| Publicación Diario Oficial No.: | 46.924, el día:07/March/2008 |
| Publicada en la WEB CREG el: | 12/March/2008 |
| RESOLUCIÓN No.007 ( 31 ENE. 2008 )
Por la cual se aprueban el Cargo Promedio de Distribución por uso del Sistema de Distribución de gas natural por red y el Cargo Máximo Base de Comercialización de gas natural por redes a usuarios regulados, para el mercado relevante conformado por los municipios de Popayán y Piendamó en el departamento del Cauca.
LA COMISIÓN DE REGULACIÓN DE ENERGÍA Y GAS
En ejercicio de sus atribuciones constitucionales y legales, en especial las conferidas por la Ley 142 de 1994, y los Decretos 1524 y 2253 de 1994, y
C O N S I D E R A N D O:
Que el Artículo 14.28 de la Ley 142 de 1994, definió el servicio público domiciliario de gas combustible como el conjunto de actividades ordenadas a la distribución de gas combustible y estableció la actividad de comercialización como complementaria del servicio público domiciliario de gas combustible;
Que según lo dispuesto por el Artículo 28 de la Ley 142 de 1994, la construcción y operación de redes para el transporte de gas, así como el señalamiento de las tarifas por uso, se regirán exclusivamente por esa Ley;
Que el Artículo 73.11 de la Ley 142 de 1994, atribuyó a la Comisión de Regulación de Energía y Gas, la competencia para establecer las fórmulas para la fijación de las tarifas del servicio público domiciliario de gas combustible;
Que según lo dispuesto por el Artículo 88.1 de la Ley 142 de 1994, la Comisión de Regulación de Energía y Gas podrá establecer topes máximos y mínimos tarifarios, de obligatorio cumplimiento por parte de las empresas;
Que el Artículo 126 de la Ley 142 de 1994 establece que vencido el período de vigencia de las fórmulas tarifarias éstas continuarán rigiendo mientras la Comisión no fije las nuevas;
Que mediante Resolución CREG-045 de 2002 se estableció la metodología de cálculo y ajuste para la determinación de la tasa de retorno que se utilizará en las fórmulas tarifarias de la actividad de distribución de gas combustible por redes para el próximo período;
Que mediante Resolución CREG-069 de 2006 se adoptó la nueva tasa de retorno de conformidad con lo establecido en la resolución CREG-045 de 2002;
Que mediante Resolución CREG-011 de 2003 se adoptó la metodología y criterios generales para determinar la remuneración de las actividades de distribución y comercialización de gas combustible y las fórmulas generales para la prestación del servicio público domiciliario de distribución de gas combustible por redes de tubería;
Que mediante la Resolución CREG-100 de 2003, la Comisión de Regulación de Energía y Gas estableció los Estándares de Calidad en el servicio público domiciliario de gas natural y GLP en Sistemas de Distribución por redes de tuberías.
