| Publicación Diario Oficial No.: | 47.578, el día:30/December/2009 |
| Publicada en la WEB CREG el: | 30/December/2009 |
| RESOLUCIÓN No. 182 ( 15 DIC. 2009 )
Por la cual se decide la solicitud de ELECTROCOSTA S.A. E.S.P. de extender la senda establecida mediante Resolución CREG 102 de 2005.
LA COMISIÓN DE REGULACIÓN DE ENERGÍA Y GAS
En ejercicio de sus facultades legales, en especial de las conferidas por la Ley 142 de 1994 y en desarrollo de los Decretos 2253 de 1994 y 2696 de 2004,
CONSIDERANDO QUE:
Que de acuerdo con lo previsto en el Artículo 23, literal d), y 41 de la Ley 143 de 1994, es función de la Comisión de Regulación de Energía y Gas fijar las tarifas por el acceso y uso de las redes eléctricas;
Que mediante la Resolución CREG 082 de 2002, la Comisión aprobó los principios generales y la metodología para el establecimiento de los Cargos por Uso de los Sistemas de Transmisión Regional (STR) y de Distribución Local (SDL), para el periodo de vigencia 2003 - 2007;
Que en cumplimiento de lo dispuesto en dicha Resolución, la empresa Electrificadora de la Costa Atlántica S.A. E.S.P., en adelante ELECTROCOSTA, sometió a aprobación de la Comisión su estudio de cargos para remunerar el servicio de distribución que presta;
Que una vez revisada y verificada la información presentada por esta empresa, y surtido el trámite de rigor previsto en la citada Resolución CREG 082 de 2002, mediante la Resolución CREG-054 de 2003, la Comisión aprobó el Costo Anual por el uso de los Activos del Nivel de Tensión 4, el Costo Anual de los activos de conexión al STN y los cargos máximos de los niveles de tensión 3, 2 y 1, de los Sistemas de Transmisión Regional (STR) y de Distribución Local (SDL) operados por ELECTROCOSTA;
Que posteriormente, ELECTROCOSTA con base en el artículo 126 de la Ley 142 de 1994 solicitó ajustar los cargos de tal forma que se cumplieran los criterios de eficiencia y suficiencia financiera establecidos por la Ley. Mediante las Resoluciones CREG 075 y 102 de 2005 se decidió la solicitud de la empresa;
Que en el artículo 1 de la citada Resolución 102 de 2005, se decidió acceder parcialmente a la solicitud de Electrificadora de la Costa Atlántica S.A. E.S.P, en lo relacionado con las particularidades que afecten directa o indirectamente los costos de la actividad de distribución en los mercados de Electrocosta, en los términos y con el alcance previsto en la parte motiva de la mencionada Resolución y, en su artículo 7, se dispuso, en desarrollo del artículo 1º del Decreto 3860 de 2005, y de conformidad con lo establecido en el numeral 7.1 de la parte motiva de la misma resolución, reconocer los efectos económicos causados por las particularidades de que trata su artículo 1º, a partir de la fecha de la petición de revisión. Para tales efectos se fijaron unos costos y cargos transitorios que recogen el mencionado efecto económico y, en el parágrafo del mismo artículo, se estableció que:
“Los costos anuales y cargos máximos de que trata este artículo se aplicarán máximo hasta el 31 de diciembre de 2007 o antes, en caso que se logre la recuperación de los ingresos dejados de percibir entre la fecha de presentación de la reclamación y la fecha en que entren en vigencia los nuevos cargos. Para tal efecto, el Operador de Red deberá reportar mensualmente a la CREG el balance producido por estos efectos. De considerar que la senda no es suficiente para cubrir los ingresos resultantes de la aplicación de la presente resolución, la empresa deberá solicitar una nueva senda con un mínimo de tres meses antes que finalice la misma.”
