| Publicación Diario Oficial No.: | 46.238, el día:11/April/2006 |
| Publicada en la WEB CREG el: | 10/April/2006 |
|
RESOLUCIÓN No.012
(14 MAR. 2006 )
Por la cual se aprueban el Cargo Promedio de Distribución por uso del Sistema de Distribución de gas combustible por red y el Cargo Máximo Base de Comercialización de gas combustible por redes a usuarios regulados, para el mercado relevante conformado por el municipio de Cisneros (Antioquia) según solicitud tarifaria presentada por la empresa EDALGAS S.A. ESP
LA COMISIÓN DE REGULACIÓN DE ENERGÍA Y GAS
En ejercicio de sus atribuciones constitucionales y legales, en especial las conferidas por la Ley 142 de 1994, y los Decretos 1524 y 2253 de 1994, y
CONSIDERANDO:
Que el Artículo 14.28 de la Ley 142 de 1994, definió el servicio público domiciliario de gas combustible como el conjunto de actividades ordenadas a la distribución de gas combustible y estableció la actividad de comercialización como complementaria del servicio público domiciliario de gas combustible;
Que según lo dispuesto por el Artículo 28 de la Ley 142 de 1994, la construcción y operación de redes para el transporte de gas, así como el señalamiento de las tarifas por uso, se regirán exclusivamente por esa Ley;
Que el Artículo 73.11 de la Ley 142 de 1994, atribuyó a la Comisión de Regulación de Energía y Gas, la competencia para establecer las fórmulas para la fijación de las tarifas del servicio público domiciliario de gas combustible;
Que el Artículo 87.9 de la Ley 142 de 1994, establece que “cuando las entidades públicas aporten bienes o derechos a las empresas de servicios públicos, podrán hacerlo con la condición de que su valor no se incluya en el cálculo de las tarifas que hayan de cobrarse a los usuarios de los estratos que pueden recibir subsidios, de acuerdo con la Ley”;
Que el Artículo 17 del Decreto 3531 de 2004 dispone que “Los recursos aprobados para cofinanciar los proyectos de infraestructura serán aportados a la Empresa de Servicios Públicos comprometida con el proyecto en los términos establecidos en el Numeral 87.9 del Artículo 87 de la Ley 142 de 1994 y, con sujeción a dicha norma, el aporte deberá figurar en el presupuesto del Fondo Especial Cuota de Fomento”;
Que según lo dispuesto por el Artículo 88.1 de la Ley 142 de 1994, la Comisión de Regulación de Energía y Gas podrá establecer topes máximos y mínimos tarifarios, de obligatorio cumplimiento por parte de las empresas;
Que el Artículo 126 de la Ley 142 de 1994 establece que vencido el período de vigencia de las fórmulas tarifarias éstas continuarán rigiendo mientras la Comisión no fije las nuevas;
Que mediante Resolución CREG-045 de 2002 se estableció la metodología de cálculo y ajuste para la determinación de la tasa de retorno que se utilizará en las fórmulas tarifarias de la actividad de distribución de gas combustible por redes para el próximo período;
Que mediante Resolución CREG-011 de 2003 se adoptó la metodología y criterios generales para determinar la remuneración de las actividades de distribución y comercialización de gas combustible y las formulas generales para la prestación del servicio público domiciliario de distribución de gas combustible por redes de tubería;
Que mediante Resolución CREG-100 de 2003, la Comisión adoptó Estándares de Calidad en el servicio público domiciliario de gas natural y GLP en Sistemas de Distribución por redes de tubería;
Que en el Documento CREG-009 de 2004, están contenidos los criterios para establecer los gastos eficientes de AOM para las actividades de distribución y comercialización, el factor de eficiencia en redes, así como los gastos eficientes de AOM para el control y monitoreo de los estándares de calidad definidos mediante Resolución CREG-100 de 2003;
Que EDALGAS S.A. E.S.P. mediante comunicación con radicado CREG E2005-007127, recibida el 23 de Septiembre de 2005, reportó a la CREG las proyecciones de demanda, las proyecciones de gastos de AOM de distribución y el programa de nuevas inversiones, clasificadas según el listado de unidades constructivas establecido en el Anexo No. 1 de la Resolución CREG 011 de 2003;
Que EDALGAS S.A. E.S.P. en cumplimiento de lo dispuesto en los parágrafos de los artículos 20 y 29 de la Resolución CREG-011 de 2003, el 21 de Septiembre de 2005 publicó en un diario de amplia circulación el resumen del estudio de cargos que presentó a la Comisión, con la información señalada en la Circular CREG 021 de 2003, con el fin de que los terceros interesados pudieran presentar ante la Comisión observaciones sobre tal información, y envió a la Comisión copia del aviso de prensa respectivo (E2005-007127);
