| Publicación Diario Oficial No.: | , el día: |
| Publicada en la WEB CREG el: | |
RESOLUCIÓN No. 018( 02 ABR. 2003 )
Por la cual se somete a consideración de los agentes, usuarios y terceros interesados las bases conceptuales sobre las cuales se establecerá la fórmula tarifaria de energía eléctrica aplicable a los usuarios regulados del Archipiélago de San Andrés y Providencia, para el próximo período tarifario.
LA COMISIÓN DE REGULACIÓN DE ENERGÍA Y GAS
en ejercicio de sus atribuciones legales, en especial las conferidas por las Leyes 142 y 143 de 1994, y los Decretos 1524 y 2253 de 1994, y
C O N S I D E R A N D O:
Que el Artículo 127 de la Ley 142 de 1994, dispone que antes de doce meses de la fecha prevista para que termine la vigencia de las fórmulas tarifarias, la Comisión deberá poner en conocimiento de las Empresas de Servicios Públicos las bases sobre las cuales efectuará el estudio para determinar las fórmulas del período siguiente;
Que el Artículo 91 de la Ley 142 de 1994, dispuso que para establecer las fórmulas tarifarias se calculará por separado, cuando sea posible, una fórmula para cada una de las diversas etapas del servicio;
Que el Artículo 87 de la Ley 142 de 1994, estableció que el régimen tarifario estará orientado por los criterios de eficiencia económica, neutralidad, solidaridad, redistribución, suficiencia financiera, simplicidad y transparencia;
Que el Artículo 126 de la Ley 142 de 1994 establece que las formulas tarifarias tienen una vigencia de cinco (5) años.
Que la Resolución CREG-073 de 1998, publicada el 17 de julio de 1998, estableció la fórmula general que permite a los comercializadores de electricidad establecer el costo de prestación del servicio a usuarios regulados en el Archipiélago de San Andrés y Providencia.
Que de conformidad con lo establecido en el Artículo 126 de la Ley 142 de 1994, vencido el período de vigencia de las fórmulas tarifarias, éstas continuarán rigiendo mientras la Comisión no fije las nuevas;
Que la Comisión de Regulación de Energía y Gas, en su Sesión No. 212, aprobó el contenido de la presente Resolución;
R E S U E L V E:
ARTÍCULO 1o. Someter a consideración de los agentes, usuarios y terceros interesados las bases conceptuales sobre las cuales se establecerá la fórmula tarifaria de energía eléctrica, para el próximo período tarifario, aplicable a los usuarios regulados del Archipiélago de San Andrés y Providencia.
ARTÍCULO 2o. Los agentes, usuarios y terceros interesados tendrán un plazo de tres (3) meses a partir de la publicación de esta Resolución, para enviar a la Comisión comentarios y sugerencias, escritas y sustentadas, sobre las bases contenidas en el Anexo General de la presente Resolución.
ARTÍCULO 3o. Con la presente Resolución se da inicio a la actuación administrativa para fijar la nueva fórmula tarifaria, y por ser un acto de trámite, previo a la expedición de las disposiciones definitivas, no deroga disposiciones regulatorias vigentes.
Publicada en el Diario Oficial No.45.175 de Mayo 2 de 2003
PUBLÍQUESE Y CÚMPLASE
Dada en Bogotá, D. C., el día 02 ABR. 2003
MANUEL MAIGUASHCA OLANO | JAIME ALBERTO BLANDÓN DÍAZ |
Viceministro de Minas y Energía | Director Ejecutivo |
Delegado del Ministro |  |
Presidente |  |
ANEXO GENERAL
BASES CONCEPTUALES PARA LA DEFINICIÓN DE LA FÓRMULA TARIFARIA DEL COSTO UNITARIO DE ENERGÍA ELÉCTRICA APLICABLE A LOS USUARIOS REGULADOS DEL ARCHIPIÉLAGO DE SAN ANDRÉS Y PROVIDENCIA, PARA EL PRÓXIMO PERÍODO TARIFARIO
INDICE
1. ANTECEDENTES 6
2. REGIMEN LEGAL- ELEMENTOS A CONSIDERAR PARA DETERMINAR LAS FORMULAS TARIFARIAS 7
3. ESTRUCTURA DEL SERVICIO EN SAN ANDRES Y PROVIDENCIA 8
3.1.GENERACIÓN 8
3.2. TRANSMISION 10
3.3. DISTRIBUCIÓN 10
3.4. COMERCIALIZACION 11
3.4.1. Usuarios 11
3.4.2. Consumos 12
3.4.3. Pérdidas de Energía 13
3.4.3.1. Metodología para Estimar las Pérdidas Técnicas 14
3.4.3.2. Metodología para Estimar las Pérdidas No Técnicas 15
4. FORMULA TARIFARIA ACTUAL 18
5. ANÁLISIS DE LA APLICACIÓN DE LA RESOLUCIÓN CREG-073 DE 1998 19
5.1. COSTO UNITARIO DE PRESTACIÓN DEL SERVICIO 19
5.2. COSTOS DE GENERACIÓN Y TRANSMISIÓN 21
5.2.1. Situación del Costo Actual 21
5.3. COSTOS DE DISTRIBUCIÓN 23
5.4. COSTOS DE COMERCIALIZACIÓN 24
5.5. NIVEL DE PÉRDIDAS RECONOCIDAS 25
5.6. COSTOS ADICIONALES 25
6. OBJETIVOS REGULATORIOS CON RESPECTO A LAS FORMULAS TARIFARIAS 26
6.1. CRITERIOS Y OBJETIVOS GENERALES DE LA REGULACIÓN DE PRECIOS 26
6.2. CRITERIOS Y OBJETIVOS PARTICULARES DE LA REGULACIÓN DE PRECIOS 26
7. PROPUESTA DE REMUNERACIÓN DE LAS ACTIVIDADES INHERENTES AL SERVICIO PUBLICO DOMICILIARIO DE ENERGIA ELECTRICA EN EL ARCHIPIÉLAGO DE SAN ANDRES Y PROVIDENCIA 27
7.1. METODOLOGÍAS DE REMUNERACIÓN 27
7.1.1. Costo medio histórico 27
7.1.2. Costo medio de largo plazo 28
7.1.3. Costo medio de mediano plazo 28
7.1.4. Ingreso medio regulado 28
7.1.5. Ingreso máximo regulado (tasa de retorno) 28
7.1.6. Netback 28
7.1.7. Benchmarking 28
7.1.8. Libertad de precios 28
7.2. COSTO DE GENERACIÓN 30
7.3. COSTO DE DISTRIBUCION 31
7.3.1. Calidad 32
7.3.2. Nivel de Pérdidas 32
7.3.3. Administración, Operación y Mantenimiento 32
7.3.4. Propiedad de los Activos 33
7.3.5. Tratamiento a los Aspectos Tributarios 33
7.3.6. Productividad 33
7.4. COSTO DE COMERCIALIZACION 34
7.4.1. Margen de Comercialización 35
7.4.2. Cargo Base de Comercialización 36
7.4.3. Productividad 36
8. PROPUESTA DE FÓRMULA DEL COSTO UNITARIO PARA CONSULTA 36
8.1. OBJETIVOS DE LOS CARGOS A REGULAR EN LA FÓRMULA 37
8.1.1. Cargo de Generación – G 37
8.1.2. Cargo de Distribución – D 37
8.1.3. Cargo de Comercialización – C 38
8.1.4. Nivel de Pérdidas – Pr 38
8.2. FÓRMULA GENERAL PROPUESTA 38
8.2.1. Fórmula para Actualización del Costo de Generación - G 39
8.2.2. Fórmula para la Actualización del Cargo De Distribución – D 39
8.2.3. Fórmula para el Cálculo Del Cargo De Comercialización – C 40
8.2.4. Propuesta de Nivel de Pérdidas para la Formula del Cu 41
BASES CONCEPTUALES PARA LA DEFINICIÓN DE LA FÓRMULA TARIFARIA DEL COSTO UNITARIO DE ENERGÍA ELÉCTRICA APLICABLE A LOS USUARIOS REGULADOS DEL ARCHIPIÉLAGO DE SAN ANDRÉS Y PROVIDENCIA, PARA EL PRÓXIMO PERÍODO TARIFARIO
1. ANTECEDENTES
De conformidad con lo establecido por la Leyes 142 y 143 de 1994, las fórmulas tarifarias deben garantizar los principios de eficiencia, neutralidad, suficiencia financiera, simplicidad, transparencia, solidaridad y redistribución.
De acuerdo con el Artículo 126 de la Ley 142 de 1994, “... las fórmulas tarifarias tendrán una vigencia de cinco años, salvo que antes haya acuerdo entre la empresa de servicios públicos y la comisión para modificarlas o prorrogarlas por un período igual. Excepcionalmente podrán modificarse, de oficio o a petición de parte, antes del plazo indicado cuando sea evidente que se cometieron graves errores en su cálculo, que lesionan injustamente los intereses de los usuarios o de la empresa; o que ha habido razones de caso fortuito o fuerza mayor que comprometen en forma grave la capacidad financiera de la empresa para continuar prestando el servicio en las condiciones tarifarias previstas”.
Dispone esta misma norma, que “Vencido el período de vigencia de las fórmulas tarifarias, continuarán rigiendo mientras la comisión no fije las nuevas.”
Según el Artículo trascrito las fórmulas tarifarias establecidas por la regulación tienen una vigencia de cinco años, y cumplido este término, continuarán rigiendo mientras la CREG no fije unas nuevas.
El Artículo 127 de la Ley 142 de 1994, establece, sobre la actuación administrativa para fijar nuevas tarifas, que “.... antes de doce meses de la fecha prevista para que termine la vigencia de las fórmulas tarifarias, la comisión deberá poner en conocimiento de las empresas de servicios públicos las bases sobre las cuales efectuará el estudio para determinar las fórmulas del período siguiente....”
En cumplimiento de dichos preceptos, la Comisión de Regulación de Energía y Gas ha desarrollado las presentes bases para una propuesta tarifaria sobre el Costo Unitario de Prestación del Servicio, aplicable a los usuarios regulados del Archipiélago de San Andrés y Providencia para el siguiente período, a partir de la evaluación de la fórmula actual, definida en la Resolución CREG-073 de 1998 y modificada mediante Resoluciones CREG-092 y 111 de 2001. Se busca introducir en la misma los ajustes necesarios considerando el comportamiento de la fórmula que rige actualmente, la evolución del sector eléctrico y las nuevas condiciones económicas del país, de tal forma que se garantice la prestación eficiente de servicio público de energía eléctrica en el Archipiélago.
2. REGIMEN LEGAL- ELEMENTOS A CONSIDERAR PARA DETERMINAR LAS FORMULAS TARIFARIAS
La Constitución Política, Artículos 365 y siguientes, establece que es deber del Estado asegurar la prestación eficiente de los servicios públicos a todos los habitantes del territorio nacional, y que estos servicios son inherentes a su finalidad social. En este contexto, la Constitución determina que los servicios públicos podrán ser prestados por el mismo Estado o por particulares, con sujeción al régimen jurídico que establezca el legislador y que, en todo caso, corresponderá al Estado mantener la regulación y el control y vigilancia sobre ellos. Igualmente, la Carta determina que el legislador fijará las competencias y responsabilidades relativas a la definición del régimen tarifario, el cual deberá tener en cuenta los criterios de costos, solidaridad y redistribución de ingresos.
En desarrollo del mandato constitucional referido, el Congreso de la República expidió la Ley 142 de 1994 “Por la cual se establece el régimen de los servicios públicos domiciliarios y se dictan otras disposiciones.” De acuerdo con el Artículo 2º de la Ley, la intervención del Estado en los servicios públicos debe propender, entre otros fines, por la prestación eficiente de los mismos, la libertad de competencia y la obtención de economías de escala comprobables.
Asimismo, la Ley fijó las competencias para la definición del régimen tarifario, sus componentes, los principios por los cuales debe regirse, su vigencia y las causas que hacen posible su modificación.
La Ley 142 de 1994 asignó a las comisiones de regulación, en este caso a la Comisión de Regulación de Energía y Gas, la definición de los regímenes tarifarios a los cuáles se encuentran sujetas las diferentes actividades de prestación de los servicios que regulan. El cumplimiento de esta función debe enmarcarse, no solo dentro de las normas específicas establecidas en la Ley para tal efecto, sino, también, en concordancia con las demás disposiciones contenidas en la Ley, en especial con aquellas referentes a las funciones asignadas a la Comisión de Regulación de Energía y Gas.
Según lo establecido en la Ley 142 de 1994, le corresponde de manera general a la Comisión de Regulación de Energía y Gas ... “la función de regular los monopolios en la prestación de los servicios públicos, cuando la competencia no sea, de hecho posible; y, en los demás casos, la de promover la competencia entre quienes presten servicios públicos, para que las operaciones de los monopolios o de los competidores sean económicamente eficientes, no impliquen abuso de la posición dominante, y produzcan servicios de calidad 1 1Artículos 73 y 74 de Ley 142 de 1994..”
En relación con las tarifas, la Ley establece que corresponde a la Comisión determinar si se debe aplicar el régimen de libertad regulada o libertad vigilada, y definir las fórmulas para la fijación de las tarifas de los servicios que regula, de ser necesario. En cualquier caso, las empresas estarán sometidas al régimen establecido en la regulación. Para tal efecto la Comisión deberá tener en cuenta lo dispuesto en el Título VI ibidem.
Según el Artículo 88 de la citada Ley, la Comisión podrá establecer topes máximos y mínimos tarifarios, así como definir las metodologías para la determinación de tarifas de acuerdo con estudios de costos que realice. Habrá lugar a establecer la libertad de tarifas cuando los análisis que realice la Comisión, con base en los criterios y definiciones de esta Ley, muestren que las empresas no tienen una posición dominante en su mercado y que hay competencia entre proveedores.
El Artículo 87 establece que el régimen tarifario estará orientado por los criterios de eficiencia económica, neutralidad, solidaridad, redistribución, suficiencia financiera, simplicidad y transparencia. El criterio de eficiencia implica que en la definición de las tarifas se procurará que éstas reflejen lo que serían los precios de un mercado competitivo, de tal forma que se tengan en cuenta los costos pero también los aumentos de productividad, y que de ninguna forma se trasladen a los usuarios los costos de una gestión ineficiente, ni que las empresas se apropien de las utilidades provenientes de prácticas restrictivas de la competencia. La suficiencia financiera significa que las tarifas deben permitir al empresario recuperar los costos, utilizar tecnologías y sistemas administrativos que permitan prestar el servicio con la mejor calidad, seguridad y continuidad para los usuarios; y remunerar el patrimonio de los accionistas en la misma forma en que lo habría remunerado una empresa eficiente en un sector de riesgo comparable.
Por otra parte, los Artículos 91 y 92 de la Ley indican que, cuando sea posible, se definirá una fórmula para cada una de las diversas etapas de prestación del servicio, y que en la determinación de éstas las comisiones tendrán en cuenta los costos típicos de operación de las empresas comparándolas con otras que operen en condiciones similares, pero que sean más eficientes.
3. ESTRUCTURA DEL SERVICIO EN SAN ANDRES Y PROVIDENCIA
Actualmente en la Isla de San Andrés y Providencia existen dos empresas prestadoras del servicio público de energía eléctrica. En las actividades de generación y de distribución2 Esta actividad en San Andrés se le ha denominado como Transmisión. a Nivel de Tensión de 34.5 kV la Corporación Eléctrica de la Costa Atlántica –Corelca-, y en las actividades de distribución en los Niveles de Tensión 2 y 1 y comercialización la empresas Archipelago’s Power & Light Co. S.A. E.S.P (APL).
3.1.GENERACIÓN
En 1995, Corelca operaba y mantenía plantas de generación de una capacidad de 36 MW en San Andrés y 3 MW en Providencia. Como resultado de la decisión de Gobierno Nacional de vincular capital privado al sector eléctrico, en septiembre de 1995, Corelca suscribe con la Sociedad Productora de Energía –SOPESA- un Contrato de Suministro de Energía y Disponibilidad de Potencia por un término de 14 años. Este contrato incluyó la recuperación de los equipos generadores existentes y el suministro de 15,000 kw adicionales para San Andrés y 700 kw para Providencia.
El contrato comenzó a ejecutarse el 1° de mayo de 1996, y después de instaladas las nuevas unidades y recuperadas las entregadas por CORELCA, los racionamientos ocasionados por generación de energía fueron superados totalmente.
En el sector de Punta Evans, en San Andrés, se encuentra el centro Generador de esta isla y en él hay instalados 54,700 kw discriminados asi: 2 Unidades de 9600 kw; 4 Unidades de 2,500 kw; 4 Unidades de 2,100 y 6 Unidades de 2,865 kw, para una capacidad efectiva de 48,500 kw.
La Central de Providencia está ubicada en el sector de Bahía Garret y en ella están instaladas 3 Unidades cuyas capacidades son: 1 Unidad de 1,400 kw; 1 Unidad de 750 kw y 1 Unidad de 745kw, para una capacidad instalada de 2,895 kw y efectiva de 2,680 kw.
Actualmente, Corelca vende toda su generación a la empresa APL. En el siguiente gráfico se observa la evolución de las compras de electricidad de APL a Corelca. Como se puede apreciar, durante los tres primeros años de ejecución del contrato se presentó un incremento de 4.7% en la demanda, pero desde el año 1999, la demanda de electricidad en la Isla ha presentado una disminución del orden de 1.3% anual.
GRAFICO No. 1

Fuente: Corelca, APL y SÍVICO
3.2. TRANSMISION
De igual forma que la actividad de generación, la denominada Transmisión, es responsabilidad de Corelca, pero con la operación de SOPESA a través del contrato que actualmente tienen las dos compañías.
Al iniciar Sopesa la operación de las plantas de generación, el sistema de Transmisión estaba conformado por las subestaciones de Punta Evans y El Bight y un doble circuito a 34.5 kV, de 4.7 km, entre las mismas. Ambas subestaciones cuentan cada una con dos transformadores de 25 MVA y con dos celdas de 34.5 kV con capacidad de 25 MW cada una.
Dentro del proyecto PLANIEP desarrollado, por CORELCA, se construyó una nueva subestación, denominada School House, con un transformador de 25 MVA y dos celdas de 34.5 kV con capacidad de 50 MW cada una y enlaces a 34.5 kV Punta Evans-School House (doble circuito de 6 Km.) y El Bight-School House (circuito sencillo de 1.7 Km.).
La actividad de distribución es desarrollada por la empresas ARCHIPELAGO’S POWER & LIGHT CO. S.A. E.S.P. –APL- entidad que se encuentra intervenida por la Superintendencia de Servicios Públicos Domiciliarios desde marzo del año 2000.
El sistema de distribución está conformado actualmente por catorce circuitos primarios de propiedad de APL y CORELCA, de los cuales 7 se energizan desde la subestación El Bight, dos desde Punta Evans y cinco desde la subestación School House así:
· Circuitos Subestación Punta Evans:
o Sarie Bay 13,8 kV.
o Circunvalar 13,8 kV.
· Circuitos Subestación el Bight:
o Almendros 13,2 KV.
o Fragatas 13,2 KV.
o 20 de Julio 13,2 KV.
o Juan XXIII 13,2 KV.
o San Luis 13,2 KV.
o Loma 13,2 KV.
o Back Road 13,2 KV.
· Circuitos Subestación School House:
o Natanias 13,2 KV.
o Américas 13.2 KV Subterráneo
o Colombia 13.2 KV Subterráneo
o Swamp Ground 13.2 KV
o Boulevard13.2 KV
Además de lo anterior, dentro del proyecto PLANIEP se construyó la red subterránea primaria y secundaria en el centro de la ciudad que fue energizada por APL a comienzos del presente año, la cual cuenta con unos pocos usuarios conectados por falta de acometidas.
En la Isla de San Andrés y Providencia, la actividad de comercialización es desarrollada por ARCHIPELAGO’S POWER & LIGHT CO. S.A. E.S.P. –APL, entidad constituida desde 1974, donde la participación accionaria es como sigue:
CUADRO No. 1
PARTICIPACIÓN ACCIONARIA
ARCHIPELAGO’S POWER & LIGHT CO. S.A. E.S.P.
ACCIONISTA | PARTICIPACIÓN % |
Gobernación de San Andrés | 40.85 |
Corelca | 34.26 |
Nación-Minhacienda | 24.78 |
Municipio de Providencia | 0.11 |
Carlos Archbold Ceron | 0.000001
|
Fuente: SSPD
A diciembre de 2002, la empresa contaba con 14.658 usuarios, distribuidos de la siguiente forma:
CUADRO No. 2
USUARIOS DIC-2002
ARCHIPIELAGO DE SAN ANDRES Y PROVIDENCIA
Fuente: APL
Es de notar, que en las Islas, el 83% de los usuarios son residenciales y dentro del sector no-residencial, el sector comercial participa con un 13% del total de usuarios.
Por otro lado, como se puede observar en el siguiente cuadro, durante los últimos tres años los usuarios de las islas se han incrementado en un 7%, lo cual es producto del incremento en un 8% de los usuarios residenciales y 3% de los no-residenciales.
CUADRO No. 3
EVOLUCION USUARIOS
2000-2003
ARCHIPIELAGO DE SAN ANDRES Y PROVIDENCIA
En el siguiente cuadro se puede observar el comportamiento del consumo en la Isla de San Andrés
CUADRO No. 4
CONSUMO DIC-2002
ARCHIPIELAGO DE SAN ANDRES Y PROVIDENCIA
De acuerdo con los datos suministrados por APL, en el año 2002, el consumo residencial correspondía al 34% del total, siendo los estratos 2, 3 y 4 quienes tienen la mayor participación.
Durante el período 2000-2002, como se observa en el siguiente cuadro, es importante señalar que la participación del sector residencial perdió tres puntos porcentuales. Es de recordar que la estructura de consumo ha permitido que APL sea una empresa superavitaria en el balance de contribuciones y subsidios.
3.4.3. Pérdidas de Energía
En el siguiente gráfico se observa la evolución del porcentaje de pérdidas en el Archipiélago de San Andrés y Providencia durante el período 2000-2002. Como se muestra, sólo en junio de 2001 y 2002 se presentaron porcentajes por debajo del 24%. El porcentaje promedio de pérdidas en el período esta en el orden de 31.7%.
GRAFICO No. 2
Durante el período 2000-2002, las pérdidas de energía promedio estuvieron alrededor del 30%, como se observa en el siguiente cuadro:
3.4.3.1. Metodología para Estimar las Pérdidas Técnicas
El estudio realizado por la CREG estimó las pérdidas técnicas y no-técnicas en el Archipiélago de San Andrés y Providencia.
Las pérdidas de energía asociadas con el transporte y transformación de la energía eléctrica se denominan pérdidas técnicas y para su estimación se requiere conocer detalladamente, no solo las características de los elementos que componen el sistema sino el comportamiento de la carga que alimenta.
Aunque existen muchas clasificaciones para las pérdidas técnicas, para el sistema de distribución de San Andrés se consideraron, de acuerdo con la información disponible, dos grupos básicos: pérdidas asociadas con la variación de la carga y pérdidas cuyo comportamiento es prácticamente independiente de la carga.
Las pérdidas técnicas asociadas con la variación de la carga dependen de la magnitud de las corrientes que circulan por los elementos constitutivos del sistema. Para las islas básicamente se dividió el sistema por nivel de tensión, así:
- Sistema de distribución de 34.5 kV
- Circuitos primarios 13.2 kV y 13.8 kV
- Circuitos secundarios 208/120 V
Para cada nivel de tensión se construyeron las curvas de duración de carga a partir de los registros diarios disponibles y se aproximó su comportamiento en tres grupos o escalones de acuerdo con el área bajo la curva que corresponde a la energía asociada al sistema. Los escalones corresponden a condiciones de alta, media y baja carga.
Para cada uno de los tres niveles de carga se calcularon las pérdidas de potencia utilizando flujos de carga. La estimación de las pérdidas de energía se hizo integrando estas pérdidas de potencia de acuerdo con su duración.
Se simuló, mediante flujos de carga, el comportamiento de 6 circuitos primarios de San Andrés (42%) y la totalidad de los circuitos de Providencia (2 circuitos). Teniendo en cuenta que las pérdidas de potencia asociadas con el transporte eran muy pequeñas, menores al 3% de la electricidad transportada en cada circuito, y que los resultados de los flujos son del mismo orden de magnitud que los estimados concentrando la carga en un punto del alimentador, se optó por estimar las pérdidas para los restantes circuitos de San Andrés mediante esa aproximación, la cual constituye un caso de condición de carga extrema del alimentador.
Las pérdidas técnicas de los circuitos secundarios se estimaron de la siguiente forma:
· Se asignó una longitud de red proporcional a la capacidad de los transformadores de APL.
· Se estimó la carga de cada transformador repartiendo la demanda máxima del circuito entre todos los transformadores conectados (particulares y propios de APL).
· Se concentró la carga estimada al final de la longitud asignada
· Las pérdidas de potencia se calcularon mediante la expresión : 3 I2R
· Las pérdidas de energía se evaluaron considerando constantes las pérdidas de potencia durante cada período.
Las pérdidas técnicas independientes de la demanda se presentan básicamente en los transformadores del sistema eléctrico.
Con base en la información recolectada en el levantamiento se determinó el número y la potencia de los transformadores que componen el sistema y para la estimación de estas pérdidas se consideraron las pérdidas de vacio establecidas en las normas ICONTEC 818 y 819, para las diferentes capacidades de los transformadores existentes en las islas.
Los niveles de pérdidas técnicas calculadas son los siguientes:
CUADRO No. 7
PERDIDAS TECNICAS
ARCHIPIÉLAGO DE SAN ANDRES
 | SAN ANDRES | PROVIDENCIA |
Nivel 3 | 2.17% |  |
Nivel 2 | 1.15% | 0.38% |
Nivel 1 | 2.55% | 4.47% |
3.4.3.2. Metodología para Estimar las Pérdidas No Técnicas
Las pérdidas no técnicas se determinaron como la diferencia entre las pérdidas globales calculadas con base en los balances de energía y las pérdidas técnicas estimadas mediante el proceso antes descrito.
Teniendo en cuenta que la información disponible es muy escasa, para su desagregación se siguió la metodología que presenta el estudio preparado para la CREG, por CERI y PS Technologies sobre pérdidas de energía eléctrica en el sistema eléctrico Colombiano.
Los grupos en los cuales se desglosaron las pérdidas no técnicas son:
- Pérdidas por conexiones ilegales
- Pérdidas por fraude
- Pérdidas administrativas
- Pérdidas en procesos de medición
Para la clasificación se usó la metodología del estudio mencionado y la información del Departamento de Redes de APL. En cada isla se consideraron sus situaciones especificas.
El desglose de las pérdidas no técnicas en sus diferentes componentes, de acuerdo con el estudio del CERI y PS Technologies, es como sigue, según un análisis realizado conjuntamente con el departamento de redes de APL:
CUADRO No. 8
DESGLOSE DE LAS PÉRDIDAS NO TÉCNICAS SAN ANDRÉS CUADRO No. 9
DESGLOSE DE LAS PÉRDIDAS NO TÉCNICAS EN PROVIDENCIA

En las siguientes figuras se presenta un resumen de las pérdidas y de la energía comercializada en Junio de 2002 en los sistemas de San Andrés y de Providencia
GRAFICO No. 3 GRAFICO No. 4
4. FORMULA TARIFARIA ACTUAL
Con la Resolución CREG-073 de 1998, se aprobó la siguiente fórmula general que permite a los comercializadores de electricidad del Archipiélago de San Andrés y Providencia establecer el Costo Unitario de prestación del servicio a usuarios regulados:
donde:
n : Nivel de tensión.
m : Es el mes para el cual se calcula el costo unitario de prestación del servicio.
t : Años transcurridos desde el inicio de la aplicación de la fórmula (t= 0, 1, 2, 3, 4). El año cero (0) corresponde al año 1998.
CUn,m,t Costo unitario de prestación del servicio ($/kWh) para los usuarios conectados al nivel de tensión n, correspondiente al mes m del año t.
GTm,t Costos de Generación y Transmisión ($/kWh) a nivel de tensión III, correspondiente al mes del año t.
D n,m Costo de distribución ($/kWh) correspondiente al nivel de tensión n para el mes m.
C m,t Costo de comercialización ($/kWh) correspondiente al mes m del año t.
O m,t Costos adicionales ($/kWh).
PR n,t Fracción (o Porcentaje expresado como fracción) de pérdidas de energía acumuladas hasta el nivel de tensión n, reconocidas para el año t.
La estructura de la fórmula para San Andrés presenta una constitución similar a la que se aplica a los comercializadores para usuarios regulados del Sistema Interconectado Nacional (SIN). En este sentido, el cargo por generación y transmisión – GT es afectado por el porcentaje de pérdidas eficientes reconocidas para cada año del período tarifario, acumuladas al nivel de tensión de medida. Los otros cargos, distribución - D, comercialización – C y costos adicionales – O, se adicionan en forma unitaria. Cada uno de los cargos, tiene a su vez su propia fórmula. La diferencia con el SIN radica en que los costos de generación y transmisión se encuentran unificados en un solo cargo GT en el caso del Archipiélago. Adicionalmente, no se cobran cargos por restricciones, Centro Nacional de Despacho, Centros Regionales de Despacho y SIC en el componente otros (O) de la fórmula.
5. ANÁLISIS DE LA APLICACIÓN DE LA RESOLUCIÓN CREG-073 DE 1998
5.1. COSTO UNITARIO DE PRESTACIÓN DEL SERVICIO
En el siguiente gráfico se observa la evolución del Costo Unitario de Prestación del Servicio para los Niveles de Tensión 1 y 2.
El costo de Nivel de Tensión 1, prácticamente no presentó cambios en términos reales, mientras el costo del Nivel de Tensión 2 presentó una variación acumulada de 7% real durante el período 1998-2000. Las razones de este comportamiento se analizaran en los siguientes puntos.
5.2. COSTOS DE GENERACIÓN Y TRANSMISIÓN
5.2.1. Situación del Costo Actual
El costo unitario de referencia de generación se estableció en la Resolución CREG 073 de 19983 El costo de referencia se ajustó en el año 2001 (Res. CREG 111 de 2001), para incluir el aumento (del 28% al 40%) del subsidio al costo de combustible decretado por el Gobierno Nacional. con base en una proyección de los costos del contrato CORELCA-SOPESA para el período 1998-2009. Los costos incluidos en la proyección son los siguientes:
· Disponibilidad anual. Según lo pactado contractualmente incluye costos de capital y AOM de instalaciones de generación, subestaciones y circuitos de 34.5kV, como se detalla más adelante. Se pactó una tarifa mensual basada en la disponibilidad de potencia garantizada en el contrato.
· Combustibles. Suministrados por CORELCA a SOPESA con garantía del poder calorífico. Su costo se refleja en la tarifa de venta a APL, la cual incluye un subsidio que actualmente llega al 40%4 Inicialmente el subsidio fue del 28% y a partir de Septiembre del año 2001 se elevó al 40%.
· Lubricantes. Suministrados por SOPESA a una tarifa por energía por cada kWh entregado, pactada contractualmente.
· Garantía de CORELCA con FEN. Pactada contractualmente como requisito del crédito FEN. Igual al 0.45% del valor de la disponibilidad anual.
La demanda utilizada en la proyección partió de una demanda pico para San Andrés y Providencia de 28.5 MW y una generación anual de 158.3 GWH en 1998, con un escenario de crecimiento del 3.7% anual. En el año 2009, la demanda alcanzaría un valor pico de 42.5 MW y la generación llegaría a 234.7 GWH. Se debe anotar que los análisis de demanda recientemente realizados muestran un crecimiento prácticamente nulo para los próximos 7 años.
El escenario macroeconómico de la proyección era el contemplado en ese año para la economía Colombiana. Se utilizó una tasa de descuento de 9%. A la fecha existen diferencias importantes entre las tasas de inflación y de devaluación utilizadas en el análisis con respecto a las que actualmente enfrenta la economía. Estos factores, en la medida en que deban ser actualizadas generarían un impacto muy importante en la tarifa que remunere los costos de disponibilidad y lubricantes cobrados por SOPESA a CORELCA y los costos de combustible. Lo anterior se aprecia de la tabla siguiente suministrada por CORELCA, correspondiente al año 2001:
De otro lado, el contrato contempla la devolución de los equipos de generación en condiciones adecuadas de operación, una vez vencido el plazo contractual.
El componente de generación incluye el subsidio al costo de combustible otorgado por el Gobierno, así como costos de activos de 34.5 kV y 13.8 kV que deberían hacer parte del componente de distribución. También comprende los costos necesarios para operar y mantener la infraestructura existente de generación y transmisión en el Nivel de Tensión 3 entregada a SOPESA y la remuneración de las siguientes obras y suministros adicionales pactados contractualmente:
· Diseño, fabricación y puesta en servicio de 6 unidades de generación en San Andrés, con capacidad de 15 MW, y una Unidad en Providencia con capacidad de 0.7 MW Esta unidad aún no ha sido suministrada por SOPESA .
· Reparación completa y traslado a Punta Evans, de las 8 unidades de generación ubicadas en Bahía Hooker (El Bight).
· Ampliación de la capacidad de almacenamiento de combustible, en 300 m3 para San Andrés y 100 m3 para Providencia.
· Diseño, suministro y montaje de dos subestaciones a 34.5 kV, de 25 MVA cada una, en San Andrés (Subestaciones de Punta Evans y El Bight).
Remodelación de la línea a 13.8 kV entre Punta Evans y El Bight, para energizarla a 34.5 kV.
En el gráfico siguiente se muestra la evolución los costos de generación y transmisión para la Isla de San Andrés y Providencia.
GRAFICO No. 6

Durante el período 1998-2002, el costo de generación y transmisión ha crecido un 5.4% real, en razón a que este costo se está actualizando con el Índice de Precios al Productor (IPP), el cual en el mismo período ha tenido un aumento superior al Índice de Precios al Consumidor (IPC).
5.3. COSTOS DE DISTRIBUCIÓN
Los cargos de distribución aprobados son los siguientes:
CUADRO No. 11
CARGOS DE DISTRIBUCIÓN
Para calcular los cargos de Distribución, la Comisión de Regulación de Energía y Gas solicitó el inventario detallado de los sistemas de distribución a 13.2 kV (Nivel de Tensión 2) y a baja tensión (Nivel de Tensión 1). Con base en este inventario, la CREG calculó un costo medio para los Niveles de Tensión 2 y 1. La metodología utilizada fue consistente con la establecida en la Resolución CREG-099 de 1997, aplicable para el Sistema Interconectado Nacional.
5.4. COSTOS DE COMERCIALIZACIÓN
La Comisión de Regulación de Energía y Gas consideró que los costos inherentes a la actividad de comercialización en las islas de San Andrés y Providencia debían ser similares a los que enfrenta cualquier empresa en el Sistema Interconectado Nacional. Se consideró conveniente utilizar el siguiente criterio: adoptar como costo base de comercialización (Co*) para San Andrés y Providencia el promedio aritmético entre el estimativo de los costos propios de APL asignables al negocio de comercialización que se consideran razonables y el promedio ponderado por el número de facturas del Co* para el universo de empresas pequeñas del SIN a las cuales se les aplicó el análisis envolvente de datos.
La aplicación de este criterio condujo a un valor de Co* de 4002 $/factura referidos a precios de dic/95 ($8.758 por factura a precios de diciembre de 2002). De conformidad con la Resolución CREG-073 de 1998, este Costo se variabiliza con el consumo facturado medio de los usuarios al sistema de distribución de San Andrés y Providencia que corresponde al total kWh vendidos a los usuarios dividido entre el total de facturas expedidas, sin considerar las debidas a errores de facturación.
Por otro lado, el Costo de Comercialización se afecta por el Índice de Productividad del Sector Eléctrico que para el primer período de regulación se asumió en un 1% anual.
En el siguiente gráfico se observa la evolución del costo de comercialización para la isla de San Andrés y Providencia.
GRAFICO No. 7

Durante el período 1998-2002, el costo de comercialización presentó un incremento real del orden del 13%, ocasionado esencialmente por la disminución del consumo facturado medio en un 15%.
5.5. NIVEL DE PÉRDIDAS RECONOCIDAS
Para San Andrés y Providencia los niveles de pérdidas reconocidos están dados por los siguientes porcentajes acumulados:
CUADRO No. 12
PÉRDIDAS RECONOCIDAS

Entendiendo como año cero (0) el año 1998.
Para “costos adicionales” – O, se estableció una fórmula similar a la de dicho componente en la fórmula de comercializadores del SIN, reconociendo el único costo aplicable para el caso del Archipiélago, es decir el correspondiente a la contribución a la CREG y a la SSPD, variabilizado con las ventas totales al usuario final.
A continuación se observa la evolución de los costos adicionales, para el período 1998-2002.
GRAFICO No. 8
6. OBJETIVOS REGULATORIOS CON RESPECTO A LAS FORMULAS TARIFARIAS
6.1. CRITERIOS Y OBJETIVOS GENERALES DE LA REGULACIÓN DE PRECIOS
El principal objetivo de la regulación es conseguir que el excedente de los consumidores sea lo mayor posible y cubrir los costos en que las empresas hubiesen incurrido con una gestión eficiente. Para el efecto, de considerarlo necesario, el regulador puede establecer un “control de precios” para el servicio o actividad específica que está regulando. Este “control de precios” no implica que el regulador establezca directamente los precios que la empresa prestadora del servicio deba cobrar a sus usuarios, es decir no controla el comportamiento de la empresa, sino que establece una restricción en el nivel general de precios que puede cobrar a los usuarios. Mientras la empresa cumpla con esta condición, es libre para determinar sus precios y por lo tanto tiene el incentivo para actuar tan eficientemente como le sea posible y aumentar sus utilidades.
Un principio básico de la regulación de precios es que el “control de precios” se establece para un período determinado, durante el cual la empresa puede apropiarse de las utilidades provenientes de una mayor eficiencia. Supone lógicamente que también queda expuesto al riesgo de pérdidas si opera en forma ineficiente. Con la señal de precio dada, el agente interesado en entrar o permanecer en el negocio, puede evaluar las consideraciones implícitas en ella y por lo tanto hace su propia evaluación de riesgo empresarial y financiero antes de tomar su decisión final. Dado que la tasa de descuento involucrada en la señal de precio establecida valora el riesgo asociado con la actividad, y tiene la finalidad de permitir rentabilidades semejantes a actividades de riesgo comparable, el agente tiene un reconocimiento por el manejo del riesgo asociado con el mercado durante el período de vigencia de las fórmulas tarifarias.
6.2. CRITERIOS Y OBJETIVOS PARTICULARES DE LA REGULACIÓN DE PRECIOS
Como objetivos particulares para la definición de cada uno de los componente de la formula tarifaria aplicable a los usuarios de las Isla de San Andrés y Providencia se deben destacar los siguientes:
· Permitir la recuperación de costos de compra de energía, por parte del comercializador, bajo condiciones de eficiencia económica.
· Dar al comercializador y a los usuarios la señal del costo eficiente de generación.
· Separar los costos de generación y transmisión. Este último debe tratarse como un cargo de distribución al nivel respectivo, para lograr mayor transparencia en las fórmulas tarifarias.
· Permitir la recuperación de la inversión bajo condiciones de eficiencia.
· Incluir incentivos para el manejo eficiente de las redes y la expansión.
· Permitir al usuario final identificar el costo eficiente de distribuir la electricidad.
· Permitir la recuperación del costo de comercialización regulado por la Comisión de Regulación de Energía y Gas.
· Incluir incentivos de eficiencia en la actividad de comercialización, tales que simulen la competencia (factor de productividad).
· Dar al usuario final, la señal del costo eficiente que implican los servicios comerciales de entregar la electricidad.
· Incluir dentro del componente de comercialización, las contribuciones a la Comisión de Regulación de Energía y Gas y a la Superintendencia de Servicios Públicos.
· Dar una señal de pérdidas eficientes al comercializador y al distribuidor.
7. PROPUESTA DE REMUNERACIÓN DE LAS ACTIVIDADES INHERENTES AL SERVICIO PUBLICO DOMICILIARIO DE ENERGIA ELECTRICA EN EL ARCHIPIÉLAGO DE SAN ANDRES Y PROVIDENCIA
7.1. METODOLOGÍAS DE REMUNERACIÓN
A partir de los estudios adelantados por la Comisión, directos y a través de consultorías, y de las observaciones formulados por grupos de usuarios, la Comisión ha revisado y estudiado una propuesta de definición de una nueva fórmula tarifaria del Costo Único de prestación del servicio para el Archipiélago de San Andrés y Providencia, que regirá para el siguiente período tarifario.
Es importante aclarar, que en el caso del Archipiélago de San Andrés, las actividades de Generación y Comercialización que serían potencialmente competitivas en otras condiciones de mercado, en este caso no lo son. Dadas estas circunstancias la regulación se ajusta a dicha condición.
Para la determinación de la nueva metodología de remuneración de cada una de las actividades del servicio público domiciliario de energía eléctrica que se presta en el Archipiélago de San Andrés y Providencia, se cuenta, entre otras, con las siguientes alternativas metodológicas:
7.1.1. Costo medio histórico
Se basa en la inversión existente y en las demandas o energías generadas, según el caso, atendidas con dicha infraestructura. Se considera apropiada para sistemas maduros porque se minimiza la incertidumbre en la proyección de la expansión y de las demandas o energías generadas. Supone que el costo medio así establecido es suficiente para cubrir los costos marginales de la expansión.
7.1.2. Costo medio de largo plazo
Al utilizar horizontes de proyección de largo plazo (generalmente 20 años) tanto para la inversión como para la demanda, se involucra un importante grado de incertidumbre en el cálculo que sólo puede sustentarse en un sector con alta dinámica de crecimiento. Es el esquema utilizado actualmente para la remuneración de la actividad de distribución de gas.
7.1.3. Costo medio de mediano plazo
Al determinarse con base en la inversión existente y la inversión proyectada a mediano plazo (5 años) considera la expansión del servicio y reduce apreciablemente la incertidumbre en la proyección. Se considera apropiado para sistemas monopolistas en desarrollo. En el caso de San Andrés, el sistema ya se encuentra desarrollado, por lo tanto, no es aconsejable para dicho sistema.
7.1.4. Ingreso medio regulado
Presenta dificultades para el control de la discriminación de precios y puede facilitar el subsidio cruzado entre usuarios residenciales y usuarios industriales, adicionales a los establecidos en la Ley.
7.1.5. Ingreso máximo regulado (tasa de retorno)
Implica aprobación centralizada de los proyectos de inversión. Se basa en el reconocimiento de una rentabilidad anual sobre el registro contable de los activos. Este sistema incentiva el incremento injustificado de la base de activos y es difícil de implantar con las prácticas contables del país.
La adopción generalizada de este esquema implicaría la extracción potencial de todo el excedente del consumidor por parte de los monopolistas, y al basarse en precios de sustitutos su aplicación puede estar distorsionada.
Existe dificultad en la consecución de una base de información suficiente para hacer comparaciones a nivel internacional. En el caso de San Andrés, los casos comparativos son realmente pocos y no significativos.
7.1.8. Libertad de precios
Aplicada en mercados desarrollados traslada el excedente del consumidor al Monopolista. Sin embargo, puede resultar interesante en nuevos mercados, donde el usuario todavía no ha incurrido en costos de conversión y aún tiene la posibilidad de elegir entre energéticos sustitutos. Esta opción es atractiva siempre que el Monopolista establezca ex-ante una senda tarifaria de largo plazo, con el objeto de suministrar la información necesaria al usuario para su toma de decisiones y protegerlo de cambios imprevistos en las tarifas aplicadas Ver Lehmann (1999).
Con base en lo anterior, se considera que las metodologías más adecuadas para la remuneración de las actividades monopolísticas, considerando el grado de desarrollo y tipo de mercado, para la prestación de los servicios, serían las siguientes:
· Mercados Nuevos: Libertad de precios con senda tarifaria definida por el Distribuidor para un período de 10 años, en los cuales el agente presenta la senda para los cargos de generación, distribución y comercialización.
· Mercados en Desarrollo: Costos medios de mediano plazo
· Mercados Desarrollados: Costos medios históricos
Básicamente existen dos procedimientos para el cálculo de costos medios: a) la metodología de costos del servicio “costs of service”; y b) la metodología de precios de eficiencia “efficiency pricing”
· Procedimiento de costos del servicio “costs of service”
La determinación de tarifas mediante la metodología de costos del servicio supone que el regulador efectúa un análisis pormenorizado de los proyectos y costos de expansión; los niveles de cobertura y las proyecciones de demanda y generación propuestos por el Agente.
Con base en la propuesta formulada por el Agente, se califica la eficiencia y justificación de la inversión y se evalúan los niveles de cobertura propuestos, así como, las proyecciones de demanda correspondientes. Bajo este procedimiento los costos históricos reconocidos y efectivamente ejecutados no se disputan, el Agente es quien define la expansión del servicio y por lo tanto asume los riesgos comerciales derivados de ella.
· Procedimiento de precios de eficiencia
Mediante este procedimiento los costos medios se establecen a partir de los costos que demandaría la construcción de un sistema eficiente, diseñado por el regulador con base en reglas de ingeniería comúnmente aceptadas y en los datos históricos de la compañía para determinar el costo del sistema. Así mismo, utiliza una serie de supuestos sobre la evolución del mercado para así determinar los costos medios de mediano plazo.
La Generación es definida como la actividad consistente en la producción de energía eléctrica a partir de diferentes fuentes y cuyo destino es la venta a los comercializadores.
El costo de generación actualmente aprobado para el Archipiélago de San Andrés y Providencia se calculó con los costos del contrato CORELCA-SOPESA existente, ya explicado ampliamente. Por tal razón, se considera relevante proponer una metodología en su estimación para calcular un costo de eficiencia, teniendo en cuenta los objetivos generales de la regulación y los criterios tarifarios de eficiencia y suficiencia financiera definidos en las Leyes 142 y 143 de 1994.
Los costos de eficiencia se calcularán a partir de una planta nueva hipotética. Se ha considerado pertinente utilizar esta metodología, en razón a las particularidades que presenta el servicio en el Archipiélago de San Andrés, Providencia y Santa Catalina.
El nuevo calculo del costo de generación se encaminará especialmente a una revisión de los costos unitarios y de la capacidad requerida para el Archipiélago. En consecuencia, la planta se diseñará con las siguientes consideraciones:
· Contar con criterios de reserva comparables con los que provee el contrato entre SOPESA-CORELCA
· Dimensionar una planta nueva para San Andrés con los anteriores criterios y valorarla a costos actuales del mercado.
· Los costos de capital, operación, mantenimiento y eficiencia térmica que se utilizarían, corresponderían a los valores típicos para plantas diesel de medias revoluciones (500-900 rpm). Los costos de capital incluirían además de los motores y generadores todos los equipos e instalaciones y obras civiles de la planta al igual que el transporte y montaje de equipo.
· En el caso de generación se utilizaría una tasa de retorno que considere la característica de monopolio natural en las islas, con una demanda cautiva y con baja elasticidad de precio y con el riesgo país que se ha venido tratando a nivel general para todas las actividades que se desarrollan en todo el territorio nacional. La metodología sería congruente con la definida en la Resolución CREG-013 de 2002.
· La vida últil de la planta corresponderá a 20 años, la cual tiene en cuenta las condiciones ambientales del Archipielago de San Andrés y Providencia.
· El costo de generación calculado se actualizaría con el Indice de Precios al Productor.
7.3. COSTO DE DISTRIBUCION
Para el caso del Archipiélago de San Andrés y Providencia, el sistema de distribución de energía eléctrica está compuesto por el conjunto de líneas y subestaciones, con sus equipos asociados, que operan a los Niveles de Tensión 3, 2 y 1 dedicados a la prestación del servicio público de energía eléctrica.
La metodología utilizada para la determinación de costos de eficiencia de distribución incluye la determinación de costos de capital y los costos de administración, operación y mantenimiento (AOM) de distribución.
Para establecer los costos eficientes de capital de distribución se consideraran los siguientes criterios:
· Adoptar como “Red de Distribución Eficiente” (RDE), la red existente con plena incorporación de los proyectos del Plan de Inversiones Prioritarias de la Costa Atlántica (PLANIEP) y sustitución de los tramos de redes que reemplazan dichos activos. Los activos deben estar en operación para que se incluyan en el cálculo.
· Calcular las cantidades de obra correspondiente a la RDE.
· Valorar la RDE a costos de reposición a nuevo, a partir de costos unitarios de equipos, materiales y mano de obra propios del Archipiélago de San Andrés y Providencia.
· Las vidas útiles consideradas corresponderán a las recomendadas especialmente para zonas de alta salinidad, como es el caso del Archipiélago de San Andrés y Providencia.
· Costos de vehículos, equipos de comunicación, edificio y equipos de oficinas, a partir de costos de reposición a nuevos de estos elementos.
· En el caso de distribución se utilizaría como tasa de retorno la establecida en la Resolucion CREG-013 de 2002.
· Los gastos AOM se calcularán con una metodología de precios de eficiencia. Para este propósito, se dividirán en dos grupos: gastos directos de distribución o comercialización y gastos compartidos. Los gastos directos corresponderán a las actividades propias del negocio e incluirán gastos directos de personal establecidos para la organización eficiente que se proponga y AOM congruentes con dicha organización, diseñada para satisfacer los requerimientos de operación y mantenimiento en las condiciones ambientales propias del Archipiélago. Los gastos compartidos consisten en una asignación de los gastos de otras dependencias a los negocios de comercialización y distribución dentro de una empresa verticalmente integrada e incluirían costos de personal y otros gastos que comprenden servicios públicos, suministros varios, seguros y un canon por concepto de arriendo de terceros. Para la determinación de estos gastos se definirá una estructura orgánica mínima que se requiere para la actividad de distribución en las Islas de San Andrés y Providencia.
Según lo establecido por la Ley 142 de 1994, los cargos de distribución también deben llevar implícito un nivel de calidad que definirá la Comisión de Regulación.
Con base en lo anterior, las disposiciones relacionadas con calidad del servicio de distribución contenidas principalmente en la Resolución CREG-070 de 1998, 096 de 2000 y 084 de 2002 y aquellas que las modifiquen también serán aplicables a la actividad de distribución del Archipiélago de San Andrés y Providencia.
El nivel de pérdidas a reconocer tanto para el distribuidor como al comercializador tendrá los siguientes objetivos principales:
· Reconocer que en la estructura de costos existe un nivel de pérdidas óptimo, teniendo en cuenta las características de la red existente.
· Reconocer que en la estructura de costos existe un nivel de pérdidas no-técnicas económicamente no gestionables.
· No trasladar al usuario los costos asociados con las ineficiencias de las empresas.
· Establecer una senda temporal sobre el nivel de pérdidas, que permita dar señales de eficiencia a las empresas. Con base en esta senda, éstas pueden definir la estrategia para maximizar su rentabilidad.
· Asignar responsabilidades tanto al distribuidor como al comercializador sobre la gestión y el control de las pérdidas.
· Establecer criterios para el tratamiento de pérdidas por encima del nivel de eficiencia.
De acuerdo con lo criterios señalados y el estudio realizado por la CREG, las pérdidas técnicas deben ser responsabilidad del operador de red (OR), en razón a que éste opera el sistema de distribución, situación en la cual el comercializador no tiene ninguna injerencia.
En cuanto a las pérdidas no-técnicas, se propone que las atribuidas a conexiones ilegales sean responsabilidad del distribuidor, mientras las debidas al fraude del usuario sean compartidas entre el distribuidor y el comercializador.
7.3.3. Administración, Operación y Mantenimiento
Los Operadores de Red del Archipiélago de San Andrés y Providencia serán responsables de la Administración, Operación y Mantenimiento de la red de distribución en Niveles de Tensión 1, 2 y 3, y a ellos se le reconocerá un componente por dichos gastos, utilizando una metodología que refleje gastos de eficiencia.
Con independencia de la propiedad de los activos, los Operadores de Red deberán llevar registros de la operación y mantenimiento que realicen a los activos de conexión.
7.3.4. Propiedad de los Activos
Los cargos de distribución serán determinados con independencia de la propiedad de los activos que hacen del sistema. Sin embargo, el OR deberá remunerar a los propietarios de acuerdo con la metodología que la CREG diseñe en la Resolución de aprobación de los cargos de distribución.
7.3.5. Tratamiento a los Aspectos Tributarios
Se reconocerían solamente los impuestos vigentes al momento del cálculo de los cargos al inicio del período tarifario.
Como posteriormente se explicará, en la fórmula de actualización del cargo de distribución se incluye un Factor de Productividad, que permite medir las mejoras en productividad que pueden lograr los agentes a partir de los costos de eficiencia. En esta forma, la Comisión da cumplimiento a lo dispuesto en el artículo 87.1 de la Ley 142 de 1994 en relación con los criterios de eficiencia y con el traslado a los usuarios de parte de las mejoras en productividad. Por otro lado, el factor de productividad X permite incorporar las reducciones en costos propias de cualquier empresa en cualquier sector, al precio final del bien o del servicio cuando éste es regulado. En condiciones normales de competencia, la empresa en procura de mejorar su situación competitiva, conduce los esfuerzos a reducir costos de producción y a trasladar estas reducciones a los precios de venta de sus bienes o servicios. No obstante, en un sector regulado, la competencia en precios a través del tiempo debe “simularse”.
En el caso de San Andrés se recomienda utilizar los mismos factores de productividad aprobados por el Sistema Interconectado Nacional, el cual fue desarrollado con base en el estudio realizado por la Universidad EAFIT y contratado por la CREG.
EAFIT construyó un modelo de productividad general para la economía colombiana, en el período 1992 – 1999, en el que se estima una medida de la productividad (mediante índices de Torkvist) y variables relacionadas con el proceso productivo, con la dinámica del sector, y con la exposición a la competencia. Una vez construido el modelo, éste se aplicó – con información del año 2001 – a la actividad de distribución de energía eléctrica.
La aplicación del modelo arrojó lo siguientes resultados:
CUADRO No. 13
INDICE DE PRODUCTIVIDAD
En razón a que los ejercicios para verificar la consistencia de los resultados en el modelo de productividad estimado, muestran resultados diferentes y no concluyentes, se recomendó escoger como factor de productividad el 50% del rango más bajo encontrado.
En estos términos, el potencial de mejora en productividad que pueden lograr las empresas de distribución de energía eléctrica en el siguiente período tarifario es 0.85%, y el factor X que se incorpora en la fórmula tarifaria 0.42%.
7.4. COSTO DE COMERCIALIZACION
De conformidad con la Ley 143 de 1994, la comercialización consiste en la compra de energía eléctrica y su venta a usuarios finales.
La comercialización de energía eléctrica no es una actividad intensiva en capital (planta, equipos y otros activos fijos), pero requiere una gran capacidad de gestión comercial (mercadeo, capacidad de negociación, recaudo de cartera y otros servicios) y una adecuada actualización tecnológica (telemedida, hardware, software) y administrativa para el desarrollo eficiente del negocio.
Los siguientes son los procesos básicos que la empresa de comercialización de electricidad del Archipiélago de San Andrés y Providencia debe realizar:
· Inversión en equipos y sistemas de información
· Medición y lectura del consumo de sus clientes
· Facturación y reparto de facturas
· Recaudo y conciliación de cuentas
· Gestión de cartera y de pérdidas
· Atención de quejas, peticiones y recursos
· Mantenimiento de equipos y sistemas de información
· Procesos de soporte administrativo y relaciones con otras instituciones Para la definición de costos de eficiencia de una actividad, que eventualmente se podría desarrollar bajo condiciones de competencia, se puede optar por diferentes alternativas que permitan la identificación de niveles de costos y de dimensionamiento de la actividad misma.
Los costos de eficiencia se calcularán a partir de una empresa de comercialización eficiente, diseñada con los siguientes parámetros:
· Se establecerá una estructura administrativa y de infraestructura mínima requerida para la prestación adecuada y eficiente de la actividad de comercialización en el Archipiélago de San Andrés y Providencia.
· Su infraestructura física se adecuará al tamaño y condiciones geográficas de las Islas, que considerarán por ejemplo realizar las actividades de lectura y entrega de facturas a pie y otras alternativas viables dadas sus particularidades.
Adicionalmente a la metodología anterior, se considera viable evaluar la posibilidad de establecer una metodología de eficiencia comparativa.
7.4.1. Margen de Comercialización
La remuneración de una actividad debe considerar la recuperación de los costos de funcionamiento y el retorno sobre el capital invertido en el negocio de acuerdo con los riesgos del mismo.
Dado que la comercialización de electricidad es una actividad poco intensiva en activos fijos y considerando su característica de negocio de intermediación económica, para efectos de la remuneración de la comercialización como actividad independiente, se establecerá un margen operacional sobre los costos eficientes reconocidos a cada empresa. Dicho margen debe cubrir el retorno de la inversión y los riesgos del negocio.
Este margen se establecerá por comparación con los márgenes operacionales de empresas que se dedican a la comercialización de bienes o servicios en el país y que poseen características asimilables a la comercialización de electricidad. Para este propósito se considerarán actividades de comercialización minorista de productos y servicios, y se tomarán los márgenes de comercialización obtenidos en el período 1999-2001 Fuente: Superintendencia de Sociedades..
A partir de los márgenes competitivos estimados de acuerdo con lo anteriormente expuesto, se podrán realizar ajustes que hagan posible su aplicación en la remuneración de la comercialización de electricidad, considerando las diferencias de riesgos y otros factores inherentes a la actividad.
7.4.2. Cargo Base de Comercialización
Sobre los costos eficientes calculados, se aplica el margen de remuneración determinado. El cargo calculado será un valor en $ por factura, el cual corresponderá a un valor fijo por cada factura expedida. Para su aplicación en la fórmula tarifaria de costo único de prestación del servicio, las empresas deberán convertir el cargo equivalente de comercialización a un cargo unitario. Para el efecto se definirá un cargo variable al usuario final en pesos por kWh mensual ($/kWh/mes), cuya proporción será determinada posteriormente, utilizando como consumo medio facturado, el correspondiente a un valor mensual calculado con el promedio móvil de los últimos tres meses.
De igual forma que en la actividad de distribución, para la actividad de comercialización se incluirá el factor de productividad correspondiente. De acuerdo con lo aprobado para el Sistema Interconectado Nacional, el factor de productividad será de 0.45.
8. PROPUESTA DE FÓRMULA DEL COSTO UNITARIO PARA CONSULTA
La propuesta que se desarrolla a continuación parte de los análisis y premisas antes expuestas.
Para proponer ajustes a la Fórmula Tarifaria Actual se consideraron los siguientes aspectos:
· La fórmula actual es sencilla y no presenta dificultades para su aplicación ni efectos distorsionantes desde el punto de vista financiero para el comercializador. En este sentido, los cambios que se adopten deben ser los estrictamente necesarios para que las señales de costos al usuario final sean consecuentes con los objetivos identificados.
· Desde el punto de vista de estructura general de la fórmula del CU y de la fórmula para el costo de cada componente, se debería, en la medida de lo posible y cuando ello aplique, guardar consistencia con lo que se adopte para el SIN, logrando con esto consistencia regulatoria y comparabilidad con otras empresas.
· En consonancia con lo anterior, el costo parcial correspondiente al nivel de tensión 3 y denominado como transmisión (T), debería tratarse como un cargo de distribución del nivel respectivo.
· La fórmula actual del CU para las Islas no permite identificar en forma precisa los costos asociados con los diferentes componentes de la prestación del servicio. Este es el caso del cargo conjunto para G y T. La fórmula tampoco permite identificar el valor del subsidio asignado a la componente de generación.
· Se considera conveniente seguir utilizando exclusivamente una tarifa monomia que es la apropiada para las condiciones de prestación del servicio (oferta y demanda) en las Islas.
8.1. OBJETIVOS DE LOS CARGOS A REGULAR EN LA FÓRMULA
A continuación se señalan los objetivos que deben cumplir los cargos a regular:
8.1.1. