| Publicación Diario Oficial No.: | 46.397, el día:20/September/2006 |
| Publicada en la WEB CREG el: | 15/August/2006 |
|
RESOLUCIÓN No.048
( 25 JUL. 2006 )
Por la cual se programan nuevas metas individuales para el cumplimiento del programa de reposición y mantenimiento de cilindros portátiles utilizados en la prestación del servicio de Gas Licuado del Petróleo (GLP) para el período octubre de 2006 a marzo de 2007.
LA COMISIÓN DE REGULACIÓN DE ENERGÍA Y GAS
En ejercicio de sus facultades legales, en especial las conferidas por las Leyes 142 de 1994 y 689 de 2001, y en desarrollo de los Decretos 1524 y 2253 de 1994, y
C O N S I D E R A N D O :
Que de conformidad con lo dispuesto en la Ley 142 de 1994 corresponde a la Comisión de Regulación de Energía y Gas regular la prestación del servicio de gas combustible;
Que de acuerdo a lo establecido en el artículo 23 de la Ley 689 de 2001 corresponde a la CREG expedir la regulación relacionada con la reposición y mantenimiento de los cilindros y tanques estacionarios utilizados en la comercialización del GLP;
Que en desarrollo de lo establecido en el artículo 23 de la Ley 689 de 2001, la CREG expidió la Resolución 019 de 2002, por la cual se adopta la regulación aplicable a la reposición y mantenimiento de cilindros y tanques estacionarios utilizados en la prestación del servicio de Gas Licuado del Petróleo (GLP), disponiendo el establecimiento de metas individuales de reposición de cilindros portátiles;
Que la Resolución CREG-071 de 2002 establece que la CREG definirá metas de reposición sin perjuicio de la programación de cantidades adicionales que realicen las empresas distribuidoras de GLP, sujetas a la disponibilidad de recursos;
Que la Resolución CREG 009 de 2006 dispone en el parágrafo del artículo 3º que “La Comisión en resolución posterior establecerá medidas para la reposición correspondiente a los cilindros de 100 libras (45 kilogramos) , en razón a que se requiere una programación intensiva de cilindros de este tamaño”;
Que en los considerandos de la Resolución CREG 009 de 2006 se menciona que los recursos del Margen de Seguridad correspondientes a otras vigencias se utilizarán para la reposición de los cilindros de 100 libras (45 kilogramos) ;
Que por Resolución CREG 025 de 2006 se flexibiliza la reposición de cilindros de 100 libras (45 kilogramos) por cilindros de 100 libras (45 kilogramos) o 77 libras (35 kilogramos);
Que mediante Resolución CREG 018 de 2006, se ordena publicar un proyecto de Resolución para la adopción del nuevo valor del componente del Margen de Seguridad (Z).
Que mediante Resolución CREG-045 de 2006, se aprueba el nuevo valor para el componente del Margen de Seguridad (Z), razón por la cual ingresarán a la Fiducia nuevos recursos lo que permite programar nuevas metas de reposición para los cilindros portátiles de 20 libras (9 kilogramos), 40 libras (18 kilogramos) y de 100 libras (45 kilogramos).
Que en razón a que la CREG no ha recibido propuesta de regionalización por parte de las empresas distribuidoras, únicas conocedoras de las necesidades focalizadas de reposición, no se aplicará un criterio de regionalización sino una reposición en forma general.
Que la Comisión de Regulación de Energía y Gas, en la Sesión No. 298 del 25 de julio de 2006, acordó expedir las metas individuales de reposición y mantenimiento de cilindros utilizados en la prestación servicio de Gas Licuado del Petróleo (GLP).
R E S U E L V E :
ARTÍCULO 1. Criterios generales para la programación y ejecución de las actividades de reposición y mantenimiento de cilindros portátiles.
1. Las metas individuales que se establecen en esta Resolución son las metas mínimas que debe cumplir cada empresa distribuidora de GLP que utilice cilindros portátiles para la prestación del servicio. El incumplimiento de estas metas dará lugar a la aplicación de los correspondientes procedimientos administrativos por parte de la Superintendencia de Servicios Públicos Domiciliarios.
2. El Comité Fiduciario podrá adoptar lineamientos generales, basados en criterios de eficiencia, para coordinar con las empresas distribuidoras de GLP las programaciones que éstas últimas deben realizar para el cumplimiento de sus metas de reposición, respetando las metas individuales fijadas en la presente Resolución.
3. Las empresas distribuidoras de GLP podrán programar, para reposición o mantenimiento, cantidades de cilindros portátiles adicionales a las previstas en esta Resolución, y su ejecución estará sujeta a la aprobación del Comité Fiduciario con base en la disponibilidad de recursos.
4. Los recursos disponibles del Margen de Seguridad provenientes de vigencias anteriores deberán destinarse a la ejecución de parte del programa de reposición de cilindros de 100 libras (45 kilogramos) que se establece en esta resolución.
5. Las empresas distribuidoras de GLP, que en los términos previstos en el artículo 11.8 de la Ley 142 de 1994 informen del inicio de sus operaciones a la Superintendencia de Servicios Públicos Domiciliarios y a la Comisión de Regulación de Energía y Gas, serán incluidas dentro del programa de reposición y mantenimiento, para lo cual la CREG procederá a fijar las metas individuales correspondientes.
6. Cuando las empresas distribuidoras a las cuales se les ha asignado metas sean sujeto de fusiones, debidamente autorizadas por la autoridad competente, las metas individuales de la sociedad absorbente corresponderán a las metas agregadas de cada una de las empresas absorbidas.