Que mediante comunicaciones radicadas en la CREG con el número: E2005-007898, E2005-008390, la empresa EDALGAS S.A. ESP presentó las ampliaciones y aclaraciones solicitadas por la CREG, a la información reportada en su solicitud tarifaria;
Que la Unidad de Planeación Minero-Energética, en comunicación con radicado E2005-008121, aprobó la metodología utilizada para las proyecciones de demanda del mercado que va a atender la empresa EDALGAS S.A. E.S.P., de conformidad con lo establecido en el Numeral 7.5 de la Resolución CREG-011 de 2002;
Que mediante documento CONPES 3378 del 5 de Septiembre de 2005 fue aprobada la cofinanciación con recursos del Fondo Especial Cuota de Fomento del proyecto de construcción de redes de distribución de gas natural domiciliario para el municipio de Cisneros en Antioquia;
Que mediante comunicación radicada en la CREG con el número E2005-007898, EDALGAS S.A. ESP manifestó que los recursos aportados por el Fondo Especial Cuota de Fomento para la ejecución del proyecto en Cisneros equivalen al 40% de la inversión total;
Que la Dirección de Gas del Ministerio de Minas y Energía mediante comunicación radicada con el número E2005-004754, solicitó a la Comisión adoptar los mecanismos apropiados para garantizar que la información suministrada para efectos del trámite tarifario sea la misma que fue presentada por los solicitantes a la UPME para el proceso de evaluación y elegibilidad de los proyectos;
Que la Comisión solicitó la información presentada por la empresa EDALGAS S.A. ESP al Fondo Especial Cuota de Fomento (S2006-000093) para el proceso de evaluación y elegibilidad del proyecto, y dicha información fue remitida por ECOGAS mediante oficio radicado con número E2006-000858 y es coherente con la información presentada por la empresa para efectos tarifarios;
Que mediante comunicación con radicado de salida S2006-00660 la Comisión informó a ECOGAS, en su condición de administrador de los recursos del Fondo Especial Cuota de Fomento, sobre el proceso de aprobación de los cargos de distribución y comercialización del Municipio de Cisneros (Antioquia);
Que como resultado del análisis de la información y de las respuestas presentadas a la Comisión por EDALGAS S.A. E.S.P., se realizaron los ajustes pertinentes a la información requerida para el cálculo de los Cargos de que tratan los Artículos 7 y 23 de la Resolución CREG 011 de 2003, según se relacionan, con su respectivo sustento, en el documento soporte de la presente Resolución;
Que la Comisión de Regulación de Energía y Gas efectuó los cálculos tarifarios correspondientes a partir de la metodología establecida en la Resolución CREG-011 de 2003 y demás información disponible en la Comisión, los cuales se presentan en el Documento CREG-007 de 2006;
Que la Comisión de Regulación de Energía y Gas en su sesión 285 de marzo de 2006 aprobó el Cargo Promedio por Uso del Sistema de Distribución y el Cargo Máximo Base de Comercialización del Mercado Relevante conformado por el municipio de Cisneros en el Departamento de Antioquia;
R E S U E L V E:
ARTÍCULO 1°. Mercados Relevantes de Distribución y Comercialización. Para efectos de aplicación de esta Resolución el mercado relevante de distribución y comercialización está conformado por el municipio de Cisneros, en el Departamento de Antioquia.
ARTÍCULO 2°. Inversión Base. La Inversión Base para determinar el cargo promedio de distribución para el Mercado Relevante definido en el Artículo 1 de esta Resolución se compone como se indica a continuación:
2.1. Inversión Existente. No se reconoce Inversión Existente, de acuerdo a lo reportado por la empresa.
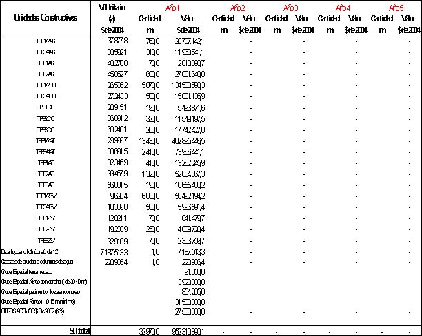
2.2. Programa de Nuevas Inversiones. Para el Programa de Nuevas Inversiones se reconocen los siguientes valores, con la descripción presentada en el Anexo 1 y la proyección de usuarios que se muestra en el Anexo 2 de la presente Resolución:
 | Año 1 | Año 2 | Año 3 | Año 4 | Año 5 |
| Inversión EDALGAS | 571.386.534 | - | - | - | - |
| Inversión FECF | 380.924.356 | - | - | - | - |
| Total de Inversiones | 952.310.890 | - | - | - | - |
FECF: Fondo Especial Cuota de Fomento Cifras en pesos del 31 de Diciembre de 2004.
Parágrafo 1. Las desviaciones que se presenten en el Programa de Nuevas Inversiones serán consideradas de conformidad con lo establecido en el literal b) del numeral 7.1 de la resolución CREG 011 de 2003.
