| Publicación Diario Oficial No.: | , el día: |
| Publicada en la WEB CREG el: | |
|
Publicada en el Diario Oficial No. 45.935 del 10 de junio de 2005
Publicada en la Página WEB de la CREG el día 13 de junio de 2005
RESOLUCIÓN No.033
( 12 MAYO DE 2005 )
Por la cual se ordena publicar un proyecto de resolución para la adopción de los criterios generales para remunerar las actividades de generación, distribución y comercialización de energía eléctrica, y las fórmulas de costo unitario de prestación del servicio público de energía eléctrica en Zonas No Interconectadas.
LA COMISIÓN DE REGULACIÓN DE ENERGÍA Y GAS
En ejercicio de sus facultades legales, en especial de las conferidas por las Leyes 142 y 143 de 1994 y en desarrollo de los Decretos 1524 y 2253 de 1994, y 2696 de 2004,
C O N S I D E R A N D O:
Que mediante Resolución CREG-093 de 2003, la Comisión de Regulación de Energía y Gas sometió a consideración de los agentes, usuarios y terceros interesados, los principios generales conceptuales sobre los cuales se efectuará el estudio para establecer la fórmula tarifaria y la remuneración de las actividades de generación, distribución y comercialización del servicio de energía eléctrica en las Zonas No Interconectadas, en cumplimiento del Artículo 127 de la Ley 142 de 1994;
Que tal como se dispuso en el artículo 3 de la citada Resolución CREG-093 de 2003, con dicho acto se dio inicio al trámite tendiente a establecer la respectiva fórmula tarifaria para el siguiente período.
Que a partir de las observaciones y sugerencias recibidas y de los análisis internos efectuados, la Comisión de Regulación de Energía y Gas elaboró la propuesta regulatoria que contiene la metodología para el cálculo de la fórmula tarifaria para establecer el costo de la prestación del servicio de electricidad en las Zonas No Interconectadas;
Que el Artículo 15 del Decreto 2696 de 2004, establece que dicho decreto rige a partir de su publicación en el Diario Oficial y que las disposiciones contenidas en el artículo 11 del Capítulo III aplicarán a los procesos tarifarios que se inicien con posterioridad al 1º de enero de 2005.
Que el artículo 11 del Decreto 2696 de 2004 contiene reglas especiales para la adopción de fórmulas tarifarias, que regirán durante cinco (5) años de acuerdo con lo establecido en los artículos 126 y 127 de la Ley 142 de 1994.
Que no obstante el proceso tarifario de que trata la presente Resolución se inició con anterioridad al 1º de enero de 2005, por tanto no le son aplicables las disposiciones contenidas en el artículo 11 del capítulo III del Decreto Número 2696 del 24 de agosto de 2004, la Comisión con el propósito de garantizar la divulgación y participación de los usuarios, empresas y demás interesados, consideró aplicar algunas de las reglas especiales indicadas en las citadas disposiciones.
Que la Comisión de Regulación de Energía y Gas, en su sesión No. 256 del 12 de mayo de 2005, fijó las siguientes reglas dentro del proceso tarifario de que trata esta resolución.
R E S U E L V E:
ARTÍCULO 1o. Publíquese en la página Web de la Comisión el proyecto de resolución “Por la cual se establecen los criterios generales para remunerar las actividades de generación, distribución y comercialización de energía eléctrica, y las fórmulas de costo unitario de prestación del servicio público de energía eléctrica en Zonas No Interconectadas”.
El Comité de Expertos deberá elaborar un documento en el que se explique, en lenguaje sencillo, el alcance de la propuesta de fórmula tarifaria. Este documento se remitirá a los gobernadores para su divulgación. Este mismo documento deberá contener una invitación para que los interesados consulten, a través de la página Web de la Comisión, el Documento CREG 037 de 2005 y el texto del proyecto de resolución.
ARTÍCULO 2o. La Dirección Ejecutiva organizará consultas públicas, en distintos distritos y municipios, durante un período que comience en la misma fecha en que se remita la información a los gobernadores y termine dos (2) meses después. Estas consultas tendrán entre sus propósitos el de garantizar la participación de los usuarios.
La asistencia y reglas para llevar a cabo las consultas públicas se regirán por lo dispuesto en el numeral 11.5 del artículo 11 del Decreto 2696 de 2004.
ARTÍCULO 3o. Surtido el trámite señalado en el artículo anterior, el Comité de Expertos analizará las memorias escritas de las consultas públicas, los comentarios, las informaciones, los estudios y las propuestas allegadas al procedimiento, y elaborará el respectivo documento que contenga estos análisis, con la propuesta que someterá a consideración y aprobación de la Comisión.
El documento que elaborará el Comité de Expertos contendrá las razones por las cuales se aceptan o rechazan las propuestas formuladas y evaluará las memorias escritas de las consultas públicas. Para tal efecto, podrá agrupar las observaciones, sugerencias y propuestas alternativas en categorías de argumentos.
En la resolución mediante la cual se adopte finalmente la fórmula tarifaria se identificará el documento que contiene estos análisis.
El día hábil siguiente al de la publicación de dicha Resolución en el Diario Oficial, se hará público el documento al que se refiere este artículo.
ARTÍCULO 4º. La presente Resolución deberá publicarse en el Diario Oficial. No deroga disposiciones vigentes por tratarse de un acto de trámite.
PUBLÍQUESE Y CÚMPLASE
Dada en Bogotá, a los
MANUEL MAIGUASHCA OLANO | ANA MARIA BRICEÑO MORALES |
Viceministro de Minas y Energía | Directora Ejecutiva |
Encargado de las funciones del Despacho del Ministro de Minas y Energía
Presidente |  |
PROYECTO DE RESOLUCIÓN
Por la cual se establecen los criterios generales para remunerar las actividades de generación, distribución y comercialización de energía eléctrica, y las fórmulas de costo unitario de prestación del servicio público de energía eléctrica en Zonas No Interconectadas.
LA COMISIÓN DE REGULACIÓN DE ENERGÍA Y GAS
En ejercicio de las atribuciones legales, en especial las conferidas por las Leyes 142 de 1994 y 143 de 1994, y en desarrollo de los decretos 1524 y 2253 de 1994, 2696 de 2004 y
C O N S I D E R A N D O:
Que según el Artículo 74.1 de la Ley 142 de 1994 la Comisión de Regulación de Energía y Gas es competente para regular el ejercicio de las actividades de los sectores de energía y gas combustible;
Que la Comisión de Regulación de Energía y Gas tiene la función de regular los monopolios en la prestación del servicio público domiciliario de energía eléctrica, cuando la competencia no sea, de hecho, posible; y en los demás casos, la de promover la competencia entre quienes presten servicios públicos, para que las operaciones de los monopolistas o de los competidores sean económicamente eficientes, no impliquen abuso de la posición dominante y produzcan servicios de calidad;
Que el Artículo 73.11 de la Ley 142 de 1994, atribuyó a la Comisión de Regulación de Energía y Gas la facultad de establecer las fórmulas para la fijación de las tarifas del servicio público domiciliario de electricidad;
Que de acuerdo con el Artículo 73.20 de la Ley 142 de 1994, la Comisión de Regulación de Energía y Gas determina cuándo se establece el régimen de libertad regulada o libertad vigilada o señalar cuándo hay lugar a la libre fijación de tarifas;
Que el Artículo 87 de la Ley 142 de 1994, estableció que el régimen tarifario estará orientado por los criterios de eficiencia económica, neutralidad, solidaridad, redistribución, suficiencia financiera, simplicidad y transparencia;
Que de conformidad con el Artículo 87.8 de la Ley 142 de 1994 toda tarifa tendrá un carácter integral en el sentido que supondrá una calidad y grado de cobertura del servicio, cuyas características definirán las comisiones reguladoras;
Que la Ley 142 de 1994, Artículo 87.9, estableció que “cuando las entidades públicas aporten bienes o derechos a las empresas de servicios públicos, podrán hacerlo con la condición de que su valor no se incluya en el cálculo de las tarifas que hayan de cobrarse a los usuarios de los estratos que pueden recibir subsidios, de acuerdo con la ley. Pero en el presupuesto de la entidad que autorice el aporte figurarán el valor de éste y, como un menor valor del bien o derecho respectivo, el monto del subsidio implícito en la prohibición de obtener los rendimientos que normalmente habría producido”.