Que mediante Documento CREG-009 de 2004, se definieron los gastos eficientes de AOM para las actividades de distribución y comercialización, el factor de eficiencia en redes, así como los gastos eficientes de AOM para el control y monitoreo de los estándares de calidad definidos mediante Resolución CREG-100 de 2003;
Que en el municipio de Popayán existe un mercado relevante para distribución de GLP por red, con aproximadamente 1.500 usuarios, y con la solicitud de cargos para distribución de gas natural por red se crea un nuevo mercado para distribución de gas natural para más de 50.000 usuarios;
Que Alcanos de Colombia S.A. ESP. mediante comunicación con radicado CREG E-2007-009420 del 3 de diciembre de 2007, presentó a la Comisión una solicitud tarifaria para distribución de gas natural por redes para los municipios de Popayán y Piendamó en el departamento del Cauca;
Que la solicitud tarifaria presentada por Alcanos de Colombia S.A. ESP. incluye las proyecciones de demanda, las proyecciones de gastos de AOM de distribución y el Programa de Nuevas Inversiones, clasificadas según el listado de unidades constructivas establecido en el Anexo No. 1 de la Resolución CREG 011 de 2003;
Que Alcanos de Colombia S.A. ESP. en cumplimiento de lo dispuesto en los parágrafos de los artículos 20 y 29 de la Resolución CREG-011 de 2003, el día 4 de diciembre de 2007 publicó en el Diario La República el resumen del estudio de cargos que presentó a la Comisión, con la información señalada en la Circular CREG 021 de 2003. Copia de esta publicación se remitió a la CREG con radicado E-2007-009558 de diciembre 7 de 2007;
Que la Empresa Caucana de Gas S.A. ESP. mediante comunicación con radicado CREG E-2008-000402 de enero 21 de 2008, solicitó hacerse parte como tercero interesado en la solicitud tarifaria de Alcanos de Colombia S.A. ESP.;
Que la Unidad de Planeación Minero-Energética, aprobó la metodología utilizada para las proyecciones de demanda del mercado que va a atender Alcanos de Colombia S.A. ESP., de conformidad con lo establecido en el Numeral 7.5 de la Resolución CREG 011 de 2003;
Que la Comisión de Regulación de Energía y Gas efectuó los cálculos tarifarios correspondientes a partir de la metodología establecida en la Resolución CREG-011 de 2003 y demás información disponible en la Comisión, los cuales se presentan en el Documento CREG-007 de 2008;
Que la Comisión de Regulación de Energía y Gas en su sesión 360 del 31 de enero de 2008 aprobó el Cargo Promedio por Uso del Sistema de Distribución y el Cargo Máximo Base de Comercialización del Mercado Relevante conformado por los municipios de Popayán y Piendamó en el departamento del Cauca;
R E S U E L V E:
Artículo 1. Mercados Relevantes de Distribución y Comercialización. Para efectos de aplicación de esta Resolución el mercado relevante de distribución y comercialización de gas natural por red incluye los municipios de Popayán y Piendamó en el departamento del Cauca.
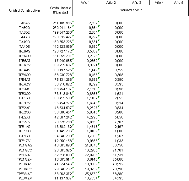
Artículo 2. Inversión Base. La Inversión Base para determinar el cargo de distribución para el Mercado Relevante definido en el Artículo 1 de esta Resolución corresponde a nuevas inversiones. Para el Programa de Nuevas Inversiones se reconocen los siguientes valores, con la descripción presentada en el Anexo 1 de la presente Resolución:
Cifras en pesos del 31 de Diciembre de 2006.
Parágrafo: Las desviaciones que se presenten en el Programa de Nuevas Inversiones serán consideradas de conformidad con lo establecido en el literal b) del numeral 7.1 de la Resolución CREG 011 de 2003.
Artículo 3. Demandas Esperadas de Volumen. Para el cálculo tarifario se utilizó la Demanda de Volumen para el horizonte de proyección presentada en el Anexo 2 de esta Resolución.
Artículo 4. Gastos de Administración, Operación y Mantenimiento de Distribución - AOM. El nivel de eficiencia obtenido del modelo de frontera de eficiencia por la empresa Alcanos de Colombia S.A. ESP es 70,48%. Aplicando este resultado al valor presente de los gastos de AOM propuestos para el horizonte de Proyección, se obtiene el siguiente valor para incorporar al cálculo del cargo que remunera los gastos de AOM. En el Anexo 3 se presentan los gastos de AOM para el Horizonte de Proyección.
|
| $ del 31 de Dic/2006 |
Valor Presente de los gastos de AOM, con nivel de eficiencia
|
|
Artículo 5. Cargo Promedio de Distribución. A partir de la vigencia de la presente Resolución, el Cargo Promedio de Distribución de gas natural aplicable en el Mercado Relevante del Artículo 1, para recuperar los costos de inversión y gastos de AOM para la distribución domiciliaria de gas natural por red se fija en 300,13 $/m3 (pesos de diciembre de 2006) desagregado de la siguiente manera:
NOTA: Cifras en pesos del 31 de diciembre de 2006
Parágrafo 1: El cargo piso aplicable en el Mercado Relevante del Artículo 1 se fija en $94,06/m3 (pesos de diciembre de 2006).
