| Publicación Diario Oficial No.: | 47.638, el día:01/March/2010 |
| Publicada en la WEB CREG el: | 02/March/2010 |
RESOLUCIÓN No.021
( 16 FEB. 2010 )
Por la cual se establece una opción tarifaria para definir los cargos máximos de prestación del servicio de transporte de GLP por ductos.
LA COMISIÓN DE REGULACIÓN DE ENERGÍA Y GAS
En ejercicio de sus atribuciones legales, en especial las conferidas por la Ley 142 de 1994 y de acuerdo con los Decretos 1524 y 2253 de 1994 y,
C O N S I D E R A N D O Q U E:
De conformidad con lo establecido en el Artículo 14.28 de la Ley 142 de 1994 el Servicio Público Domiciliario de Gas Combustible "es el conjunto de actividades ordenadas a la distribución de gas combustible, por tubería u otro medio, desde un sitio de acopio de grandes volúmenes o desde un gasoducto central hasta la instalación de un consumidor final, incluyendo su conexión y medición. También se aplicará esta ley a las actividades complementarias de comercialización desde la producción y transporte de gas por un gasoducto principal, o por otros medios, desde el sitio de generación hasta aquel en donde se conecte a una red secundaria".
El artículo 73.11 de la Ley 142 de 1994 atribuyó a la Comisión de Regulación de Energía y Gas, la competencia para establecer las fórmulas para la fijación de las tarifas del servicio público domiciliario de gas combustible.
De acuerdo con lo estipulado en el artículo 74.1 de la Ley 142 de 1994, es función de la CREG "regular el ejercicio de las actividades de los sectores de energía y gas combustible para asegurar la disponibilidad de una oferta energética eficiente, propiciar la competencia en el sector de minas y energía y proponer la adopción de las medidas necesarias para impedir abusos de posición dominante y buscar la liberación gradual de los mercados hacia la libre competencia. La Comisión podrá adoptar reglas de comportamiento diferencial, según la posición de las empresas en el mercado".
Según lo dispuesto por el Artículo 88.1 de la Ley 142 de 1994, la Comisión Reguladora podrá establecer topes máximos y mínimos tarifarios, de obligatorio cumplimiento por parte de las empresas.
El artículo 87 de la Ley 142 de 1994 estableció los criterios bajo los cuales se debe definir el régimen tarifario de las empresas de servicios públicos;
Mediante la Resolución CREG 122 de 2008 se adoptaron los criterios generales para determinar la remuneración de la actividad de Transporte de Gas Licuado del Petróleo, GLP, por ductos.
Según lo dispone la Ley 142 de 1994, artículo 90, las Comisiones de Regulación al definir sus tarifas pueden establecer varias alternativas y siempre podrán diseñar y hacer públicas diversas opciones tarifarias que tomen en cuenta diseños óptimos de tarifas.
Se prevé que los nuevos cargos de transporte, resultantes de aplicar la metodología de la Resolución CREG 122 de 2008, presenten aumentos relevantes en algunos puntos del sistema de transporte de GLP, por lo que se considera pertinente autorizar al transportador para que adopte una opción tarifaria que permita moderar el impacto que tengan las nuevas tarifas de transporte de GLP en el usuario final.
De conformidad con lo establecido en el numeral 3 del artículo 2 de la Resolución CREG 097 de 2004, la presente Resolución no será sometida a las disposiciones sobre publicidad de proyectos de regulaciones previstas en el artículo 9 del Decreto 2696 de 2004, por razones de conveniencia general y de oportunidad, dado que es necesario adoptar las disposiciones acá definidas para permitir al transportador aplicar la opción tarifaria y reducir el impacto para los usuarios finales de los posibles aumentos en la tarifa de prestación del servicio de transporte de GLP por ductos.
La Comisión de Regulación de Energía y Gas, en su sesión 444 del 16 de febrero de 2010 aprobó la opción que podría aplicar el transportador para calcular la tarifa por la prestación del servicio de transporte de GLP por ductos.
R E S U E L V E
ARTÍCULO 1. ÁMBITO DE APLICACIÓN. Esta Resolución tiene por objeto ofrecer una opción tarifaria que podrá aplicar el transportador para calcular la tarifa del servicio público de transporte de GLP por ductos.
ARTÍCULO 2. OPCIÓN TARIFARIA. El transportador podrá aplicar las nuevas tarifas de transporte de GLP por ductos que adopte la CREG con base en la metodología de la Resolución CREG 122 de 2008, o podrá optar por calcular las tarifas de conformidad con la opción tarifaria que se define a continuación.
1. El transportador deberá informar a la Comisión de Regulación de Energía y Gas, CREG, y a la Superintendencia de Servicios Públicos Domiciliarios, SSPD, mediante comunicación suscrita por el representante legal, la decisión de acogerse a la opción tarifaria en los términos previstos en esta Resolución.
2. La opción tarifaria de que trata esta Resolución solamente podrá ser aplicada por el transportador una vez se actualicen los cargos promedio de transporte de GLP de conformidad con lo establecido en el artículo 13o de la Resolución CREG 122 de 2008.
3. El término de vigencia de la opción tarifaria será de hasta sesenta (60) meses contados a partir de la entrada en vigencia de los cargos adoptados por la CREG con base en la metodología de la Resolución CREG 122 de 2008.
4. Una vez escogida la opción tarifaria definida en la presente Resolución, el transportador podrá, durante el término de vigencia señalado en el numeral anterior, dar por terminada la aplicación de la opción tarifaria. Al hacerlo, el transportador definirá su tarifa nuevamente a partir de los cargos adoptados por la CREG con base en la metodología de la Resolución CREG 122 de 2008. La aplicación de la tarifa será inmediata una vez se de cumplimiento a lo dispuesto en el artículo 13o de la Resolución CREG 122 de 2008 y se haya informado a la Comisión de Regulación de Energía y Gas y a la Superintendencia de Servicios Públicos Domiciliarios.
5. En caso de darse la situación indicada en el anterior numeral, los saldos acumulados que existiesen no podrán ser trasladados en la tarifa de transporte a los respectivos remitentes.
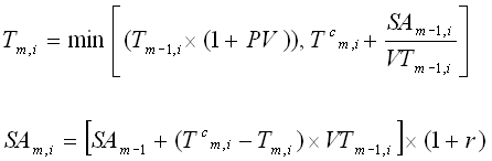
6. Para calcular el cargo de transporte resultante de la opción tarifaria, para cada tramo de ducto i, el transportador aplicará la siguiente expresión:
Donde:
: Mes para el cual se calcula el cargo de transporte para el tramo de ducto i.
: Porcentaje de variación mensual que aplicará el transportador sobre el cargo de transporte. Tendrá un valor mínimo de 0% y un máximo de 6%. Este porcentaje deberá ser definido en valores discretos de 0.5%.
El se podrá cambiar en cualquier mes durante el período de vigencia de la opción de tal forma que se module el valor de a través del tiempo, para evitar incrementos pronunciados cuando el supere el .
: Saldo acumulado a favor del transportador, expresado en $, para el tramo de gasoducto i en el mes , por las diferencias entre el cargo de transporte calculado y el cargo de transporte aplicado . A la fecha de aplicar por primera vez la presente opción el saldo acumulado será cero.
: Cantidad de GLP transportado durante el mes m-1 en el tramo de ducto i, expresado en kg.
: Cargo de transporte, expresado en $/kg, calculado para el mes m con base en la metodología definida en la Resolución CREG 122 de 2008, para el tramo de ducto i.
: Cargo de transporte, expresado en $/kg, aplicado en el mes m-1, para el tramo de ducto i.
: Tasa de interés mensual que se le reconoce al transportador por los saldos acumulados en la variable . Este valor se obtendrá a partir de la tasa efectiva anual certificada por la Superintendencia Financiera, para la modalidad de crédito de consumo y ordinario, que esté vigente en la fecha de la liquidación.
7. Al momento de acogerse a la opción tarifaria el transportador deberá indicar el porcentaje de variación mensual, PV. Cualquier modificación al valor de PV deberá ser informada a la CREG y a la SSPD.
8. El transportador deberá mantener actualizada la información relativa a los saldos acumulados y el histórico de los valores que se trasladan a la tarifa de transporte del respectivo remitente.
9. Además de lo establecido en la regulación vigente en relación con la información que debe contener la factura, el transportador deberá incluir el costo de prestación del servicio obtenido con la opción tarifaria y la tarifa que corresponda.
ARTÍCULO 3. VIGENCIA. La presente resolución rige a partir de la fecha de su publicación en el Diario Oficial.
PUBLÍQUESE Y CÚMPLASE
Dada en Bogotá D.C., el día 16 FEB.2010
SILVANA GIAIMO CHÁVEZ | JAVIER AUGUSTO DÍAZ VELASCO |
Viceministra de Minas y Energía | Director Ejecutivo |
Delegada del Ministro de Minas y Energía
Presidente |  |
|
Doble click sobre el archivo anexo para bajarlo(Resoluciones CREG) |
Doble click sobre el archivo anexo para bajarlo(Documento CREG) |
|