Que según lo dispuesto por el Artículo 88.1 de la Ley 142 de 1994, la Comisión Reguladora podrá establecer topes máximos y mínimos tarifarios, de obligatorio cumplimiento por parte de las empresas;
Que según lo dispone el Artículo 90 de la Ley 142 de 1994, las comisiones de regulación al definir sus tarifas pueden implementar varias alternativas y siempre podrán plantear y hacer públicas diversas opciones tarifarias que tomen en cuenta diseños óptimos de tarifas;
Que de conformidad con lo establecido en el Artículo 90.2 de la Ley 142 de 1994, podrá incluirse dentro de las fórmulas tarifarias un cargo fijo que refleje los costos económicos involucrados en garantizar la disponibilidad permanente del servicio para el usuario, independientemente del nivel de uso;
Que el Artículo 91 de la Ley 142 de 1994 dispuso que para establecer las fórmulas tarifarias se calculará por separado, cuando sea posible, una fórmula para cada una de las diversas etapas del servicio;
Que según lo previsto en la Ley 142 de 1994, Artículo 18, todas las personas jurídicas están facultadas para hacer inversiones en empresas de servicios públicos;
Que de conformidad con lo establecido en el Artículo 35 de la Ley 142 de 1994, las Comisiones de Regulación podrán exigir, por vía general, que las empresas adquieran el bien o servicio que distribuyan, a través de licitaciones públicas o cualquier otro procedimiento que estimule la concurrencia de oferentes;
Que el Artículo 40 de la Ley 142 de 1994 permite a las entidades territoriales competentes la creación de Áreas de Servicio Exclusivo, por motivos de interés social y con el propósito de que la cobertura de los servicios públicos de distribución domiciliaria de energía eléctrica, se pueda extender a las personas de menores ingresos, mediante invitación pública.
Que de conformidad con el Parágrafo 1° del Artículo 40 de la Ley 142 de 1994 la comisión de regulación respectiva definirá, por vía general, cómo se verifica la existencia de los motivos que permiten la inclusión de áreas de servicio exclusivo en los contratos, así como los lineamientos generales y las condiciones a las cuales deben someterse ellos; y, antes de que se abra una licitación que incluya estas cláusulas dentro de los contratos propuestos, verificará que ellas sean indispensables para asegurar la viabilidad financiera de la extensión de la cobertura a las personas de menores ingresos.
Que de conformidad con lo establecido en el Artículo 126 de la Ley 142 de 1994, vencido el período de vigencia de las fórmulas tarifarias, éstas continuarán rigiendo mientras la Comisión no fije las nuevas;
Que de conformidad con lo establecido en el artículo 3 de la Ley 143 de 1994 corresponde al Estado regular las situaciones donde el monopolio natural no permita la prestación eficiente del servicio de energía en condiciones de libre competencia y asegurar la incorporación de los aspectos ambientales en la planeación y gestión de las actividades del sector.
Que el Artículo 6 de la Ley 143 de 1994, entre otros aspectos, establece que las actividades relacionadas con el servicio de electricidad se regirán por el principio de adaptabilidad que conduce a la incorporación de los avances de la ciencia y la tecnología que aporten mayor calidad y eficiencia en la prestación del servicio al menor costo económico.
Que según la Ley 143 de 1994, en su Artículo 20 la Comisión de Regulación de Energía y Gas tiene la atribución de crear las condiciones para asegurar la disponibilidad de una oferta energética eficiente, capaz de abastecer la demanda bajo criterios sociales, económicos, ambientales y de viabilidad financiera, promover y preservar la competencia;
Que, igualmente, es competencia de la Comisión de Regulación de Energía y Gas definir la metodología para el cálculo de las tarifas aplicables a los usuarios regulados del servicio de electricidad según el Artículo 20 de la Ley 143 de 1994;
Que de conformidad con lo establecido en el artículo 24 de la Ley 143 de 1994 la construcción de plantas generadoras está permitida a todos los agentes económicos.
Que el artículo 42 de la Ley 143 de 1994 establece que “Las compras de electricidad por parte de las empresas distribuidoras de cualquier orden deberán garantizar, mediante contratos de suministro, el servicio a los usuarios atendidos directamente por ellas, por el término que establezca la Comisión de Regulación de Energía y Gas. Tales contratos se celebrarán mediante mecanismos que estimulen la libre competencia y deberán establecer, además los precios, cantidad, forma, oportunidad y sitio de entrega, las sanciones a que estarán sujetas las partes por irregularidades en la ejecución de los contratos y las compensaciones a que haya lugar por incumplimientos o por no poder atender oportunamente la demanda.”
Que el artículo 55 de la Ley 143 de 1994 establece que mediante el contrato de concesión la Nación, el departamento o el municipio podrán confiar en forma temporal la organización, prestación y mantenimiento del servicio público de electricidad, a una persona privada o pública o a una empresa mixta. Adicionalmente indica el artículo “El otorgamiento de la concesión se hará mediante oferta pública a quien ofrezca las mejores condiciones técnicas y económicas para el concedente y en beneficio de los usuarios.”
Que de acuerdo con el Artículo 56 de la Ley 143 de 1994 “...la Nación y las demás entidades territoriales en ejercicio de las competencias que con relación a las distintas actividades del sector eléctrico les asigna la ley, podrán celebrar contratos de concesión sólo en aquellos eventos en los cuales como resultado de la libre iniciativa de los distintos agentes económicos, en un contexto de competencia, no exista ninguna entidad dispuesta a asumir, en igualdad de condiciones, la prestación de estas actividades.
Que el Artículo 57 de la Ley 142 de 1994 asigna la competencia para otorgar contratos de concesión en la siguiente forma: a la Nación, los relacionados con la generación, interconexión y redes de transmisión entre regiones; a los departamentos, lo concerniente a las redes regionales de transmisión; y al municipio, lo atinente a la distribución de electricidad. Corresponderá a la Comisión de Regulación de Energía y Gas precisar el alcance de las competencias señaladas.”
Que conforme a lo establecido en el artículo 71 de la Ley 143 de 1994, le corresponde al Gobierno Nacional ejecutar directamente o a través de terceros, las actividades relacionadas con la generación, transmisión y distribución de energía en zonas no interconectadas del país, para lo cual deberá promover inversiones eficientes con los recursos del presupuesto nacional.
Que de acuerdo con lo establecido en el Artículo 978 del Código de Comercio, cuando la prestación de un servicio público está regulada por el Gobierno, las condiciones de los contratos deberán sujetarse a los respectivos reglamentos;
Que el Artículo 11 de la Ley 143 de 1994, derogado por el Artículo 1° de la Ley 855 de 2003 define las Zonas No Interconectadas como: “Para todos los efectos relacionados con la prestación del servicio público de energía eléctrica se entiende por Zonas No Interconectadas a los municipios, corregimientos, localidades y caseríos no conectadas al Sistema Interconectado Nacional, SIN.”;
Que según el Artículo 1° de la Ley 855 de 2003 aquellas áreas geográficas que puedan interconectarse a este sistema en condiciones ambientales, económicas y financieras viables y sostenibles, se excluirán de las Zonas No Interconectadas, cuando empiecen a recibir el Servicio de Energía Eléctrica del SIN, una vez se surtan los trámites correspondientes y se cumplan los términos establecidos en la regulación vigente establecida por la Comisión de Regulación de Energía y Gas;
Que por disposición contenida en la Ley 689 de 2001, aquellos prestadores de servicios públicos domiciliarios que atiendan menos de 2500 usuarios no están obligados a contratar auditorias externas de gestión y resultados;
Que la Ley 697 de 2001, establece que el Ministerio de Minas y Energía formulará los lineamientos de las políticas, estrategias e instrumentos para el fomento y la promoción de las fuentes no convencionales de energía, con prelación en las zonas no interconectadas;
Que por lo anterior, la Comisión de Regulación de Regulación de Energía y Gas consideró conveniente incluir un incentivo a tecnologías renovables que se encuentran en desarrollo en las zonas no interconectadas del país;
Que de conformidad con lo establecido en la Ley 812 de 2003, Artículo 64, “las Comisiones de Regulación desarrollarán, en un término de seis meses a partir de la vigencia de esta ley, la regulación necesaria para incluir esquemas diferenciales de prestación del servicio en generación, distribución, comercialización, calidad, continuidad y atención del servicio en las zonas no interconectadas, territorios insulares, barrios subnormales, áreas rurales de menor desarrollo, y comunidades de difícil gestión. Se podrán desarrollar esquemas de medición y facturación comunitaria, utilizar proyecciones de consumos para facturación, esquemas de pagos anticipados de servicio, y periodos flexibles de facturación”;
Que, mediante el Decreto 3537 de 2003, el Gobierno Nacional reglamentó los Artículos 63 y 64 de la Ley 812 de 2003, en relación con el programa de normalización de redes eléctricas y los esquemas diferenciales de prestación del servicio público domiciliario de energía eléctrica;
Que de conformidad con lo establecido en la Ley 812 de 2003, Artículo 116, la aplicación de subsidios al costo de prestación de los servicios públicos domiciliarios de los estratos socioeconómicos 1 y 2 a partir de la vigencia de esta ley y para los años 2004, 2005 y 2006, deberá hacerse de tal forma que el incremento tarifario a estos usuarios en relación con sus consumos básicos o de subsistencia corresponda en cada mes a la variación del Índice de Precios al Consumidor;
Que para dar cumplimiento a lo anterior, la Comisión de Regulación de Energía y Gas expidió la Resolución CREG-108 de 2003 modificada parcialmente por la Resolución CREG-040 de 2004, las cuales tienen aplicación en las Zonas No Interconectadas;
Que la Comisión de Regulación de Energía y Gas expidió la Resolución CREG-077 de 1997 por medio de la cual se aprobó la Fórmula general que permite determinar el costo de prestación del servicio y la fórmula tarifaria para establecer las tarifas aplicables a los usuarios del servicio de electricidad en las Zonas No Interconectadas del territorio nacional;
Que con base en la Fórmula general se aprobó la Resolución CREG-082 de 1997 mediante la cual se fijaron los costos máximos de prestación del servicio en cada uno de los departamentos que conforman las Zonas No Interconectadas del territorio nacional;
Que mediante Resolución CREG-093 de 2003, la Comisión de Regulación de Energía y Gas sometió a consideración de los agentes, usuarios y terceros interesados, los principios generales conceptuales sobre los cuales se efectuará el estudio para establecer la fórmula tarifaria y la remuneración de las actividades de generación, distribución y comercialización del servicio de energía eléctrica en las Zonas No Interconectadas, en cumplimiento del Artículo 127 de la Ley 142 de 1994;
Que a partir de las observaciones y sugerencias recibidas y de los análisis internos efectuados, la Comisión de Regulación de Energía y Gas elaboró la propuesta regulatoria que contiene la metodología para el cálculo de la fórmula tarifaria para establecer el costo de la prestación del servicio de electricidad en las Zonas No Interconectadas;
Que el día xxx se publicó en la página Web de la Comisión el proyecto de resolución “Por la cual se establecen los criterios generales para remunerar las actividades de generación, distribución y comercialización de energía eléctrica, y las fórmulas de costo unitario de prestación del servicio público de energía eléctrica en Zonas No Interconectadas.
Que la CREG llevó a cabo consultas públicas, en distintos distritos y municipios, a las cuales fueron invitados los vocales de control social, la Superintendencia de Servicios Públicos, los prestadores del servicio público de energía eléctrica en zonas no interconectadas, las autoridades departamentales y municipales, la academia, y los usuarios en general.
Que el Comité de Expertos analizó las memorias escritas de las consultas públicas, los comentarios, las informaciones, los estudios y las propuestas allegadas en las audiencias públicas, las cuales están contenidas en el Documento CREG XXX de 2005.
Que mediante la presente Resolución, en Sesión No. XXX del XX de XXXX de 2005, la Comisión de Regulación de Energía y Gas aprobó los criterios generales para remunerar las actividades de generación, distribución y comercialización de energía eléctrica, y define la fórmula general para determinar el costo de prestación del servicio público domiciliario de energía eléctrica en Zonas No Interconectadas;
R E S U E L V E:
Artículo 1. OBJETO. La presente Resolución tiene como objeto establecer los criterios generales para remunerar las actividades de generación, distribución y comercialización de energía eléctrica, y la fórmula general para determinar el costo unitario de prestación del servicio público domiciliario de energía eléctrica en Zonas No Interconectadas del territorio nacional.
CAPÍTULO I
DEFINICIONES Y ASPECTOS GENERALES
Artículo 2. DEFINICIONES. Para la interpretación y aplicación de esta Resolución se tendrán en cuenta, además de las definiciones contenidas en las Leyes 142 y 143 de 1994 y en las resoluciones vigentes de la CREG, las siguientes:
ACCESO AL SISTEMA DE DISTRIBUCIÓN: Es la utilización de los Sistemas de Distribución de energía eléctrica, por parte de Agentes y usuarios, a cambio del pago de cargos por uso de la red y de los cargos de conexión correspondientes, con los derechos y deberes establecidos en el Reglamento de Operación de las ZNI o aquellas disposiciones que lo sustituyan, modifiquen o complementen.
CARGO MÁXIMO DE DISTRIBUCIÓN: Es el cargo máximo unitario de distribución en pesos por kWh ($/kWh), aprobado por la Comisión, aplicable a los Sistemas de Distribución de Energía Eléctrica en las Zonas No Interconectadas.
COMERCIALIZACIÓN DE ENERGÍA ELÉCTRICA EN ZNI: Actividad de compraventa o suministro de energía eléctrica o disponibilidad de potencia a título oneroso.
COMERCIALIZADOR EN ZNI: Persona natural o jurídica cuya actividad es la Comercialización de Energía Eléctrica en ZNI.
CONEXIONES DE ACCESO AL SISTEMA DE DISTRIBUCIÓN (CONEXIÓN): Activos de uso exclusivo, que no hacen parte del Sistema de Distribución, que permiten conectar un Comercializador, un Generador, o un usuario a un Sistema de Distribución. La conexión se compone básicamente de los equipos que conforman el centro de medición y la acometida, activos que son propiedad de quien los hubiere pagado, si no fueren inmuebles por adhesión.
DISTRIBUCIÓN DE ENERGÍA ELÉCTRICA CON RED EN ZNI: Es el transporte de energía eléctrica a través de redes físicas, desde la barra de entrega del generador, hasta la conexión de un usuario, de conformidad con la definición del numeral 14.25 de la Ley 142 de 1994.
DISTRIBUCIÓN DE ENERGÍA ELÉCTRICA SIN RED EN ZNI: Es el servicio de suministro de disponibilidad de energía eléctrica, generada en el domicilio del usuario.
DISTRIBUIDOR DE ENERGÍA ELÉCTRICA: Persona encargada de la administración, la planeación, la expansión, la operación y el mantenimiento de todo o parte de la capacidad de un Sistema de Distribución. Los activos utilizados pueden ser de su propiedad o de terceros.
EMPRESAS DE SERVICIOS PÚBLICOS: Las que define el Título I, Capítulo I, de la Ley 142 de 1994.
FECHA BASE: Es la fecha a la cual se refieren los cargos de Generación, Distribución y Comercialización aprobados por la CREG para las ZNI.
FÓRMULA TARIFARIA ESPECÍFICA: Conjunto de criterios y de métodos de carácter particular, sujetos a la Fórmula Tarifaria General, resumidos por medio de una fórmula, en virtud de los cuales cada Comercializador puede modificar periódicamente las tarifas que cobra a sus Usuarios Regulados. Cuando se haga referencia a fórmula tarifaria de una empresa debe entenderse la Fórmula Tarifaria Específica.
FÓRMULA TARIFARIA GENERAL: Conjunto de criterios y de métodos de tipo general en virtud de los cuales se determina, a los Comercializadores de energía eléctrica que atienden a Usuarios Regulados, la tarifa promedio por unidad.
MERCADO RELEVANTE DE COMERCIALIZACIÓN: Conjunto de usuarios conectados directamente a un mismo Sistema de Distribución o atendido sin red física por un Distribuidor, para el cual la Comisión de Regulación de Energía y Gas ha aprobado el cargo respectivo.
MERCADO RELEVANTE DE DISTRIBUCIÓN: Conjunto de usuarios pertenecientes a un municipio o a un grupo de municipios, para el cual la CREG establece cargos por uso del Sistema de Distribución al cual están conectados.
PÉRDIDAS DE ENERGÍA EN DISTRIBUCIÓN: Es la diferencia entre la energía eléctrica medida en bornes de generador y la energía eléctrica medida en las conexiones de los usuarios.
PERÍODO TARIFARIO: Período por el cual la Fórmula Tarifaria General con sus respectivos componentes tienen vigencia, de acuerdo con lo establecido en el artículo 126 de la Ley 142 de 1994.
NIVELES DE TENSION. Los Sistemas de Distribución de las ZNI se clasifican por niveles, en función de la tensión nominal de operación, según la siguiente definición:
· Nivel 2: Sistemas con tensión nominal mayor o igual a 1 kV y menor de 30 kV.
· Nivel 1: Sistemas con tensión nominal menor a 1 kV.
REGLAMENTO DE OPERACIÓN PARA ZNI: Conjunto de disposiciones expedidas por la Comisión de Regulación de Energía y Gas, a las cuales deben someterse las Empresas de Servicios Públicos, los usuarios y demás Agentes que desarrollen las actividades de generación, distribución o comercialización de energía eléctrica en un Mercado Relevante de las ZNI.
SISTEMA DE DISTRIBUCIÓN: Es el conjunto de redes físicas que transportan energía eléctrica desde la barra de un generador hasta el punto de derivación de las acometidas de los inmuebles, sin incluir su conexión y medición.
ZONAS NO INTERCONECTADAS: Para todos los efectos relacionados con la prestación del servicio público de energía eléctrica se entiende por Zonas No Interconectadas a los municipios, corregimientos, localidades y caseríos no conectadas al Sistema Interconectado Nacional, SIN.
Artículo 3. ÁMBITO DE APLICACIÓN. Esta Resolución se aplica a todas las personas que, estando organizadas en alguna de las formas dispuestas por el Título I de la Ley 142 de 1994, desarrollan las actividades de generación, distribución y/o comercialización de energía eléctrica en Zonas No Interconectadas.
CAPÍTULO II
REMUNERACIÓN DE LA ACTIVIDAD DE GENERACIÓN
Artículo 4. ESQUEMAS DE REMUNERACIÓN DE LA ACTIVIDAD DE GENERACIÓN EN ZONAS NO INTERCONECTADAS. Los esquemas de remuneración de la actividad de generación en las Zonas No Interconectadas, serán los siguientes:
a) Los determinados por cargos máximos establecidos por la Comisión de Regulación de Energía y Gas con base en cálculo de costos medios;
b) Los determinados por cargos máximos establecidos por competencia a la entrada de acuerdo con la metodología establecida por la Comisión de Regulación de Energía y Gas;
Artículo 5. DETERMINACIÓN DE CARGOS MÁXIMOS DE GENERACIÓN POR COSTOS MEDIOS. Los Cargos Máximos de generación, se calculan a partir de la Inversión de cada tecnología, el Costo de Capital Invertido, los gastos de Administración, Operación y Mantenimiento (AOM), y la demanda de energía, aplicando el siguiente procedimiento:
5.1 REMUNERACIÓN DE LA COMPONENTE DE INVERSIÓN DE TECNOLOGÍAS DE GENERACIÓN
El Costo de Inversión en ($/kWh) incluye los costos de adquisición, transporte, instalación, diseños, permisos ambientales y los necesarios para la puesta en operación de una central de generación, y dependerá del tamaño y la tecnología de cada unidad de generación, como se muestra a continuación:
a) Costos de inversión y mantenimiento de generadores Diesel operando con ACPM
La componente que remunera los costos de inversión para unidades de generación Diesel es la siguiente:
TABLA 1, Componente de remuneración de inversiones en unidades Diesel
($ de diciembre de 2004)

Parágrafo 1: En aquellos casos en los cuales los costos unitarios definidos en la presente resolución no correspondan a los proyectos específicos que adelante un prestador del servicio, podrá solicitarse a la Comisión, con la correspondiente justificación, la definición de los costos para estos casos particulares.
Parágrafo 2: En aquellos casos en los cuales se utilicen combustibles fósiles diferentes al ACPM, el prestador del servicio podrá solicitarle a la Comisión, con la correspondiente justificación, la definición de los costos para estos casos particulares.
b) Costo de inversión de Centrales Hidroeléctricas a Pequeña Escala
La componente que remunera los costos de inversión de Centrales Hidroeléctricas a Pequeña Escala es la siguiente:
TABLA 2, Componente de remuneración de inversiones en PCHs
($ de diciembre de 2004)
Parágrafo: En aquellos casos en los cuales los costos unitarios definidos en la presente resolución no correspondan a los proyectos específicos que adelante un prestador del servicio, podrá solicitarse a la Comisión, con la correspondiente justificación, la definición de los costos para estos casos particulares.
c) Costo de inversión de Sistemas Solares Fotovoltaicos
La componente que remunera los costos de inversión en Sistemas Solares Fotovoltaicos es la siguiente:
TABLA 3, Componente de remuneración de inversiones
en Sistemas Solares Fotovoltaicos
($ de diciembre de 2004)

Parágrafo: En aquellos casos en los cuales los costos unitarios definidos en la presente resolución no correspondan a los proyectos específicos que adelante un prestador del servicio, podrá solicitarse a la Comisión, con la correspondiente justificación, la definición de los costos para estos casos particulares.
d) Costo de inversión de sistemas híbridos y otras tecnologías de generación
Los costos unitarios de inversión para tecnologías de generación no definidos en la presente resolución, podrán proponerse a la Comisión quién definirá en Resolución particular los costos correspondientes.