Parágrafo 2: Estos Cargos de Distribución se actualizarán de conformidad con lo establecido en el numeral 7.8 de la Resolución CREG-011 de 2003.
Artículo 6. Cargo Máximo Base de Comercialización. A partir de la vigencia de la presente Resolución, el Cargo Máximo Base de Comercialización aplicable en el Mercado Relevante definido en el Artículo 1 de la presente Resolución, es el siguiente.
| Cargo Máximo Base de Comercialización ($/factura) | 1.072,52 |
NOTA: Cifras en pesos del 31 de diciembre de 2006
Parágrafo: El Cargo de Comercialización se actualizará de conformidad con lo establecido en el Artículo 24 de la Resolución CREG-011 de 2003.
Artículo 7. Fórmula Tarifaria. La Fórmula Tarifaria aplicable al mercado relevante definido en el Artículo 1 de la presente Resolución corresponderá a la establecida en el Artículo 32 ó 34 de la Resolución CREG 011 de 2003, según sea el caso.
Artículo 8. Vigencia de la Fórmula Tarifaria, del Cargo Promedio de Distribución y del Cargo Máximo Base de Comercialización. La fórmula tarifaria, incluido el Cargo Promedio de Distribución y el Cargo Máximo Base de Comercialización que se establecen en esta Resolución, regirán a partir de la fecha en que la presente Resolución quede en firme y durante el término de vigencia de las fórmulas tarifarias definidas en la Resolución CREG-011 de 2003. Vencido este período las fórmulas tarifarias continuarán rigiendo mientras la Comisión no fije las nuevas, tal como está previsto en el Artículo 126 de la Ley 142 de 1994.
Artículo 9. La presente Resolución deberá notificarse a las empresas Alcanos de Colombia S.A. ESP. y Caucana de Gas S.A. ESP. y publicarse en el Diario Oficial. Contra las disposiciones contenidas en esta Resolución procede el Recurso de Reposición, el cual podrá interponerse ante la Dirección Ejecutiva de la CREG dentro de los cinco (5) días hábiles siguientes a la fecha de su notificación.
NOTIFÍQUESE, PUBLÍQUESE Y CÚMPLASE
Dada en Bogotá a los 31 ENE. 2008
MANUEL MAIGUASHCA OLANO | HERNAN MOLINA VALENCIA |
Viceministro de Minas y Energía | Director Ejecutivo |
Delegado del Ministro de Minas y Energía |  |
Presidente |  |
ANEXO 1
INVERSIÓN BASE
PROGRAMA DE NUEVAS INVERSIONES

MANUEL MAIGUASHCA OLANO | HERNAN MOLINA VALENCIA |
Viceministro de Minas y Energía | Director Ejecutivo |
Delegado del Ministro de Minas y Energía
Presidente |  |
ANEXO 2
PROYECCIONES DE USUARIOS Y DEMANDA
MANUEL MAIGUASHCA OLANO | HERNAN MOLINA VALENCIA |
Viceministro de Minas y Energía | Director Ejecutivo |
Delegado del Ministro de Minas y Energía
Presidente |  |
ANEXO 3
PROYECCIÓN DE GASTOS DE ADMINISTRACIÓN, OPERACIÓN Y MANTENIMIENTO DE DISTRIBUCIÓN – AOM
MANUEL MAIGUASHCA OLANO | HERNAN MOLINA VALENCIA |
Viceministro de Minas y Energía | Director Ejecutivo |
Delegado del Ministro de Minas y Energía
Presidente |  |
|
Doble click sobre el archivo anexo para bajarlo(Resoluciones CREG) |
Doble click sobre el archivo anexo para bajarlo(Documento CREG) |
|