| Publicación Diario Oficial No.: | 47.481, el día:23/September/2009 |
| Publicada en la WEB CREG el: | 21/September/2009 |
| RESOLUCIÓN No. 078 ( 16 JUL. 2009 )
Por la cual se modifica la Resolución 101 de 2008 que establece las metas individuales de recolección de cilindros universales del Programa REPU para su reemplazo por un parque de cilindros marcados propiedad de los distribuidores y se adiciona el Articulo 42 de la Resolución CREG 045 de 2008.
Concordancias: Ley 1151 de 2007; Art. 62
Ley 689 de 2001; Art. 23
Ley 142 de 1994; Art. 14.28
Resolución CREG 17 de 2009
Resolución CREG 67 de 2008
Resolución CREG 23 de 2008 |
LA COMISIÓN DE REGULACIÓN DE ENERGÍA Y GAS
En ejercicio de sus facultades legales, en especial las conferidas por las Leyes 142 de 1994 y 1151 de 2007, y en desarrollo de los Decretos 1524 y 2253 de 1994, y
CONSIDERANDO:
De conformidad con lo dispuesto en la Ley 142 de 1994 corresponde a la Comisión de Regulación de Energía y Gas regular la prestación del servicio de gas combustible.
Con fundamento en lo dispuesto en el artículo 62 de la Ley 1151 la Comisión de Regulación de Energía y Gas expidió la Resolución 023 de 2008 “Por la cual se establece el Reglamento de Distribución y Comercialización Minorista de Gas Licuado del Petróleo”.
Con fundamento en lo señalado en el artículo 62 de la Ley 1151 de 2007 la CREG expidió la Resolución 045 de 2008 “Por la cual se establece la regulación aplicable al período de transición de un esquema de parque universal a un esquema de parque marcado de cilindros de propiedad de los distribuidores”.
De acuerdo con lo establecido en la Resolución CREG 045 de 2008, la CREG debe fijar las metas individuales de recolección y destrucción del parque universal de cilindros para que sea reemplazado por un parque marcado propiedad de los distribuidores y su cumplimiento será verificado semestralmente por la SSPD, el cual se constituirá en el Programa de Recolección del Parque Universal (REPU) del cual trata la misma Resolución.
Con fundamento en el Plan de Inversiones reportado por los Distribuidores, en cumplimiento de la Resolución CREG 045 de 2008, la CREG expidió la Resolución CREG 101 de 2008 “Por la cual se establecen las metas individuales de recolección de cilindros universales del Programa REPU para su reemplazo por un parque universal de cilindros marcados de propiedad de los distribuidores inversionistas de los cuales trata la Resolución CREG 045 de 2008 y se define el programa ICMA con base en el Plan de Inversiones particular”.
Mediante Resolución CREG 017 de 2009 elimina la obligatoriedad del cumplimiento de las metas individuales de recolección señaladas para el semestre octubre 2008 – marzo 2009 e indica que en resolución aparte se determinará como se distribuirán estas metas en el tiempo.
Mediante Circular CREG 012 de 2009, la CREG solicitó a los distribuidores reportar los ajustes que consideren necesarios a su Plan de Inversiones de forma tal que reflejen los tiempos en los cuales planean ejecutar las metas no realizadas durante el período octubre 2008 – marzo 2009.
Con base en la ejecución a la fecha del esquema de transición establecido en la Resolución CREG 045 de 2008, es necesario realizar otras modificaciones y/o adiciones a la regulación vigente a fin de facilitar la adecuada ejecución de los recursos y de contar con información oportuna que permita tomar las decisiones regulatorias que garanticen el cambio de un parque universal de cilindros por un parque marcado propiedad de los distribuidores.
Por existir razones de conveniencia general y de oportunidad, como son contar con la regulación necesaria para garantizar la adecuada ejecución del programa REPU, las disposiciones de carácter general contenidas en esta resolución se expedirán de manera inmediata sin sujeción a las disposiciones sobre publicidad de proyectos de resolución previstas en el artículo 9 del Decreto 2696 de 2004.