5.2 COSTO DE CAPITAL INVERTIDO
El costo de capital invertido para remunerar los activos de la actividad de generación y de distribución de energía eléctrica, corresponderá al definido en la Resolución CREG 013 de 2002.
Parágrafo: Para el caso en el cual los activos correspondan a tecnologías renovables, tales como los Sistemas Solares Fotovoltaicos y Centrales Hidráulicas a Pequeña Escala, se reconocerá una prima de riesgo tecnológico equivalente a 3.5 puntos del costo de capital propio (ke). En consecuencia para tecnologías que utilicen recursos renovables el Costo Promedio de Capital invertido en términos reales antes de impuestos será de 19.21%.
5.3 GASTOS DE ADMINISTRACIÓN, OPERACIÓN Y MANTENIMIENTO (AOM)
Los gastos de administración, operación y mantenimiento (AOM) para cada tecnología de generación se determinarán como se indica a continuación:
a) Gastos de Administración y Operación de generadores con tecnología Diesel
Costo de Combustible (CC):
El costo unitario por consumo de combustible esta dado por:
CC ($/kWh) = CEC x PC
Donde:
CEC = Consumo Específico de Combustible:
0.0885 gal/kWh (capacidad < 100 kW)
0.0750 gal/kWh (capacidad entre 100 y 1000 kW)
0.0625 gal/kWh (capacidad > 1000 kW)
PC = Precio del Galón de Combustible en el sitio.
Para determinar el precio del combustible en sitio (PC) se tomarán los valores aprobados por Resolución del Ministerio de Minas en Plantas de abasto. A este valor se le agregará el costo de transporte que será establecido por la CREG con una matriz de orígenes y destinos que será desplegada en la página web de la Comisión. En casos de transporte aéreo y marítimo, la Comisión en resolución independiente establecerá los costos correspondientes. A este costo se le debe sumar el valor equivalente al costo de almacenamiento reconocido por galón equivalente a Calm0 = $78.61/Galón ($ de diciembre de 2004). Este valor será actualizado por medio de la siguiente formula:

donde:
Calm0: Cargo Máximo de Generación aprobado por resolución de la CREG y expresado en precios de la Fecha Base.
= Índice de Precios al Productor Total Nacional reportado por el Banco de la República para el mes (m-1).
= Índice de Precios al Productor Total Nacional reportado por el Banco de la República para la Fecha Base del cargo por generación G0.
Costo de Lubricante (CL):
El costo unitario por consumo de lubricante esta dado por:
CL ($/kWh) = CEL x PC
Donde:
CEL = Consumo Específico de Lubricante = 0.001226 gal/kWh
PC = Precio del Galón de lubricante en el sitio.
Costos Administrativos (CA):
Corresponderá al 10% de la suma de los costos por consumo de combustible y lubricante.
CA = 0,1 x (CC + CL)
Parágrafo 1: En aquellos casos en los cuales los costos establecidos en la presente Resolución no correspondan a los costos eficientes en que incurra el prestador del servicio, dicho agente podrá solicitarle a la Comisión, con la correspondiente justificación, la definición de los costos para estos casos particulares.
b) Gastos de Administración, Operación y Mantenimiento de Centrales Hidroeléctricas a Pequeña Escala
Cuando el cobro final del servicio sea por energía, el costo unitario de Administración, Operación y Mantenimiento será de 59.74 $/kWh.
Cuando el cobro final del servicio sea por potencia disponible, el costo unitario de Administración, Operación y Mantenimiento será de 219 $/kW.
c) Gastos de Administración, Operación y Mantenimiento de Sistemas Solares Fotovoltaicos.
Cuando el cobro final del servicio sea por energía, el costo unitario de Administración, Operación y Mantenimiento será de 47.80 $/kWh.
Cuando el cobro final del servicio sea por potencia disponible, el costo unitario de Administración, Operación y Mantenimiento será de 175 $/kW.
d) Gastos de Administración, Operación y Mantenimiento para otras tecnologías de conversión
Los costos unitarios de Administración, Operación y Mantenimiento para tecnologías de generación no definidos en la presente resolución, podrán proponerse a la Comisión quien definirá en Resolución particular los costos correspondientes.
Artículo 6. DEMANDAS DE ENERGÍA Y POTENCIA. Para la determinación de los cargos máximos de generación y distribución se utilizará como demanda mensual de energía promedio por usuario 98.67 kWh para las localidades con más de 12 horas de prestación del servicio y de 50 kWh para las localidades con 12 horas o menos de servicio, y como demanda promedio de potencia 0.23 kW.
Artículo 7. CÁLCULO DEL CARGO MÁXIMO DE GENERACIÓN. Con base en los parámetros definidos en el artículo 5 de la presente Resolución el prestador del servicio determinará para cada tecnología de generación, los cargos máximos por energía generada o por capacidad disponible, como la suma algebraica de los costos de inversión y los costos de Administración, Operación y Mantenimiento definidos para cada una de las tecnologías.
7.1 FÓRMULA DE ACTUALIZACIÓN DE CARGOS MAXIMOS DE GENERACIÓN
Los Cargos Máximos de Generación aprobados por la CREG, expresados en pesos de la Fecha Base, se actualizarán mes a mes de acuerdo con la siguiente fórmula general:
Formula de Actualización de Cargos Máximos de Generación para generadores con tecnología Diesel
= Cargo Máximo de Generación correspondiente al mes m de prestación del servicio.
= Costo de Inversión determinado según lo dispuesto en el numeral 5.1 de la presente Resolución, expresado en precios de la Fecha Base.
= Costo de Administración determinado según lo dispuesto en el numeral 5.3 de la presente Resolución, expresado en precios de la Fecha Base.
= Costo de Mantenimiento determinado según lo dispuesto en el numeral 5.3 de la presente Resolución expresado en precios de la Fecha Base.
= Costo Máximo de Transporte aprobado por resolución de la CREG y expresado en precios de la Fecha Base.
= Costo de Combustible correspondiente al mes m de prestación del servicio. Actualizado por ECOPETROL según Resolución del Ministerio de Minas Y Energía.
= Costo de Lubricante correspondiente al mes m de prestación del servicio.
= Índice de Precios al Productor Total Nacional reportado por el Banco de la República para el mes (m-1).
= Índice de Precios al Productor Total Nacional reportado por el Banco de la República para la Fecha Base del cargo por Generación G0.
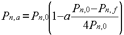
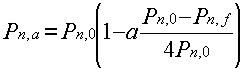
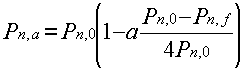
p = Fracción (o Porcentaje expresado como fracción) de pérdidas de energía acumuladas hasta el nivel de tensión n, reconocidas en cada año, de conformidad con la ecuación (lineal en a que varía en forma discreta) siguiente:
donde a es el número de años transcurridos desde el inicio de aplicación de la fórmula (a = 0, 1, 2, 3, 4).