7. Las metas individuales de mantenimiento y reposición se verificarán trimestralmente.
8. A solicitud de las empresas distribuidoras, el Comité Fiduciario podrá autorizar cantidades adicionales de reposición a aquellas que ya repusieron la totalidad de su parque en alguno de los tamaños. Estas cantidades no deben superar el equivalente al 1% de su parque, y se podrán aprobar, siempre y cuando estas nuevas cantidades se soliciten como consecuencia del crecimiento de su demanda correspondiente a la atención de usuarios que eran atendidos por otras empresas. Para este caso, el Comité Fiduciario podrá solicitar a la CREG la información necesaria para determinar cuales empresas han culminado la reposición de su parque y el parque estimado que actualmente utilizan.
ARTÍCULO 2. Ingreso de cilindros repuestos al parque en circulación. Es obligación de los distribuidores ingresar al parque en circulación la totalidad de los cilindros repuestos con cargo a los recursos provenientes del Margen de Seguridad. Por lo tanto debe existir correspondencia entre las ventas reportadas en los nuevos tamaños y los cilindros repuestos en los antiguos tamaños.
ARTÍCULO 3. Utilización de nuevos recursos provenientes del Margen de Seguridad. Los recursos que ingresen a la fiducia como consecuencia del ajuste al Margen de Seguridad para el período comprendido entre la fecha de entrada en vigencia del ajuste y marzo de 2007 deberán utilizarse exclusivamente para el cumplimiento de las metas establecidas en la presente Resolución.
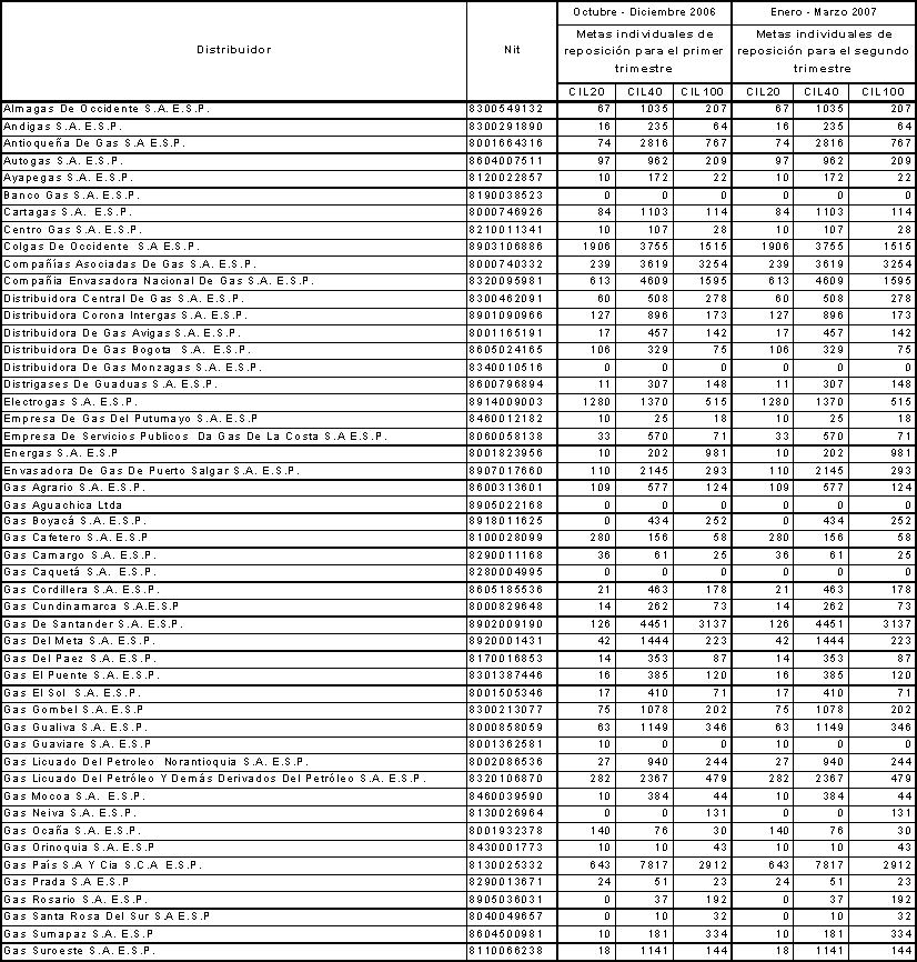
ARTÍCULO 4. Nuevas Metas individuales de reposición de cilindros portátiles de 20 libras (9 kilogramos), 40 libras (18 kilogramos) y 100 libras (45 kilogramos). Las nuevas metas individuales de reposición de cilindros portátiles de 20 libras (9 kilogramos), 40 libras (18 kilogramos) y 100 libras (45 kilogramos) utilizados en la prestación del servicio de GLP, que deben cumplir las empresas distribuidoras de GLP, en forma adicional a las establecidas en la Resolución CREG-009 de 2006 durante el periodo octubre 2006 a marzo 2007, serán las siguientes:


ARTÍCULO 5. La presente Resolución deberá notificarse a las empresas que se relacionan en el artículo anterior, y publicarse en el Diario Oficial. Contra las decisiones contenidas en los Artículos 4° y 5º de esta Resolución procede el Recurso de Reposición, el cual podrá interponerse ante la Dirección Ejecutiva de la CREG dentro de los cinco (5) días hábiles siguientes a la fecha de su notificación
NOTIFÍQUESE Y CÚMPLASE
Dada en Bogotá, D.C. 25 JUL. 2006
MANUEL MAIGUASHCA OLANO | RICARDO H. RAMÍREZ CARRERO |
Viceministro de Minas y Energía | Director Ejecutivo |
Delegado del Ministro de Minas y
Energía
Presidente |  |
|
Doble click sobre el archivo anexo para bajarlo(Resoluciones CREG) |
Doble click sobre el archivo anexo para bajarlo(Documento CREG) |
|