Que ELECTROCOSTA S.A. E.S.P. a través de comunicaciones radicadas en la CREG bajo los números E-2007-002610 de marzo 27 de 2007, E-2007-005363 de julio 6 de 2007, E-2007-008421 de octubre 26 de 2007 y E-2007-008498 de octubre 29 de 2007 remitió a la CREG información sobre el cálculo de los ingresos dejados de percibir e ingresos recuperados para ELECTRICARIBE y ELECTROCOSTA, en virtud de las disposiciones del artículo 7 de la Resolución CREG – 102 de 2005;
Que ELECTROCOSTA S.A. E.S.P. a través de comunicaciones radicadas en la CREG bajo los números E-2007-009308 de noviembre 29 de 2007, E-2007-009503 de diciembre 05 de 2007 y E-2008-001772 de marzo 04 de 2008, solicitó extender hasta el cálculo del Cu del mes de enero de 2008, la aplicación de la senda para la citada empresa;
Que por lo anterior, ELECTROCOSTA S.A. E.S.P., presentó el balance entre el mes de enero de 2006 a diciembre de 2007, entre los ingresos dejados de percibir y los ingresos recuperados por la aplicación de los costos anuales y cargos máximos transitorios, durante el mismo periodo, con un saldo pendiente por recuperar según la empresa de $1.027.091.184;
Que mediante auto del 15 de mayo de 2008, la CREG inició la Actuación Administrativa con el objeto de decidir la solicitud de extender la aplicación de la senda para la recuperación de ingresos, a través de los cargos máximos transitorios establecidos en el artículo 7 de la Resolución CREG 102 de 2005;
Que mediante la comunicación CREG S-2008-001500 del 15 de mayo de 2008, se solicitó a ELECTROCOSTA S.A. E.S.P., la publicación del resumen de su solicitud en un diario de amplia circulación;
Que ELECTROCOSTA S.A.E.S.P. mediante comunicación radicada en la CREG con el número E-2008-004187 del 23 de mayo de 2008, allegó copia del aviso publicado en el diario La República del 23 de mayo de 2008;
Que mediante Auto del 11 de agosto de 2008, la CREG decretó la siguiente prueba dentro de la actuación administrativa con el objeto de decidir la solicitud de extender la aplicación de la senda para la recuperación de ingresos, a través de los cargos máximos transitorios establecidos en el artículo 7 de la Resolución CREG 102 de 2005, en los siguientes términos:
“Para (sic) la Oficina Técnica de la CREG, infórmese con destino a la presente actuación dentro del término de cinco (5) (sic) contados a partir del recibo de la correspondiente comunicación, las ventas de energía reportadas al SUI por las empresas que atienden en el mercado de comercialización de COSTA ATLANTICA entre el mes de enero de 2006 y el mes de diciembre de 2007.”
Que mediante comunicación CREG S-2008-002568 del 08 de septiembre de 2008, se solicitó a la Oficina Técnica de la CREG la información requerida mediante Auto de pruebas del 11 de agosto de 2008;
Que la Oficina Técnica de la CREG, mediante comunicación radicada en la CREG con el número E-2008-007864 del 09 de septiembre de 2008, allegó la información requerida mediante Auto de pruebas del 11 de agosto de 2008;
Que mediante auto del 30 de enero de 2009 se decidió acumular las actuaciones administrativas de unificación de cargos de distribución y comercialización (expediente 2007-0053) y de extensión de la senda aplicada por la Electrificadora de la Costa Atlántica S.A. E.S.P. (expediente 2008-0017), las cuales se integraron en una sola actuación identificada con el expediente 2007-0053;
Que mediante comunicación radicada en la CREG con el número E-2009-001552, la ELECTRIFICADORA DEL CARIBE S.A. E.S.P. desiste de la solicitud de integración de los mercados de comercialización y distribución de energía eléctrica de Electricaribe y Electrocosta, que se tramita bajo el expediente 2007-0053, para que dicha solicitud se tramite exclusivamente bajo el expediente 2007-0066 y el expediente 2007-0053 continúe, exclusivamente, con la solicitud de extensión de la aplicación de la senda para la recuperación de ingresos, a través de los cargos máximos establecidos en el artículo 7 de la Resolución CREG – 102 de 2005;
