículo 368 de la Constitución autoriza a la Nación, los departamentos, los distritos, los municipios y a las entidades descentralizadas para conceder subsidios, en sus respectivos presupuestos, para que las personas de menores ingresos puedan pagar las tarifas de los servicios públicos domiciliarios que cubran sus necesidades básicas;
Que el Artículo 2 de la ley 142 de 1994 señala:
“ARTICULO 2. .- Intervención del Estado en los servicios públicos. El Estado intervendrá en los servicios públicos, conforme a las reglas de competencia de que trata esta ley, en el marco de lo dispuesto en los Artículos 334, 336, y 365 a 370 de la Constitución Política, para los siguientes fines:
2.1..- Garantizar la calidad del bien objeto del servicio público y su disposición final para asegurar el mejoramiento de la calidad de vida de los usuarios.
2.2. Ampliación permanente de la cobertura mediante sistemas que compensen la insuficiencia de la capacidad de pago de los usuarios.
2.3.- Atención prioritaria de las necesidades básicas insatisfechas en materia de agua potable y saneamiento básico.
2.4..- Prestación continua e ininterrumpida, sin excepción alguna, salvo cuando existan razones de fuerza mayor o caso fortuito o de orden técnico o económico que así lo exijan.
2.5.- Prestación eficiente.
2.6.- Libertad de competencia y no utilización abusiva de la posición dominante.
2.7.- Obtención de economías de escala comprobables.
2.8.- Mecanismos que garanticen a los usuarios el acceso a los servicios y su participación en la gestión y fiscalización de su prestación.
2.9.- Establecer un régimen tarifario proporcional para los sectores de bajos ingresos de acuerdo con los preceptos de equidad y solidaridad.”;
Que el Artículo 87.3 de la ley 142 de 1994 señala que por solidaridad y redistribución se entiende que al poner en práctica el régimen tarifario se adoptarán medidas para asignar recursos a fondos de solidaridad y redistribución, para que los usuarios de los estratos altos y los usuarios comerciales e industriales, ayuden a los usuarios de estratos bajos a pagar las tarifas de los servicios que cubran sus necesidades básicas;
Que antes de la expedición de la ley 142 de 1994, las empresas prestadoras del servicio público de energía venían otorgando subsidios por montos superiores a los autorizados por el Artículo 99.6 de la mencionada ley, motivo por el cual la ley 286 de 1996 en su Artículo 1 estableció un plazo para la aplicación de los subsidios que superaran los montos máximos autorizados en el Artículo 99.6 de la Ley 142 de 1994, el 31 de diciembre del año 2000. Dicha transición se reglamentó mediante la Resolución 113 de 1996 y adoptada al régimen tarifario mediante la resolución 79 de 1997 de la Comisión de Regulación de Energía y Gas;
Que de acuerdo con el concepto de la Secretaría Jurídica de la Presidencia de la República de fecha 2 de Septiembre de 1998, es competencia de la Comisión de Regulación de Energía y Gas ejercer las facultades establecidas en el Artículo 1 de la ley 286 de 1996;
Que algunos usuarios de los estratos I, II y III, están recibiendo en la actualidad subsidios muy superiores a los percibidos por personas pertenecientes a esos mismos estratos ubicados en las zonas más necesitadas del país, generándose una inequidad en el trato a personas en igual condición, lo que contraviene de manera clara los principios de igualdad y solidaridad que establece la Constitución Nacional;
Que revisada la información es necesario ajustar los recursos destinados a la aplicación de los subsidios que en la actualidad perciben los usuarios de las zonas más desarrolladas del país, con el fin de que la contribución de solidaridad establecida en la ley 142 de 1994, pueda ser utilizada para dar subsidios, propendiendo por la igualdad de condiciones a todos los habitantes del país de los estratos I, II y III;
Que las anteriores consideraciones hacen necesario tomar medidas en los términos de los Artículos 2, 3, y 87.3 de la ley 142 de 1994 y el Artículo 47 de la ley 143 de 1994, con el fin de propender por la vigencia del principio de igualdad entre ciudadanos que se encuentran en igualdad de condiciones, dando cumplimiento al Artículo 13 de la Constitución Política, y modificar lo dispuesto por la CREG en las Resoluciones 113 de 1996 y 079 de 1997;
R E S U E L V E :
Artículo 1º. Definiciones: Para efectos de esta resolución se aplican las definiciones adoptadas en el Artículo 1º de la Resolución CREG-079/97.
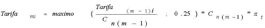
Artículo 2º. Límite al factor de subsidio: A partir de la vigencia de la presente Resolución, y durante el periodo de transición, la tarifa de los consumos anteriores al Consumo de Nivelación se liquidarán con base en la siguiente expresión, que tiene implícito el límite al factor de subsidio:
donde:

: Es el Costos de prestación del servicio en el nivel de tensión n, para el mes m-1, como se define en la resolución CREG-079/97
: Es la indexación mensualizada, con base en la inflación proyecta para el año t, como se define en la resolución CREG-079/97
Artículo 3º. Unificación del Consumo de Nivelación: El plan de ajustes establecido por los comercializadores para 1998, previsto en el Artículo 6º. de la resolución CREG 079/97, a partir de la vigencia de la presente resolución quedará así:
Artículo 4º. Vigencia: La presente Resolución rige a partir de la fecha de su publicación en el Diario Oficial, y deroga aquellas normas que le sean contrarias.
Publicada en el Diario Oficial No. 43.382 de septiembre 09 de 1998 |
LUIS CARLOS VALENZUELA D.
Ministro de Minas y Energía
Presidente | JOSE CAMILO MANZUR J.
Director Ejecutivo |
|
Doble click sobre el archivo anexo para bajarlo(Resoluciones CREG) |
Doble click sobre el archivo anexo para bajarlo(Documento CREG) |
|