Estos niveles de pérdidas reconocidos son los totales acumulados hasta el nivel de tensión uno, y sus valores se fijan como P1,0 = 0.10 y P1,f = 0.05 para el año 5 del próximo período regulatorio.
Formula de Actualización de Cargos Máximos de Generación para Centrales Hidroeléctricas a Pequeña Escala = Cargo Máximo de Generación correspondiente al mes m de prestación del servicio.
= Cargo Máximo de Generación aprobado por resolución de la CREG y expresado en precios de la Fecha Base. Corresponde a la suma de los componentes correspondientes a la tecnología, establecidos en los numerales 5.1 y 5.3.
= Índice de Precios al Productor Total Nacional reportado por el Banco de la República para el mes (m-1).
= Índice de Precios al Productor Total Nacional reportado por el Banco de la República para la Fecha Base del cargo por Generación G0.
p = Fracción (o Porcentaje expresado como fracción) de pérdidas de energía acumuladas hasta el nivel de tensión n, reconocidas en cada año, de conformidad con la ecuación (lineal en a que varía en forma discreta) siguiente:
donde a es el número de años transcurridos desde el inicio de aplicación de la fórmula (a = 0, 1, 2, 3, 4).
Estos niveles de pérdidas reconocidos son los totales acumulados hasta el nivel de tensión uno, y sus valores se fijan como P1,0 = 0.10 y P1,f = 0.05 para el año 5 del próximo período regulatorio.
Formula de Actualización de Cargos Máximos de Generación para Sistemas Solares Fotovoltaicos.
= Cargo Máximo de Generación correspondiente al mes m de prestación del servicio.
= Cargo Máximo de Generación aprobado por resolución de la CREG y expresado en precios de la Fecha Base. Corresponde a la suma de los componentes correspondientes a la tecnología, establecidos en los numerales 5.1 y 5.3.
= Índice de Precios al Productor Total Nacional reportado por el Banco de la República para el mes (m-1).
= Índice de Precios al Productor Total Nacional reportado por el Banco de la República para la Fecha Base del cargo por Generación G0.
p = Fracción (o Porcentaje expresado como fracción) de pérdidas de energía acumuladas hasta el nivel de tensión n, reconocidas en cada año, de conformidad con la ecuación (lineal en a que varía en forma discreta) siguiente:
donde a es el número de años transcurridos desde el inicio de aplicación de la fórmula (a = 0, 1, 2, 3, 4).
Estos niveles de pérdidas reconocidos son los totales acumulados hasta el nivel de tensión uno, y sus valores se fijan como P1,0 = 0.10 y P1,f = 0.05 para el año 5 del próximo período regulatorio.
Artículo 8. CARGOS DE GENERACIÓN PARA SOLUCIONES INDIVIDUALES. Cuando sean empleadas las soluciones individuales los cargos máximos de generación estarán definidos de la siguiente forma:

Artículo 9. DETERMINACIÓN DE CARGOS DE GENERACIÓN POR COMPETENCIA A LA ENTRADA: Las empresas comercializadoras-distribuidoras establecidas en un mercado relevante que se encuentren prestando el servicio con tecnologías de generación Diesel, o aquellas empresas distribuidoras-comercializadoras que no hayan iniciado la prestación del servicio deberán comprar la electricidad destinada a cubrir la demanda de su mercado, mediante la realización de convocatorias públicas que se adelantarán y asignarán conforme a las siguientes reglas:
1. Salvo el caso que se establece en el numeral 5 del presente artículo, cada cinco años el distribuidor-comercializador deberá realizar una convocatoria pública invitando a todos los generadores existentes y a otros agentes interesados en desarrollar nuevos proyectos de generación, para ofertar la energía necesaria para atender la totalidad demanda de su mercado relevante.
2. La convocatoria deberá considerar como mínimo los siguientes aspectos:
a. Las condiciones que deben cumplir las ofertas.
b. El criterio de selección de las ofertas conforme a lo establecido en esta resolución.
c. La proyección de la demanda a ser atendida en el período.
d. Determinación del período para el cual se requiere la energía, indicando la fecha de inicio y finalización del suministro, haciendo claridad sobre lo establecido en el numeral 6 de este artículo.
e. La convocatoria deberá anunciarse en un medio de reconocida cobertura y amplia difusión nacional y deberá otorgarse plazo no inferior a tres meses, entre la fecha en que inicie la venta de los pliegos y la fecha en que se haga la apertura de las propuestas.
3. Las ofertas que se presenten, incluyendo la de la empresa que realiza la convocatoria, cuando sea del caso, deberán presentarse en sobre cerrado y depositarse en una urna sellada. La apertura de la urna y de los sobres que contienen las propuestas deberá realizarse en una sola audiencia pública en la cual todos los proponentes tengan la posibilidad de estar presentes y conocer los principales aspectos del contenido de las propuestas.
4. Será escogida la propuesta que oferte el menor valor presente. Cuando dos o más agentes oferten el mismo precio se escogerá aquel cuya propuesta ofrezca la generación con energía renovable.
5. Cuando la propuesta seleccionada sea de generación con energía renovable se definirá un plazo en el contrato para la compra de energía que permita al agente seleccionado ejecutar y remunerar la inversión. En este caso el plazo para la realización de la siguiente convocatoria se ajustará al plazo del contrato que en ningún caso podrá ser superior a 25 años.
6. La empresa establecida que se esté encargando de la prestación del servicio, podrá atender la demanda con energía propia sólo si habiendo presentado una oferta en su convocatoria ésta cumple todos los requisitos y resulta ser objetivamente la mejor conforme a los criterios antes indicados.
7. En aquellos casos donde se presente un solo oferente el valor máximo a reconocer no podrá superar el costo de la energía generada con Sistemas de generación Diesel.
Parágrafo 1: De conformidad con lo dispuesto en los Artículos 35, 73.16 y 74.1 de la Ley 142 de 1994, los Comercializadores de energía eléctrica, deben hacer uso de reglas que aseguren procedimientos abiertos de compras, igualdad de condiciones entre los proponentes y su libre concurrencia teniendo en cuenta las fuentes disponibles y la oferta de cualquier Productor-Comercializador o Comercializador.
Parágrafo 2: Todos los contratos de compra y venta de energía eléctrica deberán ser enviados a la Comisión y a la Superintendencia, cuando de conformidad con la Ley, éstas lo soliciten.
Artículo 10. COMPRA DE ENERGÍA A SISTEMAS ELÉCTRICOS DE OTROS PAISES. La determinación del costo de energía comprada a otros países seguirá las reglas establecidas en el artículo 9 de la presente Resolución.
CAPÍTULO III
CARGOS POR USO DEL SISTEMA DE DISTRIBUCIÓN
Artículo 11. MERCADO RELEVANTE DE DISTRIBUCIÓN. Para la aplicación de lo dispuesto en la presente Resolución, el Mercado Relevante que se tendrá en cuenta para la determinación de tarifas será definido por la CREG con base en la solicitud tarifaria que presente cada Distribuidor. El Mercado Relevante de Distribución podrá ser como mínimo un municipio o podrá estar conformado por un grupo de municipios.
Artículo 12. PRINCIPIOS GENERALES. La aplicación de los cargos por uso de los Sistemas de Distribución tendrá en cuenta los siguientes principios generales:
a) Los cargos por uso de los Sistemas de Distribución aprobados por la CREG se aplicarán de forma tal que los usuarios de las redes paguen un único cargo por el uso de cada sistema, independientemente del número de propietarios del mismo.
b) Los cargos remunerarán al Distribuidor la infraestructura necesaria para llevar el suministro desde el Punto de Salida de la Barra del Generador, hasta el punto de entrega al usuario. Incluyen los costos de conexión del Sistema de Distribución al Generador, pero no incluyen los costos de conexión del usuario al respectivo Sistema de Distribución.
