| Publicación Diario Oficial No.: | , el día: |
| Publicada en la WEB CREG el: | |
Resolución 075 de 1997
(4 de abril)
Por la cual se establecen las bases sobre las cuales se modificará la Resolución 004 de 1994, expedida por la Comisión de Regulación de Energía y Gas, y se dictan otras disposiciones.
Notas de Vigencia: - Modificada por la Resolución 94 de 1997, publicada en el Diario Oficial No. 43.054 de junio 4 de 1997, "Por la cual se modifican los literales "b" y "c" del artículo 8o. de la Res. CREG-075 de 1997". |
LA COMISIÓN DE REGULACIÓN DE ENERGÍA Y GAS
C O N S I D E R A N D O:
Que la Resolución No. 003 de 1994, expedida por la Comisión de Regulación de Energía y Gas, regula el transporte de la energía eléctrica bajo condiciones de libertad de acceso a los Sistemas de Transmisión Regional y Distribución Local de energía eléctrica;
Que la Resolución CREG-004 de 1994, expedida por la Comisión de Regulación de Energía y Gas estableció la metodología para el cálculo de los cargos por uso de los Sistemas de Transmisión Regional y/o Distribución Local, y su forma de liquidación;
Que la Resolución CREG-060 de 1994, expedida por la Comisión de Regulación de Energía y Gas, estableció una vigencia de tres años, contados a partir del 1º de enero de 1995, para los cargos calculados con base en la metodología establecida en la Resolución CREG-004 de 1994;
Que se hace necesaria una revisión de la metodología establecida en la Resolución CREG-004 de 1994, con el fin de calcular los cargos por uso para el siguiente período de vigencia de dichos cargos, teniendo en cuenta que los cargos actualmente vigentes rigen hasta el 31 de diciembre de 1997;
R E S U E L V E:
Artículo 1º. Definiciones. Para efectos de la presente resolución, se adoptan las siguientes definiciones:
Cargo monomio. Cargo monomio por energía, expresado en $/kWh, que remunera el costo medio del uso de la infraestructura eléctrica de un transportador hasta el punto donde el usuario extrae la energía.
Cargo monomio horario. Cargo monomio por energía, expresado en $/kWh, que remunera el costo medio horario del uso de la infraestructura eléctrica de un transportador hasta el punto donde el usuario extrae la energía. La diferenciación a nivel horario se establece con base en las curvas de carga representativas de cada nivel de tensión de las empresas transportadoras.
Artículo 2º. Principios generales. La metodología para el cálculo de los cargos por uso de los Sistemas de Transmisión Regional y/o Distribución Local tiene en cuenta los siguientes principios generales:
a) Los cargos por uso de los Sistemas de Transmisión Regional (STR) y/o Distribución Local (SDL) serán aprobados por la Comisión de Regulación de Energía y Gas (CREG) de forma tal que los usuarios finales de las redes pagarán un cargo único por su uso al comercializador que los atiende, independientemente del número de propietarios de las redes.
b) Cuando una empresa transportadora utilice redes de otros Sistemas de Transmisión Regional y/o Distribución Local, se considerará un usuario de esas redes y, en tal caso, deberá pagar al respectivo transportador el cargo que le haya sido aprobado a éste, en el nivel de tensión correspondiente.
c) Los cargos por uso que la CREG apruebe para un transportador incluirán los costos asociados con los sistemas eléctricos necesarios para llevar el suministro desde la conexión al Sistema de Transmisión Nacional (STN) hasta el punto de entrega al usuario.
d) En el caso de transportadores que por no estar conectados directamente al Sistema de Transmisión Nacional, son usuarios de otros transportadores, pero tienen establecidos contratos de conexión al STN, mientras tales contratos de conexión se encuentren vigentes, deducirán el monto correspondiente al cargo por concepto de conexión al STN de la suma que resulte a su cargo por concepto del uso de otros sistemas. Lo dispuesto en este literal regirá a partir de la vigencia de los cargos que apruebe la Comisión con base en la metodología que aprobará a más tardar el 30 de mayo de 1997.
e) A partir de la vigencia de la presente resolución, los transportadores del Sistema de Transmisión Nacional sólo le ofrecerán contratos de conexión a quienes físicamente vayan a conectarse al mismo.
f) En el caso de Transmisión Regional y/o Distribución Local en los que exista más de un propietario, las partes deberán acordar la remuneración individual de los activos con base en lo que la CREG haya aprobado para el respectivo STR y/o SDL.
Artículo 3º. Cargos por uso de los Sistemas de Transmisión Regional y/o Distribución Local. Los comercializadores de usuarios regulados, los usuarios no regulados a través del respectivo comercializador, y otros transportadores que sean usuarios de Sistemas de Transmisión Regional y/o Distribución Local, pagarán a los transportadores los cargos aprobados por la CREG por uso de los STR y/o SDL, de acuerdo con la metodología para el cálculo de estos cargos que se define en el Anexo No. 1 de la presente resolución.