Que en el artículo 1 de la Resolución CREG – 110 de 2009 se decidió, “Acumular la actuación administrativa de que da cuenta el Expediente 2007-0053, exclusivamente, en lo relativo a la integración de los mercados de distribución y comercialización de energía eléctrica de la ELECTRIFICADORA DE LA COSTA ATLÁNTICA S.A E.S.P y de la ELECTRIFICADORA DEL CARIBE S.A E.S.P, con la actuación administrativa de que da cuenta el Expediente 2008-0066 cuyo objeto es decidir la solicitud de aprobación de costos y cargos por uso de la empresa ELECTRIFICADORA DEL CARIBE S.A E.S.P.”, como consecuencia, la actuación de que da cuenta el expediente 2007-0053 continuó, exclusivamente, con la solicitud de extensión de la aplicación de la senda para la recuperación de ingresos, a través de los cargos máximos establecidos en el artículo 7 de la Resolución CREG – 102 de 2005;
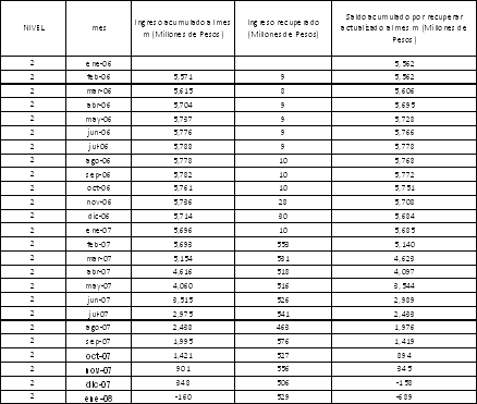
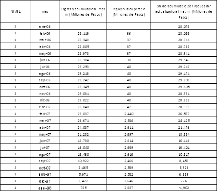
Que la Comisión, con base en la información allegada a la actuación correspondiente a las ventas reportadas en el SUI entre el mes de enero de 2006 y el mes de diciembre de 2007, realizó el balance para ELECTROCOSTA S.A. E.S.P., entre los ingresos dejados de percibir y los ingresos recuperados por la aplicación de los cargos máximos transitorios aplicados a los niveles de tensión 3,2 y 1, durante el mismo periodo, con un saldo a favor de la empresa de $4.380.315.344, según se puede apreciar en las siguientes tablas:
Tabla 1: Saldo Acumulado ELECTROCOSTA Nivel de Tensión 1
Tabla 2: Saldo Acumulado ELECTROCOSTA Nivel de Tensión 2
Tabla 3: Saldo Acumulado ELECTROCOSTA Nivel de Tensión 3
Que en las anteriores estimaciones ha de tenerse en cuenta que la actualización de ingresos debe realizarse con el IPP en virtud de que esta fórmula fue la acogida en la Resolución CREG 102 de 2005 y no el DTF, como lo pretende ELECTROCOSTA;
Que respecto del nivel de tensión 4 no pueden existir saldos a favor o en contra de la empresa pues su remuneración, prevista en la Resolución CREG - 082 de 2002, responde a una metodología de ingreso máximo que la sustrae del riesgo de demanda;
Que por lo anterior, ELECTROCOSTA S.A. E.S.P., logró la recuperación de sus ingresos con la aplicación de los costos anuales y cargos máximos transitorios establecidos mediante Resolución CREG 102 de 2005, por lo cual no hay lugar extender la aplicación de la senda establecida en artículo 7 de la Resolución CREG 102 de 2005;
Que como la empresa, conforme a lo establecido en el artículo 7 de la Resolución CREG 102 de 2005, tenía la obligación de aplicar los Cargos Máximos transitorios y el Costo Anual transitorio hasta el 31 de diciembre de 2007 o antes, en caso que se lograra la recuperación de los ingresos dejados de percibir, y según se puede inferir, los ingresos se recuperaron antes de tal fecha pues la empresa obtuvo un saldo a favor de $4.380.315.344, se ordenará remitir copia de esta resolución a la Superintendencia de Servicios Públicos Domiciliarios para lo de su competencia, específicamente, para que investigue la posible infracción por parte de ELECTROCOSTA de la Resolución CREG 102 de 2005;
Que la Comisión de Regulación de Energía y Gas, en su Sesión No. 433 del día 15 de diciembre de 2009, acordó expedir la presente Resolución;
RESUELVE:
ARTÍCULO 1. No acceder a la solicitud de la ELECTRIFICADORA DE LA COSTA ATLANTICA S.A. E.S.P. (Radicados CREG E-2007-009308, E-2007-009503 y E-2008-001772 de marzo 04 de 2008) de extender la aplicación de la senda para la recuperación de ingresos, a través de los cargos máximos transitorios establecidos en el artículo 7 de la Resolución CREG 102 de 2005, por las razones que aparecen en la parte motiva de la presente Resolución.
ARTÍCULO 2. Remítase copia de la presente resolución a la Superintendencia de Servicios Públicos Domiciliarios para los fines indicados en la parte motiva de esta Resolución.
ARTÍCULO 3. Recursos. La presente resolución deberá notificarse a la ELECTRIFICADORA DEL CARIBE S.A. E.S.P. Contra lo dispuesto en este acto procede el recurso de reposición, el cual se podrá interponer ante la Dirección Ejecutiva de la CREG, dentro de los cinco (5) días hábiles siguientes a la fecha de su notificación.
PUBLÍQUESE Y CÚMPLASE
Dada en Bogotá, D.C., el día 15 DIC. 2009
SILVANA GIAIMO CHÁVEZ | HERNÁN MOLINA VALENCIA |
Viceministra de Minas y Energía | Director Ejecutivo |
Delegada del Ministro de Minas y Energía
Presidente |  |
|
Doble click sobre el archivo anexo para bajarlo(Resoluciones CREG) |
Doble click sobre el archivo anexo para bajarlo(Documento CREG) |
|