| Publicación Diario Oficial No.: | , el día: |
| Publicada en la WEB CREG el: | |
|
Publicada en el Diario Oficial No.45.876 del 11 de abril de 2005
RESOLUCIÓN No.002
( 24 FEB. 2005 )
Por la cual se programan las metas individuales para el cumplimiento del programa de reposición y mantenimiento de cilindros portátiles utilizados en la prestación del servicio de Gas Licuado del Petróleo (GLP) para el período marzo de 2005 a febrero de 2006.
LA COMISIÓN DE REGULACIÓN DE ENERGÍA Y GAS
En ejercicio de sus facultades legales, en especial las conferidas por las Leyes 142 de 1994 y 689 de 2001, y en desarrollo de los Decretos 1524 y 2253 de 1994, y
C O N S I D E R A N D O :
Que de conformidad con lo dispuesto en la Ley 142 de 1994 corresponde a la Comisión de Regulación de Energía y Gas regular la prestación del servicio de gas combustible;
Que de acuerdo a lo establecido en el artículo 23 de la Ley 689 de 2001 corresponde a la CREG expedir la regulación relacionada con la reposición y mantenimiento de los cilindros y tanques estacionarios utilizados en la comercialización del GLP;
Que en desarrollo de lo establecido en el artículo 23 de la Ley 689 de 2001, la CREG expidió la Resolución 019 de 2002, por la cual se adopta la regulación aplicable a la reposición y mantenimiento de cilindros y tanques estacionarios utilizados en la prestación del servicio de Gas Licuado del Petróleo (GLP), disponiendo el establecimiento de metas individuales de reposición de cilindros portátiles;
Que la Resolución CREG-071 de 2002 establece que la CREG definirá metas de reposición sin perjuicio de la programación de cantidades adicionales que realicen las empresas distribuidoras de GLP;
Que el artículo 5º de la Resolución 071 de 2002 establece los criterios generales para la programación y ejecución de las actividades de reposición y mantenimiento de cilindros portátiles;
Que la Comisión de Regulación de Energía y Gas, en la Sesión No. 250 del 24 de febrero de 2005, acordó expedir las metas individuales de reposición y mantenimiento de cilindros utilizados en la prestación servicio de Gas Licuado del Petróleo (GLP).
R E S U E L V E :
ARTÍCULO 1. Criterios generales para la programación y ejecución de las actividades de reposición y mantenimiento de cilindros portátiles.
1. Las metas individuales que se establecen en esta Resolución son las metas mínimas que debe cumplir cada empresa distribuidora de GLP que utilice cilindros portátiles para la prestación del servicio. El incumplimiento de estas metas dará lugar a la aplicación de los correspondientes procedimientos administrativos por parte de la Superintendencia de Servicios Públicos Domiciliarios.
2. El Comité Fiduciario podrá adoptar lineamientos generales, basados en criterios de eficiencia, para coordinar con las empresas distribuidoras de GLP las programaciones que éstas últimas deben realizar para el cumplimiento de sus metas de reposición, respetando las metas individuales fijadas en la presente Resolución.
3. Las empresas distribuidoras de GLP podrán programar, para reposición o mantenimiento, cantidades de cilindros portátiles adicionales a las previstas en esta Resolución, y su ejecución estará sujeta a la aprobación del Comité Fiduciario.
4. Las empresas distribuidoras de GLP, que en los términos previstos en el artículo 11.8 de la Ley 142 de 1994 informen del inicio de sus operaciones a la Superintendencia de Servicios Públicos Domiciliarios y a la Comisión de Regulación de Energía y Gas, serán incluidas dentro del programa de reposición y mantenimiento, para lo cual la CREG procederá a fijar las metas individuales correspondientes.
5. Cuando las empresas distribuidoras a las cuales se les ha asignado metas sean sujeto de fusiones, debidamente autorizadas por la autoridad competente, las metas individuales de la sociedad absorbente corresponderán a las metas agregadas de cada una de las empresas absorbidas.
6. Las metas individuales de reposición para zonas distantes deberán ser ejecutadas en cualquier momento, durante el período comprendido entre el 1º de marzo de 2005 y el 28 de febrero de 2006.
ARTÍCULO 2. Ingreso de cilindros repuestos al parque en circulación. Es obligación de los distribuidores ingresar al parque en circulación la totalidad de los cilindros repuestos con cargo a los recursos provenientes del Margen de Seguridad. Por lo tanto debe existir correspondencia entre las ventas reportadas en los nuevos tamaños y los cilindros repuestos en los antiguos tamaños.
ARTÍCULO 3. Metas individuales de reposición de cilindros de 100 libras por cilindros de 80 libras. Los cilindros de 100 libras que por sus condiciones técnicas y de operación deban ser retirados del servicio, deberán reponerse inmediatamente por cilindros de 80 libras.