Parágrafo 2. Para efectos de lo dispuesto en el Articulo 87.9 de la Ley 142 de 1994 se establece que el 40% de la Inversión Base, correspondiente a los recursos que serán aportados por el Fondo Especial Cuota de Fomento, equivalen a $ 380.924.356.
ARTÍCULO 3°. Demandas Esperadas de Volumen. Para el cálculo tarifario se utilizó la Demanda de Volumen para el horizonte de proyección presentada en el Anexo 2 de esta Resolución.
ARTÍCULO 4°. Gastos de Administración, Operación y Mantenimiento – AOM. El nivel de eficiencia obtenido del modelo de optimización es 71,37%. Aplicando este resultado al valor presente de los gastos de AOM propuestos para el Horizonte de Proyección, se obtiene el siguiente valor para incorporar al cálculo del cargo que remunera los gastos de AOM. En el Anexo 3 se presentan los gastos de AOM para el Horizonte de Proyección.
Componente | $ del 31 de Dic/2004 |
Valor Presente de los gastos de AOM, con nivel de eficiencia
| $ 574.348.579 |
ARTÍCULO 5°. Cargo Promedio de Distribución. A partir de la vigencia de la presente Resolución, el cargo promedio de distribución aplicable en el Mercado Relevante del Artículo 1, para recuperar los costos de inversión y los gastos de AOM para la distribución domiciliaria de gas combustible por red en el municipio de Cisneros se fija en $396,42/m3 ($ del 31 de Diciembre de 2004) desagregados de la siguiente manera:
Componente | $/m3 |
Cargo Promedio de Distribución
| 396,42 |
Componente de Inversión (EDALGAS S.A. ESP)
| 139,91 |
Componente de Inversión (FECF)
| 93,28 |
|
| 163,23 |
Cargo Piso de Distribución
| 28,33 |
NOTA: Cifras en pesos del 31 de diciembre de 2004
FECF: Fondo Especial Cuota de Fomento
Parágrafo 1. El cargo piso aplicable en el Mercado Relevante del Artículo 1 se fija en $28,33/m3, expresado en pesos del 31 de diciembre de 2004.
Parágrafo 2. Estos Cargos de Distribución se actualizarán de conformidad con lo establecido en el numeral 7.8 de la Resolución CREG-011 de 2003.
ARTÍCULO 6°. Cargo Máximo Base de Comercialización. A partir de la vigencia de la presente Resolución, el cargo máximo base de comercialización aplicable en el Mercado Relevante del Artículo 1, es el siguiente.
NOTA: Cifras en pesos del 31 de diciembre de 2004, las comas indican decimales
Parágrafo: El Cargo de Comercialización se actualizará de conformidad con lo establecido en el Artículo 24 de la Resolución CREG-011 de 2003.
ARTÍCULO 7°. Fórmula Tarifaria. La Fórmula Tarifaria aplicable al mercado relevante definido en el Artículo 1 de la presente Resolución corresponderá a la establecida en el Artículo 32 de la Resolución CREG 011 de 2003.
ARTÍCULO 8°. Vigencia de la Fórmula Tarifaria, del Cargo Promedio de Distribución y del Cargo Máximo Base de Comercialización. La fórmula tarifaria, incluido el Cargo Promedio de Distribución y el Cargo Máximo Base de Comercialización que se establecen en esta Resolución, regirán a partir de la fecha en que la presente Resolución quede en firme y durante el término de vigencia de las fórmulas tarifarias definidas en la Resolución CREG-011 de 2003. Vencido este período las fórmulas tarifarias continuarán rigiendo mientras la Comisión no fije las nuevas, tal como está previsto en el Artículo 126 de la Ley 142 de 1994.
ARTÍCULO 9°. La presente Resolución deberá notificarse a la empresa EDALGAS S.A. ESP y a la empresa ECOGAS y publicarse en el Diario Oficial. Contra las disposiciones contenidas en esta Resolución procede el Recurso de Reposición, el cual podrá interponerse ante la Dirección Ejecutiva de la CREG dentro de los cinco (5) días hábiles siguientes a la fecha de su notificación.
NOTIFÍQUESE, PUBLÍQUESE Y CÚMPLASE
Dada en Bogotá, D.C. 14 MAR. 2006
ANEXO 1 – PROGRAMA DE NUEVAS INVERSIONES
(Valores Expresados en $ del 31 de Diciembre de 2004)
ANEXO 2
DEMANDAS DE VOLUMEN
ANEXO 3
PROYECCIÓN DE GASTOS DE ADMINISTRACIÓN, OPERACIÓN Y MANTENIMIENTO –AOM
|
Doble click sobre el archivo anexo para bajarlo(Resoluciones CREG) |
Doble click sobre el archivo anexo para bajarlo(Documento CREG) |
|