La Comisión de Regulación de Energía y Gas, en la Sesión No. 413 del 16 de julio de 2009, acorde con los análisis presentados en el Documento CREG 62 del 16 de julio de 2009, acordó modificar la Resolución CREG 101 de 2008 y adicionar la Resolución CREG 045 de 2008.
RESUELVE:
ARTÍCULO 1o. El numeral 1 del Artículo 9 de la Resolución CREG 101 de 2008 quedará así:
“
1. Las metas individuales de recolección de cilindros universales que se establecen en esta Resolución son las metas que debe cumplir cada empresa distribuidora inversionista de GLP. “
ARTÍCULO 2o. El Artículo 12 de la Resolución CREG 101 de 2008 quedará así:
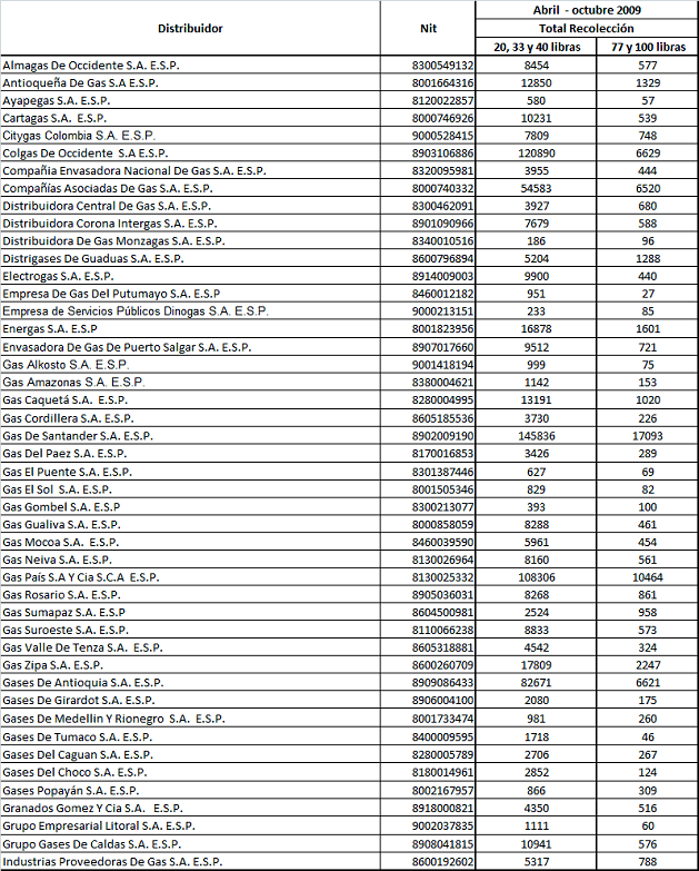
“ARTÍCULO 12o. Metas individuales de recolección de cilindros universales a ejecutar durante el período abril a octubre de 2009. Las metas individuales de recolección de cilindros universales utilizados en la prestación del servicio de GLP, que deben cumplir las empresas distribuidoras inversionistas de GLP durante el período indicado en este Artículo, serán las siguientes:
“
ARTÍCULO 3o. El Artículo 13 de la Resolución CREG 101 de 2008 quedará así:
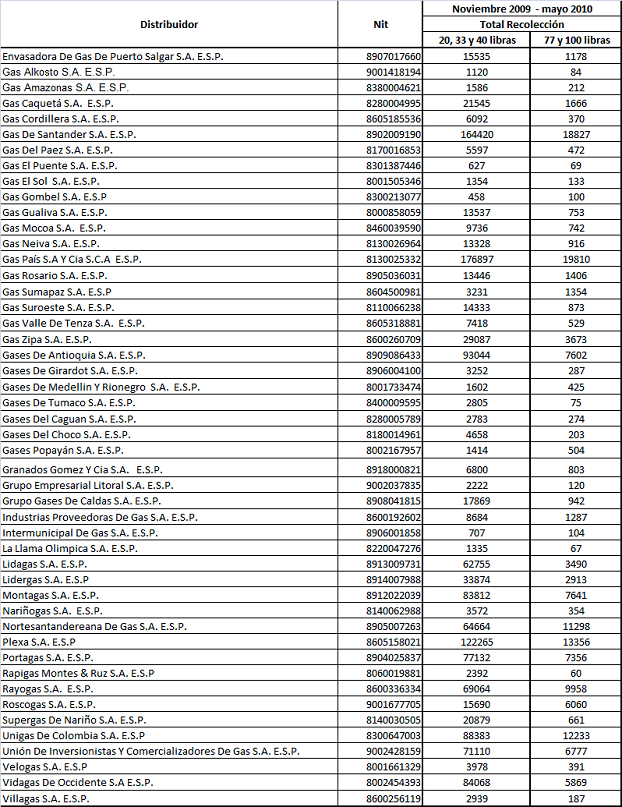
“ARTÍCULO 13o. Metas individuales de recolección de cilindros universales a ejecutar durante el período noviembre de 2009 a mayo de 2010. Las metas individuales de recolección de cilindros universales utilizados en la prestación del servicio de GLP, que deben cumplir las empresas distribuidoras de GLP durante el período indicado en este Artículo, serán las siguientes:
“ARTÍCULO 4o. El Artículo 14 de la Resolución CREG 101 de 2008 quedará así:
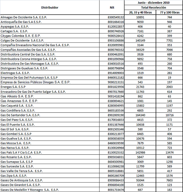