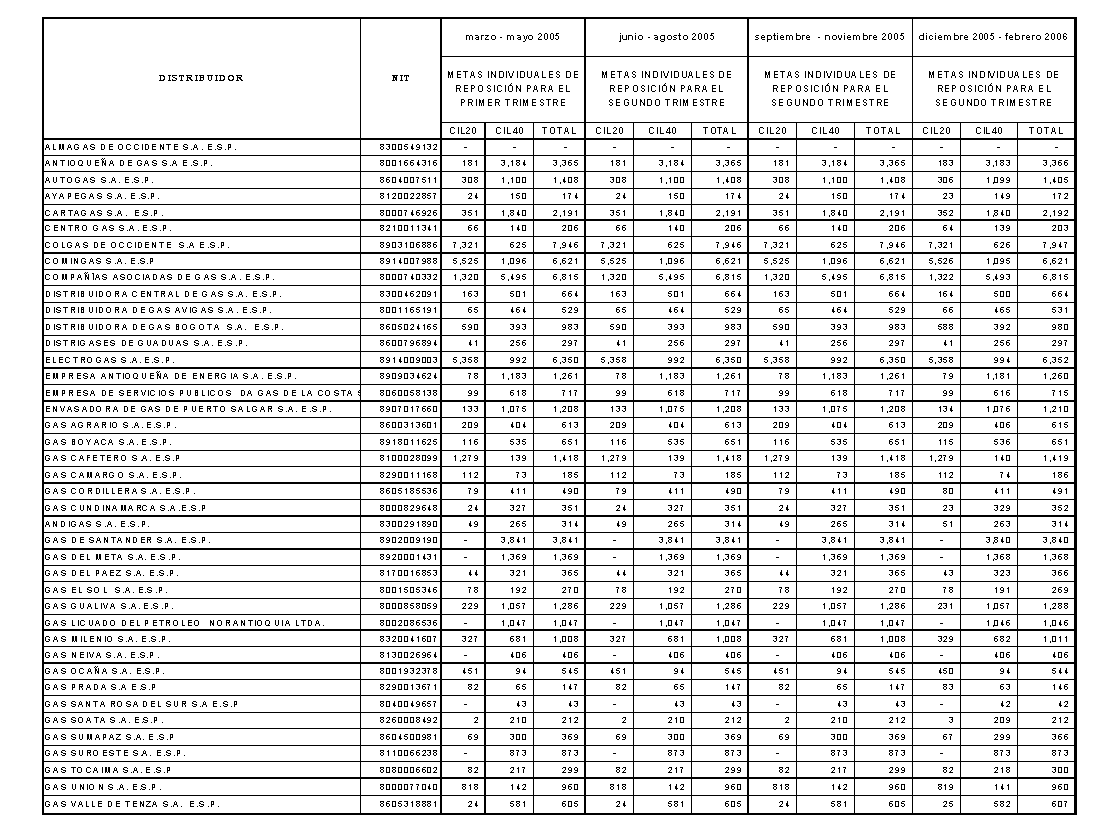
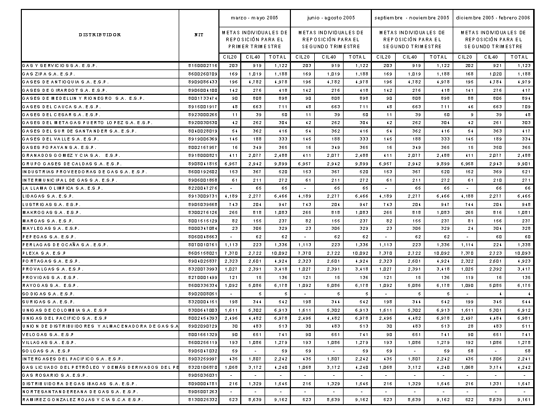
ARTÍCULO 4. Metas individuales de reposición de cilindros portátiles de 20 y 40 libras por cilindros de 30 libras. Las metas individuales de reposición de cilindros portátiles de 30 libras utilizados en la prestación del servicio de GLP, que deben cumplir las empresas distribuidoras de GLP, serán las siguientes:
ARTÍCULO 5. La presente Resolución deberá notificarse a las empresas que se relacionan en el artículo anterior, y publicarse en el Diario Oficial. Contra las decisiones contenidas en el Artículo 4° de esta Resolución procede el Recurso de Reposición, el cual podrá interponerse ante la Dirección Ejecutiva de la CREG dentro de los cinco (5) días hábiles siguientes a la fecha de su notificación.
NOTIFIQUESE, PUBLIQUESE Y CUMPLASE
Dada en Bogotá, D.C. 24 FEB. 2005
| MANUEL MAIGUASHCA OLANO
| ANA MARÍA BRICEÑO MORALES
|
| Viceministro de Minas y Energía
| Directora Ejecutiva
|
| Delegado del Ministro de Minas y
Energía
Presidente
|  |
|
| Doble click sobre el archivo anexo para bajarlo(Resoluciones CREG)
|
| Doble click sobre el archivo anexo para bajarlo(Documento CREG)
|
|