Artículo 13. REMUNERACIÓN DE LA ACTIVIDAD DE DISTRIBUCIÓN DE ENERGÍA ELÉCTRICA. La actividad de Distribución de Energía Eléctrica se remunerará utilizando los Cargos Máximos para los niveles de tensión 1 y 2 determinados por la CREG, como se indica a continuación:
Nivel de Tensión | Componente de Inversión | Componente de AOM | Total |
|
| $ 89.40/kWh |
| $ 92.47/kWh. |
|
| $ 20.72/kWh | $ 0.76/kWh | $ 21.48/kWh. |
Parágrafo: En caso de requerirse Sistemas de Distribución con niveles de voltaje superiores a los aquí establecidos, la Comisión establecerá los cargos máximos correspondientes en Resolución particular.
Parágrafo 1: Inversiones no incluidas en los cargos de distribución. Las inversiones correspondientes a activos tales como conexiones, activos para uso particular y activos no requeridos para el desarrollo de la actividad de Distribución de Energía Eléctrica, no han sido consideradas en los cargos de distribución de que trata la presente Resolución.
Parágrafo 2: Los Sistemas de Distribución expuestos al efecto de contaminación salina, tendrán derecho a una remuneración adicional por concepto de AOM sobre el valor de activo correspondiente de 0.5%
13.1 FÓRMULA DE ACTUALIZACIÓN DE CARGOS MAXIMOS DE DISTRIBUCIÓN
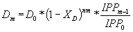
Los Cargos Máximos de Distribución aprobados por la CREG, expresados en pesos de la Fecha Base, se actualizarán mes a mes de acuerdo con la siguiente fórmula general:
donde,
= Cargo Máximo de Distribución correspondiente al mes m de prestación del servicio.
= Cargo Máximo de Distribución aprobado por resolución de la CREG y expresado en precios de la Fecha Base.
= Índice de Precios al Productor Total Nacional reportado por el Banco de la República para el mes (m-1).
= Índice de Precios al Productor Total Nacional reportado por el Banco de la República para la Fecha Base del cargo por distribución D0.
XD = Factor de productividad mensual de la actividad de Distribución equivalente a 0.00035. Dicho factor aplicará a partir de la entrada en vigencia de la resolución que establece el Cargo Promedio de Distribución para cada mercado.
= Número de meses transcurrido desde la entrada en vigencia de la resolución que establece el Cargo de Distribución para cada mercado hasta el mes m.
Artículo 14. SISTEMAS DE DISTRIBUCIÓN DE PROPIEDAD MÚLTIPLE. Si en un Sistema de Distribución existen dos o más propietarios, o cuando un Distribuidor utiliza activos de terceros para uso general, el procedimiento que se aplicará para la asignación de la remuneración y para la administración, operación y mantenimiento (AOM) del respectivo sistema tendrá en cuenta las siguientes reglas generales:
a) La asignación de los ingresos que remuneran la Inversión, se efectuará de acuerdo con el porcentaje de participación en la Inversión de cada propietario.
b) La Administración, Operación y Mantenimiento de dichos activos será realizada por el Distribuidor que acuerden las partes, y a éste le corresponderá el Cargo de AOM establecido por la CREG. De existir más de un Distribuidor en el Mercado Relevante, la asignación de los ingresos que remuneran los gastos de AOM considerados por la CREG para establecer los cargos regulados, se efectuará de común acuerdo entre las partes.
Parágrafo 1. Cuando sea necesario realizar la reposición de redes de terceros que sean de uso general, la obligación de reposición corresponde en primer lugar al propietario del activo. Si éste no hace la reposición oportunamente, el Distribuidor que está utilizando dicho activo podrá realizarla. En este caso, el Distribuidor ajustará la remuneración al tercero de conformidad con el esquema regulatorio que esté vigente y con la reposición efectuada.
Parágrafo 2. La enajenación, a un Distribuidor, de las obras de infraestructura construidas por un suscriptor o usuario dentro de un Sistema de Distribución en ningún caso podrá ser a título gratuito.
Artículo 15. NEUTRALIDAD. Los cargos ofrecidos por el Distribuidor serán de conocimiento público y en su aplicación se observará el principio de neutralidad previsto en el numeral 2 del Artículo 87 de la Ley 142 de 1994 y demás disposiciones aplicables.
Artículo 16. VIGENCIA DE LOS CARGOS. El Cargo Máximo de Distribución aprobado por la Comisión tendrá una vigencia de cinco (5) años, contados a partir de la entrada en vigencia de la presente Resolución. Vencido este período, dichas fórmulas continuarán rigiendo hasta tanto la Comisión no fije las nuevas.
CAPITULO IV
CARGOS DE COMERCIALIZACIÓN DE ENERGÍA ELÉCTRICA EN ZONAS NO INTERCONECTADAS
Artículo 17. PRESTADORES DEL SERVICIO DE COMERCIALIZACIÓN. De conformidad con el artículo 3 de esta Resolución, sólo podrán prestar el servicio de Comercialización de energía eléctrica en Zonas No Interconectadas las personas de que trata el Título I de la Ley 142 de 1994.
Artículo 18. CARGO MÁXIMO BASE DE COMERCIALIZACIÓN. El cargo máximo base de comercialización C0 corresponde a un valor mensual de $3500 por Factura ($ de diciembre de 2004).
Artículo 19. CARGOS DE COMERCIALIZACIÓN PARA ESQUEMAS DIFERENCIALES DE PRESTACIÓN DEL SERVICIO. Cuando el Comercializador haga uso uno de los esquemas diferenciales de prestación del servicio, el cargo máximo de comercialización corresponderá a los siguientes valores:
Tabla 4, Cargos Máximos para Esquemas Diferenciales de Prestación del Servicio ($ de diciembre de 2004)
| | $/FACTURA |
| | |
| PROYECCIONES DE CONSUMO | $ 3,000.00 |
| PERIODOS FLEXIBLES DE FACTURACIÓN | $ 2,500.00 |
| PREPAGO O PAGO ANTICIPADO | $ 3,250.00 |
Parágrafo: Aforos de carga: para efectos de realizar aforos de carga a usuarios que transitoriamente no dispongan de medidor individual se utilizarán los siguientes valores, teniendo en cuenta factores de utilización:
Artículo 20. FÓRMULA DE ACTUALIZACIÓN DEL CARGO DE COMERCIALIZACIÓN. El Cargo de Comercialización se actualizará mensualmente utilizando la siguiente fórmula:
donde,
= Cargo máximo de comercialización, expresado en pesos por factura, correspondiente al mes m de prestación del servicio.
= Cargo base de comercialización aprobado por la CREG para cada mercado, expresado en pesos por factura, a precios de la Fecha Base.
= Índice de Precios al Consumidor reportado por el DANE para el mes ( m-1).
= Índice de Precios al Consumidor reportado por el DANE para la Fecha Base del Cargo por Comercialización .
XC = Factor de productividad mensual de la actividad de Comercialización equivalente a 0.00035. Dicho factor aplicará a partir de la entrada en vigencia de la resolución que establece el Cargo de Comercialización para cada mercado.
= Número de meses transcurrido desde la entrada en vigencia de la Resolución que establece el Cargo de Comercialización para cada mercado, hasta el mes m.