Estos cargos remunerarán al transportador la infraestructura eléctrica necesaria para llevar el suministro desde la salida del Sistema de Transmisión Nacional, hasta el punto de entrega al usuario. Incluyen los costos de conexión del sistema del transportador al STN, pero no incluyen los costos de conexión del usuario al respectivo sistema. Así mismo, no incluyen el costo de la generación asociada a las pérdidas de energía que se presentan en el sistema del transportador, las cuales deberán ser asumidas por el comercializador.
En los casos en los que el comercializador sea una empresa diferente de la que realiza la actividad de transmisión regional y/o distribución local, y en aquellos casos en los que esta última empresa no esté conectada directamente al STN, las ventas de energía que haga el comercializador se referirán al nivel de tensión de 220 kV para efectos de liquidar los cargos por uso del STN y las cuentas ante el SIC, con los siguientes porcentajes de pérdidas acumuladas, referidos a la energía medida en la frontera comercial, Nivel IV: 1.5%; Nivel III: 3.0%; Nivel II: 5.0%; Nivel I: 15% para el primer año, con reducción de un punto porcentual, en este último nivel, para cada uno de los años siguientes del período regulatorio.
Cuando un transportador demuestre que una parte del Sistema de Transmisión Regional y/o Distribución Local asociado a un determinado nivel de tensión, está siendo utilizada en forma exclusiva por un grupo de usuarios, podrá solicitar a la Comisión de Regulación de Energía y Gas la aprobación de cargos específicos para ese grupo de usuarios por el uso del sistema en el respectivo nivel de tensión, mediante solicitud motivada y debidamente sustentada en un estudio técnico.
Artículo 4º. Liquidación de cargos por uso de los Sistemas de Transmisión Regional y/o Distribución Local. Los cargos por uso de los Sistemas de Transmisión Regional y/o Distribución Local se liquidarán a los usuarios de los mismos así: (a) Usuarios no regulados, a través del correspondiente comercializador, mediante los cargos monomios horarios ($/kWh) aprobados para el respectivo nivel de tensión, los cuales serán aplicados al consumo horario registrado en el contador correspondiente a la frontera comercial; (b) Usuarios del mercado regulado, a través del correspondiente comercializador, mediante el cargo monomio ($/kWh) aprobado para el respectivo nivel de tensión, aplicable a la energía facturada correspondiente al período de facturación o, a partir del cuarto año de vigencia de los cargos, a la energía medida en el respectivo nivel de tensión; (c) Otros transportadores, mediante el cargo monomio ($/kWh) aprobado para el respectivo nivel de tensión aplicable a la energía mensual medida en la frontera entre los dos sistemas.
Artículo 5º. Cargos de conexión a los Sistemas de Transmisión Regional y/o Distribución Local. Cuando un generador, o un usuario no regulado que no haya estado conectado con anterioridad al Sistema de Transmisión Regional y/o Distribución Local en el cual se localiza su consumo, y el generador o nuevo usuario no sea el propietario de los activos de conexión al Sistema de Transmisión Regional y/o de Distribución Local, pagará cargos de conexión al propietario de los mismos. Estos cargos deberán ser acordados entre las partes.
Artículo 6º. Actualización de los cargos. Los cargos serán actualizados mediante el procedimiento descrito en el Anexo No. 1 de la presente resolución. Los transportadores harán públicos, al iniciar cada año, los cargos que aplicarán por el uso de las redes para el año respectivo.
Artículo 7º. Vigencia de los cargos. Los cargos que apruebe la Comisión por uso de los Sistema de Transmisión Regional y/o Distribución Local tendrán una vigencia de cinco (5) años, contados a partir del primero de enero del año siguiente al de su aprobación. En el mes de junio del quinto año de vigencia de los cargos, los transportadores deberán someter a aprobación de la Comisión, sujetos a la metodología establecida en el Anexo No 1 de la presente resolución, los cargos a cobrar a partir del primero de enero del primer año de la siguiente vigencia de los cargos.
Parágrafo 1º. Para los cargos que regirán a partir del primero de enero de 1998, los transportadores deberán someter a aprobación de la Comisión, a más tardar en la fecha indicada más adelante, los cargos que proponen cobrar para los próximos cinco (5) años. Los cargos que la Comisión apruebe, con base en la metodología establecida en esta resolución, regirán por cinco años contados a partir del primero (1º) de enero de 1998 y hasta el 31 de diciembre del año 2002. Si con posterioridad al 1º de enero de 1998, se solicita a la Comisión aprobar cargos por uso a transportadores nuevos, o transportadores existentes que quieran prestar el servicio en otras áreas geográficas, tales cargos serán vigentes hasta el 31 de diciembre del año 2002.
Parágrafo 2º. Dentro de los cinco (5) días siguientes al envío de la información a la Comisión, cada transportador deberá publicar en un diario de amplia circulación en la zona donde presta el servicio, o en uno de circulación nacional, los cargos que propone cobrar, con el fin de que los terceros interesados puedan presentar ante la Comisión observaciones sobre tales costos, dentro del mes siguiente a la fecha de publicación. Adicionalmente, deberá enviar a la Comisión copia del aviso de prensa respectivo.