“ARTÍCULO 14o. Metas individuales de recolección de cilindros universales a ejecutar durante el período junio a diciembre de 2010. Las metas individuales de recolección de cilindros universales utilizados en la prestación del servicio de GLP, que deben cumplir las empresas distribuidoras inversionistas de GLP durante el período indicado en este Artículo, serán las siguientes:
“
ARTÍCULO 5º. Adiciónese el literal n al Artículo 42 de la Resolución CREG 045 de 2008 el cual define las funciones del Comité Fiduciario, así:
“n. Con base en los reportes mensuales de ejecución presentados por la Interventoria y con base en los reportes mensuales financieros presentados por la Entidad Fiduciaria, entregar a la CREG una proyección mensual general del programa REPU, y sus costos asociados, de manera tal que se identifiquen posibles faltantes o excedentes de los recursos del Margen de Seguridad y la CREG pueda adoptar las medidas regulatorias pertinentes para garantizar la adecuada ejecución del programa.”
ARTÍCULO 6º. Vigencia. Los Artículos 1 y 5 de esta Resolución entrarán en vigencia una vez se publique esta Resolución en el Diario Oficial.
ARTÍCULO 7o. La presente resolución deberá notificarse a las empresas que se relacionan en los Artículos 2, 3 y 4 anteriores, y publicarse en el Diario Oficial. Contra las decisiones contenidas en los Artículos mencionados procede el Recurso de Reposición, el cual podrá interponerse ante la Dirección Ejecutiva de la CREG dentro de los cinco (5) días hábiles siguientes a la fecha de su notificación.
NOTIFÍQUESE, PUBLÍQUESE Y CÚMPLASE
Dada en Bogotá, D.C. 16 JUL. 2009
SILVANA GIAIMO CHÁVEZ | HERNÁN MOLINA VALENCIA |
Viceministra de Minas y Energía | Director Ejecutivo |
Delegada del Ministro de Minas y Energía
Presidente |  |
|
Doble click sobre el archivo anexo para bajarlo(Resoluciones CREG) |
Doble click sobre el archivo anexo para bajarlo(Documento CREG) |
|