Artículo 21. OBLIGACIÓN DE RECAUDAR LA CONTRIBUCIÓN DE SOLIDARIDAD. El Comercializador recaudará la contribución de solidaridad de que trata la Ley 142 de 1994 y la Ley 286 de 1996. La transferencia de contribuciones se hará de acuerdo con los reglamentos que establezca la autoridad competente.
CAPITULO V
FÓRMULA TARIFARIA PARA EL SERVICIO PÚBLICO DE ENERGÍA ELÉCTRICA EN ZONAS NO INTERCONECTADAS.
Artículo 22. FÓRMULAS TARIFARIAS GENERALES PARA USUARIOS REGULADOS DEL SERVICIO PÚBLICO DE ENERGIA ELÉCTRICA EN ZONAS NO INTERCONECTADAS. Las Fórmulas Tarifarias Generales aplicables a los Usuarios Regulados del servicio público domiciliario de energía eléctrica, serán las siguientes:
a) La aplicable a usuarios regulados del servicio de energía elé ctrica con red
b) La aplicable a usuarios regulados de energía eléctrica sin red
Artículo 23. FÓRMULAS TARIFARIAS GENERALES PARA USUARIOS REGULADOS DEL SERVICIO PÚBLICO DE ENERGÍA ELÉCTRICA CON RED.
La Fórmula Tarifaria General aplicable a los Usuarios Regulados del servicio público domiciliario de energía eléctrica, tendrá los siguientes componentes de cargos:
Cargo Fijo: CFm = Cm($/Factura)
Cargo Variable: CVm = Gm,t,r ($/kWh) + Dm,n ($/kWh)
En donde:
m = mes de servicio
t = tecnología utilizada
r = distancia desde el punto de abasto a la localidad. Si la tecnología utilizada es diferente a la Diesel, r = 0.
n = Nivel de Tensión
Artículo 24. FÓRMULAS TARIFARIAS GENERALES PARA USUARIOS REGULADOS DEL SERVICIO PÚBLICO DE ENERGÍA ELÉCTRICA SIN RED EN ZNI. La Fórmula Tarifaria General aplicable a los Usuarios Regulados del servicio público domiciliario de energía eléctrica sin red en Zonas No Interconectadas tendrá los siguientes componentes de cargos:
Cargo Fijo: CFm = GCm ($/Factura)
Cargo Variable: CVm = Gm,t ($/W)
En donde:
Gm,t = Cargo Máximo por Capacidad Disponible ($/W)*W = Cargo de Generació ;n en el mes m.
GCm = Cargo de Gestión Comercial del Generador.
t = Tecnología Solar o Nano Centrales Hidroeléctricas.
Artículo 25. PUBLICIDAD. Mensualmente y antes de su aplicación, el Comercializador hará pública en forma simple y comprensible, a través de un medio de comunicación de amplia divulgación en los municipios donde preste el servicio o en uno de circulación nacional, las tarifas que facturará a los usuarios.
Dicha publicación incluirá los valores de cada componente del costo de prestación del servicio. Los nuevos valores deberán ser comunicados por el Comercializador a la Superintendencia de Servicios Pú blicos Domiciliarios y a la Comisión de Regulación de Energía y Gas.
Artículo 26. AUTORIZACIÓN PARA FIJAR TARIFAS. Dentro del régimen de libertad regulada, previsto en la Ley 142 de 1994, las empresas distribuidoras y comercializadoras de energía eléctrica a las que se refiere la presente Resolución podrán aplicar las Fórmulas Tarifarias Específicas del Mercado Relevante correspondiente, a partir del mes siguiente a la entrada en vigencia de los cargos por uso del Sistema de Distribución y los Cargos de Comercialización respectivos.
CAPITULO VI
AREAS DE SERVICIO EXCLUSIVO PARA LA PRESTACIÓN DEL SERVICIO DE ENERGÍA ELÉCTRICA EN ZONAS NO INTERCONECTADAS
Artículo 27. REGLAS PARA LA CONFORMACIóN DE áREAS DE SERVICIO EXCLUSIVO. Para verificar el cumplimiento de los motivos que permiten la inclusión de cláusulas de exclusividad, previstas en el artículo 40 de la Ley 142 de 1994, en los contratos de prestación del servicio de energía eléctrica en Zonas No Interconectadas, la Comisión tendrá en cuenta los siguientes criterios:
La conformación del área geográfica debe permitir, en condiciones económicamente viables, la extensión del servicio en aquellos municipios cuyos inmuebles residenciales pertenecen a las categorías 1, 2 y 3 de la estratificación socioeconómica vigente al momento de hacerse la instalación. El conjunto de á reas que conformen el área de servicio exclusivo debe tener una cobertura menor al 10%.
Artículo 28. INTERVENCIóN DE LA COMISIóN PREVIA A LA APERTURA DE LA INVITACIÓN. Antes de que el Ministerio de Minas y Energía proceda a abrir la invitación pública, la Comisión señalará por medio de una resolución, que las áreas conformadas por el Ministerio cumplen con las condiciones a que se refiere el artículo anterior. Adicionalmente, verificará, de conformidad con el pará grafo 1o del artículo 40 de la ley 142 de 1994, que las cláusulas de exclusividad sean indispensables para asegurar la extensión de la cobertura a las personas de menores ingresos.
Artículo 29. ALCANCE DE LA EXCLUSIVIDAD. En los contratos a que se refiere este capítulo se tendrán en cuenta que únicamente el prestador del servicio adjudicatario del contrato de concesión especial podrá prestar el servicio pú ;blico de generación, distribución y comercialización de energía eléctrica dentro del área geográfica objeto de exclusividad.
Artículo 30. REMUNERACIóN DEL CONCESIONARIO DE áREAS DE SERVICIO EXCLUSIVO. La remuneración del concesionario adjudicatario de un área de servicio exclusivo será la resultante del proceso licitatorio y la adjudicación se basará en el menor valor económico.
Artículo 31. CRITERIOS BÁSICOS DE EXPANSIÓN EN LAS Á ;REAS DE SERVICIO EXCLUSIVO. La expansión en el área de servicio exclusivo será responsabilidad de las empresas contratistas. El Concesionario presentará ; ante el Ministerio de Minas y Energía planes quinquenales con la inversión prevista; la empresa de servicios públicos dará cuenta de dichos planes a la Superintendencia de Servicios públicos Domiciliarios y de la misma forma a la Comisión de Regulación de Energía y Gas.
Artículo 32. OBLIGACIÓN DE PUBLICAR LOS PLANES DE COBERTURA POR PARTE DE LA EMPRESA. Las empresas deberán publicar anualmente, en forma resumida y en un medio de amplia difusión, el plan quinquenal de cobertura que presentaron a la Comisión para la aprobación de la fórmula tarifaria, con las correspondientes actualizaciones anuales incluyendo los resultados obtenidos en desarrollo del mismo.
Artículo 33. VIGENCIA DE LA PRESENTE RESOLUCIÓN. La presente resolución rige a partir de la fecha de su publicación en el Diario Oficial, y deroga todas las disposiciones que le sean contrarias.
PUBLÍQUESE Y CÚMPLASE
Dada en Bogotá a los
MANUEL MAIGUASHCA OLANO | ANA MARÍA BRICEÑO MORALES |
Viceministro de Minas y Energía | Directora Ejecutiva |
Delegado del Ministro | |
Presidente | |
|
Doble click sobre el archivo anexo para bajarlo(Resoluciones CREG) |
Doble click sobre el archivo anexo para bajarlo(Documento CREG) |
|