Parágrafo 3º. Antes de doce meses de la fecha prevista para que termine la vigencia de los cargos, la Comisión de Regulación de Energía y Gas pondrá en conocimiento de los transportadores las bases sobre las cuales efectuará el estudio para determinar los cargos del período siguiente.
Parágrafo 4º. Vencido el período de vigencia de los cargos por uso que apruebe la Comisión, continuarán rigiendo hasta tanto la Comisión no fije los nuevos.
Artículo 8º. Cronograma para la aprobación de la metodología para el cálculo de los cargos por uso de los Sistemas de Transmisión Regional y/o Distribución Local, y de los cargos por uso de cada transportador para el primer período de vigencia. La aprobación de la metodología para el cálculo de los cargos de uso de los STR y/o SDL, y de los cargos por uso de cada transportador, se realizará de acuerdo con el siguiente cronograma:
a). Presentación de observaciones por parte de cada transportador y de los terceros interesados en la decisión que adoptará la Comisión sobre la metodología para el cálculo de los cargos por uso de los STR y/o SDL: a partir de la fecha en que entre a regir esta resolución y a más tardar el 15 de mayo de 1997.
b). Análisis de las observaciones presentadas por los transportadores y de las que presenten los terceros que se hagan parte de la respectiva actuación, y aprobación de metodología de cálculo de los cargos por uso de los STR y/o SDL: a más tardar el 30 de mayo de 1997.
c). Presentación, por parte de los transportadores, de los cargos por uso que proponen cobrar a partir del 1º de enero de 1998, determinados de acuerdo con la metodología que finalmente apruebe la Comisión: a más tardar el 15 de julio de 1997.
d). Aprobación, por parte de la Comisión de los cargos por uso de los STR y/o SDL de cada transportador: a más tardar el 15 de septiembre de 1997.
Artículo 9º. Impulso de la actuación. El Director Ejecutivo de la Comisión impulsará la actuación, sin perjuicio del reparto interno que haga para el estudio de las observaciones.
Artículo 10º. Publicación y citación a los transportadores y los terceros interesados. Mediante publicación que el Director Ejecutivo ordenará en un medio de amplia circulación nacional, se citará a los transportadores y los terceros que tengan interés en la decisión mediante la cual la Comisión aprobará la metodología para el cálculo de los cargos por uso de los Sistemas de Transmisión Regional y/o Distribución Local, de acuerdo con lo previsto por la ley.
Artículo 11º. Presentación de observaciones por parte de los transportadores y los terceros interesados en la decisión. Los transportadores y los terceros interesados en la decisión que adoptará la Comisión de Regulación de Energía y Gas sobre la metodología para el cálculo de los cargos por uso de los Sistemas de Transmisión Regional y/o Distribución Local, que se hagan parte de la actuación administrativa, podrán presentar observaciones hasta el 15 de mayo de 1997, mediante escrito dirigido a la Comisión en el cual indicarán las observaciones que desean plantear.
Artículo 12º. Pruebas. La aprobación de los cargos por uso a cada transportador se adelantará dando aplicación a la presunción de buena fe prevista en el artículo 83 de la Constitución. Se presumirá, por tanto, que las informaciones que aporte el peticionario a la Comisión son veraces, y que los documentos que aporte son auténticos. Sin embargo, dentro del mes siguiente a la fecha en que el transportador haga la publicación mediante la cual divulgue los cargos que propone cobrar, determinados según la metodología general aprobada por la Comisión, y habiendo oído a los interesados intervinientes, si existen diferencias de información o de apreciación sobre aspectos que requieran conocimientos especializados, o la Comisión considera necesario decretar pruebas, el Director Ejecutivo podrá ordenarlas.
Ordenadas las pruebas, el interesado manifestará, en los términos del artículo 109 de la Ley 142 de 1994, si desea que ellas las practique la Comisión, o si desea acordar con la Comisión una persona que se encargue de practicarlas, o si desea solicitar a la Superintendencia de Servicios Públicos que designe o contrate a otra persona para este efecto. Cuando corresponda a la Comisión nombrar peritos, el nombramiento corresponderá a la Comisión misma.
Parágrafo 1º. El interesado en solicitar pruebas deberá pedirlas dentro del plazo a que se refiere el literal c) del artículo 8º de la presente resolución, o dentro de los quince (15) días comunes siguientes a su vencimiento.
Parágrafo 2º. Cuando se soliciten pruebas sobre materias similares, la Comisión podrá acumularlas.
Artículo 13º. Decisión sobre la metodología para el cálculo de los cargos por uso de los Sistemas de Transmisión Regional y/o Distribución Local. Una vez analice las observaciones presentadas por los transportadores, y habiendo dado oportunidad de ser oídos a los interesados, la Comisión procederá a aprobar la metodología general que permita a los transportadores determinar los cargos por uso de los STR y/o SDL.
Artículo 14º. Decisión sobre los cargos por uso de cada transportador. Una vez analice la información presentada por los transportadores, habiendo dado oportunidad de ser oídos a los interesados, y practicadas las pruebas a que pueda haber lugar, conforme a la Ley, la Comisión procederá a aprobar los cargos por uso de los Sistemas de Transmisión Regional y/o Distribución Local de cada transportador.
Parágrafo. En el evento en que un transportador se abstenga de presentar ante la Comisión los datos a que se refiere esta resolución, la Comisión adelantará de oficio la correspondiente actuación con los elementos de juicio que tenga a su disposición.
Artículo 15º. Recursos. De acuerdo con lo previsto por el artículo 113 de la Ley 142 de 1994, contra la decisión mediante la cual la Comisión apruebe los cargos por uso de cada transportador, procede el recurso de reposición, el cual podrá interponerse anta la Dirección Ejecutiva de la Comisión, dentro de los cinco (5) días hábiles siguientes a la fecha en que sea notificada o publicada, según el caso.
Artículo 16º. Inicio de la actuación administrativa. Con el presente acto se da inicio al trámite que conducirá a la aprobación de la metodología aplicable a los transportadores para calcular el costo de prestación del servicio de transporte de electricidad por los Sistemas de Transmisión Regional y/o Distribución Local, y a la aprobación de los cargos por uso que cada transportador podrá aplicar a partir del 1º de enero de 1998.
Artículo 17º. Vigencia de la presente resolución. La presente resolución rige a partir de la fecha de su publicación en el Diario Oficial, y por ser un acto de trámite, no modifica las normas actualmente aplicables sobre las materias a que ella se refiere.
Publicada en el Diario Oficial No. 43.025 de abril 21 de 1997 |
PUBLÍQUESE Y CÚMPLASE
Dada en Santa Fe de Bogotá, D.C., el día 4 de abril de 1997
 | RODRIGO VILLAMIZAR A.
Ministro de Minas y Energía
Presidente | EDUARDO AFANADOR I
Director Ejecutivo |
ANEXO No 1
METODOLOGÍA PARA EL ESTABLECIMIENTO DE CARGOS POR USO DE LOS SISTEMAS DE TRANSMISIÓN REGIONAL Y/O DISTRIBUCIÓN LOCAL
La metodología que deben utilizar los transportadores en todos los niveles de tensión, para el cálculo de los cargos por uso de los STR y SDL será la de costos medios por energía.
Los cargos por uso que apruebe la CREG a los transportadores, reconocerán los costos en que éstos incurren para cumplir con su propósito. Una parte de estos costos provienen de la necesidad de mantener un acervo de capital y comprenden, tanto los asociados con la depreciación de los activos, como los relacionados con el costo de oportunidad de dicho capital. Los demás costos, provienen de los gastos de administración, operación y mantenimiento de la infraestructura eléctrica, así como de los pagos que deben realizar a terceros por concepto de conexiones al Sistema de Transmisión Nacional y/o Sistemas de Transmisión Regional o Distribución Local, y los pagos por servicios de Centros Regionales de Despacho que haya aprobado la Comisión.
1. INVENTARIO DE ACTIVOS
Los cargos se deben calcular para el sistema existente al momento de presentar el estudio. Activos que estén construidos pero que no se hayan puesto en operación, o activos que estén próximos a entrar, y por los cuales las empresas hayan pagado, se considerarán como parte del sistema existente, para efectos de calcular los cargos.
a) Activos eléctricos: Los transportadores deberán realizar un inventario de los activos que efectivamente utilizan en la prestación del servicio No deben incluirse, por ejemplo, líneas que están normalmente abiertas. independientemente del tiempo que estos lleven operando, asignándolos al nivel de tensión que sirven, siempre y cuando se trate de activos asociados a redes públicas. Para el caso del nivel de tensión I, el inventario se debe determinar a partir de una muestra representativa de dicho nivel. Este inventario se debe realizar de acuerdo con los formatos que se presentan en el Anexo No 2, los cuales deberán conservar las empresas para su eventual revisión por parte de la CREG. El resumen del inventario se debe presentar de acuerdo con los formatos que se incluyen en el Anexo No. 3, con el siguiente detalle:
_ Activos de Conexión: Transformadores conectados al STN y el módulo de transformación de alta tensión. Los módulos de transformador de baja tensión pueden ser considerados como parte de la conexión.
_ Activos del nivel IV [> o = 62 kV]: Módulos de transformadores de conexión con voltaje secundario perteneciente al nivel IV, cuando estos no estén considerados en la conexión al STN; módulos de línea con voltajes pertenecientes al nivel IV y líneas de transmisión con voltajes pertenecientes al nivel IV.
_ Activos del nivel III [> o = 30 kV, < 62 kV]: Módulos de transformadores de conexión con voltaje secundario perteneciente al nivel III, cuando estos no estén considerados en la conexión al STN; módulos de transformadores con voltajes pertenecientes al nivel III; transformadores con voltajes secundarios pertenecientes al nivel III; módulos de línea con voltajes pertenecientes al nivel III; líneas de transmisión o circuitos con voltajes pertenecientes al nivel III y otros equipos asociados al nivel (Equipo de maniobra, equipos de compensación, etc.).
_ Activos del nivel II [> o = 1 kV, < 30 kV]: Módulos de transformadores de conexión con voltaje secundario perteneciente al nivel II, cuando estos no estén considerados en la conexión al STN; módulos de transformadores con voltajes pertenecientes al nivel II; transformadores con voltajes secundarios pertenecientes al nivel II; módulos de línea con voltajes pertenecientes al nivel II; líneas de transmisión o circuitos primarios con voltajes pertenecientes al nivel II y otros equipos asociados al nivel (Equipo de maniobra, equipos de compensación, etc.)
_ Activos del nivel I < 1 kV]: Transformadores de distribución con voltaje secundario perteneciente al nivel I; redes secundarias aéreas y subterráneas valoradas por calibre de conductor y otros equipos asociados al nivel (Pararrayos, cortacircuitos, etc.).
_ Dentro de los activos de cada nivel de tensión, deben incluirse los equipos de medida asociados al respectivo nivel.
_ Los costos por Centros Locales de Distribución deberán asignarse a los respectivos niveles de tensión, en función del monto de los activos en cada nivel. Considerando que tales Centros de Distribución conllevan una reducción de los costos de operación de los Sistemas de Distribución Local, solo se remunerará el 50% del valor de estos activos.
b) Activos no eléctricos: Corresponden a los activos no eléctricos requeridos en las actividades de Transmisión Regional y/o Distribución Local y son: Edificios, Vehículos y Maquinaria, Muebles, y Equipos de Cómputo. Estos deberán reportarse a la CREG en los formatos que se incluyen en el Anexo No. 3.
La CREG reglamentará la admisibilidad de estos activos para el siguiente período de vigencia de la metodología general. Para el primer período de vigencia, se aceptará para ellos un valor máximo equivalente a un 8% sobre el valor de los activos eléctricos asociados con cada nivel de tensión.
La Comisión podrá ordenar la realización de una auditoría de los inventarios de activos en servicio que los transportadores reporten a la misma, con el fin de que les sean remunerados a través de los cargos.
2. VALORACIÓN DE ACTIVOSLos activos que entren en el inventario se valorarán utilizando costos unitarios que representen su valor de reposición, independientemente del tiempo que llevan operando. Estos costos deberán ser reportados a la Comisión, con el fin de efectuar un análisis comparativo de los costos de reposición que reporte cada transportador, y aprobar los costos de reposición que se reconocen.
a) Unidades constructivas: Para la valoración de los diversos componentes del sistema, estos se considerarán compuestos por “unidades de costo” o “unidades constructivas”.
Para las líneas de transmisión, circuitos y redes las unidades serán:
_ Kilómetro de línea
_ Kilómetro de circuito primario
_ Kilómetro de red
Para las subestaciones las unidades serán:
_ Bahías de Línea
_ Bahías de Transformador
_ Transformadores de Potencia
Para circuitos primarios y redes se consideraran las siguientes unidades constructivas:
_ Transformadores de Distribución
_ Equipo de compensación (KVAR)
_ Equipo de Protección (Pararrayos y Cortacircuitos)
_ Equipo de maniobra
Por simplicidad, para valorar líneas, circuitos primarios y redes de distribución secundaria, se deben utilizar los conductores normalizados que tenga la empresa, o en su defecto, utilizar los siguientes:
_ 1/0 AWG Para calibres iguales o menores al 1/0 AWG
_ 4/0 AWG Para calibres iguales o menores al 4/0 AWG
_ 336 MCM Para tamaños iguales o menores al 336 MCM
_ 556 MCM Para tamaños iguales o menores al 556 MCM
_ 795 MCM Para tamaños iguales o menores al 795 MCM
Las unidades de costos deben utilizar solamente dos tipos de apoyos: Metálico o Concreto (la madera se asimila al concreto), tanto para circuitos sencillos, como para doble circuitos.
Para valorar Módulos de subestación (de línea o de transformación) se deben utilizar módulos típicos. Los utilizados en la valoración anterior fueron los siguientes:
_Tipo 1 Barra Principal y Transferencia
_ Tipo 2 Barra sencilla
_Tipo 3 Reconectador y seccionador
_ Tipo 4 Seccionador fusible
_Tipo 5 Celdas
_ Tipo 6 Cortacircuitos
_Tipo 7 Otros
Las unidades constructivas deben incluir todos los elementos asociados a cada módulo, tales como:
_ Costos de tableros (Protección, Medida y Control)
_ Costos de equipo común, tales como transformador de tensión, equipos auxiliares AC y DC (Un porcentaje del costo de este equipo común se aplica al costo de cada módulo en proporción al número total de módulos existentes en la subestación.)
_ Costo de módulos comunes, tales como: módulo de seccionamiento de barras, módulo de transferencia, módulo de acople de barras (Un porcentaje del costo de estos módulos comunes se aplica al costo de cada módulo en proporción al número total de módulos existentes en la subestación.)
_ Costo de otros equipos no considerados en los anteriores (al igual que en los casos anteriores, en proporción al número de módulos)
_ Costo de Áreas Locativas (A cada módulo se debe asignar un costo por este concepto en proporción al número de módulos de la subestación)
_ Costo de capital invertido en terrenos (A cada módulo se debe asignar un área de terreno en proporción al número de módulos de la subestación). La Comisión unificará el área de terreno admisible por módulo.
_ Costo de repuestos básicos para la operación confiable
El terreno asociado a un módulo hace parte del costo de una unidad constructiva, pero como este es un bien que no se repone, se considera el costo del capital invertido en este, como un arriendo anual del 12% sobre el valor comercial del éste.
Adicionalmente, las “unidades constructivas” deben considerar todos los costos asociados al activo montado y en operación, tales como:
_ Flete marítimo
_ Seguros marítimos
_ Gastos portuarios
_ Arancel
_ IVA
_ Transporte terrestre
_ Seguros terrestres
_ Montaje y pruebas
_ Supervisión de montaje
_ Obras civiles
_ Ingeniería y administración
_ Costos financieros (intereses durante construcción)
_ Imprevistos
b) Tasa de Retorno
Será del nueve por ciento (9%) anual real, antes de impuestos, sobre los activos a ser remunerados, según esta metodología, valorados a precios de reposición.
c) Vidas útiles a considerar
El período de vida útil, para la valoración de los activos, será:
_ Líneas de transmisión 35 años
_ Circuitos primarios 30 años
_ Redes de distribución 30 años
_ Transformadores de Potencia 25 años
_ Subestaciones 25 años
_ Transformadores de Distribución 20 años
_ Equipos de maniobra, otros 20 años
_ Equipos de Centros de Distribución 10 años
_ Maquinaria 10 años
_ Construcciones 50 años
_ Vehículos 5 años
_ Muebles 10 años
_ Equipos de cómputo 3 años
d) Costo anual equivalente de activos
Las empresas deberán calcular un costo anual equivalente de los activos asignados a cada nivel de tensión, utilizando las vidas útiles establecidas para cada tipo de activo y la tasa de retorno reconocida.
3. GASTOS DE ADMINISTRACIÓN, OPERACIÓN Y MANTENIMIENTO
Los gastos anuales por concepto de Administración, Operación y Mantenimiento se calcularán como el 2% del valor de los activos eléctricos en cada uno de los niveles de tensión, valorados a precios de reposición. En zonas de alta contaminación salina, se tendrá un 0.5% adicional por este concepto.
Cuando los transportadores presenten estudios detallados, de acuerdo con el Plan Único de Cuentas que finalmente se adopte, la CREG podrá estudiar la adopción de valores diferentes por este concepto para los siguientes períodos de regulación.
4. MODELAJE DE LA RED
Los transportadores deben presentar el modelo detallado de sus Sistemas de Transmisión Regional y/o Distribución Local para cada nivel de tensión.
Para este modelaje deberán utilizar los flujos de energía correspondientes al último año histórico, con las inyecciones reales a la red en los diferentes niveles de tensión, y las ventas reales en los niveles IV, III, y II. El modelaje de los flujos se completará asumiendo los siguientes porcentajes de pérdidas acumulados, referidos a la energía disponible total: Nivel IV 1.5%, Nivel III 3.0%, Nivel II 5.0%, y Nivel I 15.0%.
En los casos en que el Sistema de Transmisión Regional y/o Distribución Local de una empresa no cuente con los cuatro niveles de tensión, se reconocerán los porcentajes de pérdidas marginales de cada nivel.
[
5. CÁLCULO DE LOS CARGOS
Los transportadores deben calcular los cargos correspondientes al sistema propio, entendiéndose por sistema propio la infraestructura eléctrica, independientemente de la propiedad de la misma, requerida para prestar el servicio en una determinada área geográfica, y que cuente con conexión física, ya sea al Sistema de Transmisión Nacional, o a otro Sistema de Transmisión Regional y/o Distribución Local.
Dado que el cálculo de los cargos de algunos transportadores depende de los cargos que se aprueben a otros, la Comisión realizará los ajustes correspondientes a los cargos, cuando éstos dependan de los cargos aprobados a otros transportadores. Para este fin, es necesario que las empresas informen a la Comisión, sobre las cantidades de energía recibidas en cada nivel de tensión, de cada uno de los transportadores que les prestan el servicio de transporte, correspondientes al último año histórico. Igualmente, deben informar a la Comisión sobre los montos de la facturación causada por concepto de conexión al Sistema de Transmisión Nacional o uso de Sistemas de Transmisión Regional y/o Distribución Local correspondientes a cada uno de los meses del último año histórico.
a) Cálculo del costo acumulado hasta cada nivel de tensión
Los cargos por uso de los STR y/o SDL que los transportadores presenten a la Comisión para su aprobación, serán acumulados por nivel de tensión y deben corresponder al sistema propio. El procedimiento para determinar los cargos acumulados por nivel de tensión requiere que se realice primero una acumulación de costos por nivel de tensión, y luego se determine el cargo acumulado correspondiente.
El costo acumulado hasta un nivel de tensión determinado está dado por los costos propios de ese nivel, más los costos acumulados de otros niveles multiplicado por la relación entre los flujos que salen hacia el nivel en que se está acumulando el costo, y los flujos totales que salen de esos niveles.
El costo propio de un nivel de tensión está dado por: El costo anual equivalente de los activos asignados al nivel, los gastos de AOM, los pagos o costos por concepto de conexión al STN de ese nivel, y los montos de la facturación causada por concepto de uso de otros sistemas correspondientes a los flujos de energía que entran a ese nivel.
La acumulación de costos hasta un nivel de tensión determinado se puede realizar utilizando:
_ Flujos de potencia coincidente
_ Flujos de energía
Los transportadores deberán presentar a la Comisión los respectivos costos acumulados y las memorias de cálculo correspondientes.
b) Cargos monomios: Los cargos monomios acumulados en cada nivel de tensión se calculan dividiendo el costo acumulado del nivel entre la energía útil de cada nivel. La energía útil se calcula como la energía disponible menos las pérdidas reconocidas, de acuerdo con el modelaje de la red.
c) Cargos monomios horarios: Los cargos monomios acumulados por nivel de tensión, con diferenciación horaria, se calculan a partir de los respectivos cargos monomios acumulados siguiendo el siguiente procedimiento:
_ Elaboración de curvas de carga típicas por niveles de tensión que reflejen el uso real de dicho sistema en ese nivel.
_ Determinación de períodos horarios de carga máxima, media y mínima con base en las curvas de carga anteriores.
_ Asignación de costos a cada período horario en función de la potencia promedio de cada período.
En el Anexo No 4 de la presente resolución se presenta el procedimiento para calcular cargos monomios con diferenciación horaria, a partir de un cargo monomio acumulado por nivel de tensión.
6. LÍMITES MÁXIMOS EN LOS CARGOS
Para el caso particular de los transportadores, donde la infraestructura eléctrica genere cargos por uso superiores al límite que se indica más adelante, la Comisión adoptará una estructura de costos que considere el promedio nacional de cada nivel de tensión, acotando los cargos de dichas empresas al 120% de dicho promedio. De acuerdo con este criterio, los valores superiores al establecido como límite superior no se incluyen como referencia tarifaria.
7. TRATAMIENTO DE LAS PÉRDIDAS
Los cargos de transporte se calculan con los flujos de energía modelados por el transportador que cumplan con los porcentajes de pérdidas reconocidos.
Las pérdidas totales reconocidas para los cargos que se pondrán en vigencia a partir del 1º de enero de 1998, son del 15% referidas a la energía disponible desde el nivel de tensión IV. Para cada uno de los años siguientes del período de vigencia de los cargos, el índice de pérdidas reconocido del 15% se disminuirá en el uno por ciento (1%), el cual se considerará a través de un factor de ajuste anual en el valor de los cargos, para evitar el recálculo de los mismos.
Durante los tres primeros años de vigencia de los cargos, el transportador liquidará los cargos al comercializador con base en la energía facturada por este último a los usuarios de ese sistema. A partir del cuarto año, si el transportador tiene instalados los equipos que permitan medir la energía entregada en cada nivel de tensión, facturará los cargos con base en dichas medidas.
Por otra parte, si el transportador no instala los equipos de medición antes de terminar el tercer año de vigencia de los cargos, a partir del cuarto año será responsable por el exceso de pérdidas entre las que se le reconozcan a los comercializadores usuarios de su red y las que se presenten en el sistema, valoradas al precio de compra que salga de la fórmula tarifaria para los usuarios del mercado regulado de los respectivos comercializadores.
8. ACTUALIZACIÓN DE LOS CARGOS
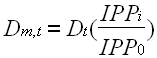
Los cargos se actualizarán mensualmente con el Índice de Precios al Productor Total Nacional (IPP), de acuerdo con la siguiente fórmula:
donde:
t: Años transcurridos desde el inicio de la aplicación de los cargos (t= 0, 1, 2, 3, 4)
Dm,t: Cargo por uso correspondiente al mes m de prestación del servicio, para el año t de aplicación de los cargos.
Dt: Cargo por uso del mes al que están referidos los cargos que apruebe la Comisión, debidamente ajustado, como se indica más adelante.
IPP : Índice de Precios al Productor Total Nacional que publique la autoridad correspondiente.
Transcurrido un año de vigencia de los cargos, al inicio de cada año, se hará un ajuste que refleje los incrementos en productividad de las empresas y la disminución en las pérdidas permitidas, por medio de la siguiente expresión:
donde:
Dt Cargo por uso, en precios constantes de la fecha a la que están referidos los cargos aprobados por la Comisión, a cobrar durante el año t de vigencia de los cargos.
Dt-1 Cargo por uso, en precios constantes de la fecha a la que están referidos los cargos aprobados por la Comisión, correspondiente al año anterior.
IPSE Variación porcentual anual del Índice de Productividad del Sector Eléctrico. Para el primer período de regulación, esta variación se asumirá como del 1% anual.
PR Variación en las pérdidas reconocidas. Para el primer período regulatorio corresponde al 1% anual.
 | RODRIGO VILLAMIZAR A.
Ministro de Minas y Energía
Presidente | EDUARDO AFANADOR I
Director Ejecutivo |

Formato 2.5

Formato 2.6


Formato 2.8

Nota 1: Cantidades Equipo de Patio

 | RODRIGO VILLAMIZAR A.
Ministro de Minas y Energía
Presidente | EDUARDO AFANADOR I
Director Ejecutivo |
ANEXO No 3
FORMATOS CON INVENTARIOS Y COSTOS UNITARIOS
Las empresas distribuidoras deben presentar el inventario de sus activos eléctricos y demás, utilizados para el desarrollo de su actividad de distribución, valorados a precios de reposición de acuerdo con los formatos que se presentan en este anexo.
Formato 3.1
Formato 3.2

Formato 3.3

Formato 3.4

Formato 3.5

 | RODRIGO VILLAMIZAR A.
Ministro de Minas y Energía
Presidente | EDUARDO AFANADOR I
Director Ejecutivo |
ANEXO No. 4
CÁLCULO DE CARGOS MONOMIOS HORARIOS A PARTIR DEL CARGO MONOMIO ACUMULADO
Objeto: Determinar los cargos monomios con diferenciación horaria, en función de la utilización que los usuarios hacen de los sistema eléctricos de los transportadores.
El procedimiento que deben seguir los transportadores es el siguiente:
Primer Paso: Elaborar las curvas de carga típicas por nivel de tensión (IV, III, II, I).
Para obtener las curvas de carga típicas por nivel de tensión, los transportadores deben determinar el uso que los usuarios hacen de los sistemas eléctricos en cada uno de los niveles de tensión. La información requerida para elaborar estas curvas se puede obtener de las planillas de flujos horarios que se tengan registradas en las subestaciones. Para el caso del nivel I, las curvas pueden realizarse por muestreo de carga en los transformadores de distribución. El método utilizado para elaborar este tipo de curvas es decisión de cada empresa, lo importante es que las curvas que finalmente obtengan, reflejen el uso real que los usuarios hacen de los sistemas eléctricos en cada nivel de tensión.
Segundo paso: Determinar los períodos de carga máxima, media y mínima en función de la curva de carga típica que fue estimada para cada nivel de tensión. Un criterio para determinar estos períodos de carga es con base en el porcentaje de carga que se presenta en el sistema en una hora particular, referida a la carga máxima de la curva de carga. Los porcentajes recomendados para establecer estos períodos son los siguientes:
Período de carga máxima: Horas en las cuales el porcentaje de carga es mayor al 85% de la potencia máxima
Período de carga media: Horas en las cuales el porcentaje de carga es mayor al 48% y menor o igual al 85% de la potencia máxima.
Período de carga mínima: Las demás horas del día no contempladas en los períodos de carga máxima y media
El número de períodos horarios resultantes dependerá de la forma de la curva de carga. Una curva de carga plana, por ejemplo, no debe tener diferenciación de cargo por hora, porque claramente el uso que hace un usuario del sistema durante cualquier hora del día no causa un esfuerzo adicional al sistema.
Tercer paso: Cálculo de cargos monomios horarios.
Los cargos monomios horarios para un nivel de tensión particular se calculan a partir del cargo monomio acumulado calculado para ese nivel, con las siguientes consideraciones:
_ Para la condición inicial, los costos que recupera la empresa utilizando los cargos monomios horarios son iguales a los que recupera con el cargo monomio.
_ Por definición de la Comisión, los cargos monomios horarios son proporcionales a la potencia promedio de cada período de carga.
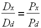
Sean Hx, Hd, y Hm el número de horas asociadas a cada uno de los períodos horarios, determinados por las empresas, de acuerdo con el segundo paso del procedimiento establecido.
Sean Px, Pd y Pm la potencia resultante de promediar las potencias (Pi) asociadas a las horas asignadas a cada uno de los períodos de carga.
Sea Dn el cargo monomio ($/kWh) acumulado para un nivel de tensión
Se requieren calcular los cargos monomios horarios Dx, Dd y Dm:
Considerando que la magnitud de la energía de la hora i-ésima es igual a la magnitud de la potencia de la hora i-ésima (Pi) por tratarse de potencias promedios referidas a períodos de una hora, la primera condición establece que:
(1)
La segunda condición, definida por la Comisión, establece que los cargos monomios horarios son proporcionales a la potencia promedio resultante de acuerdo con las horas asignadas a cada período de carga, lo cual quiere decir que:
(2)
(3)
Los cargos monomios horarios Dx, Dd y Dm se obtienen resolviendo el sistema de tres ecuaciones con tres incógnitas planteado en las ecuaciones (1) a (3).
 | RODRIGO VILLAMIZAR A.
Ministro de Minas y Energía
Presidente | EDUARDO AFANADOR I
Director Ejecutivo |
|
Doble click sobre el archivo anexo para bajarlo(Resoluciones CREG) |
Doble click sobre el archivo anexo para bajarlo(Documento CREG) |
|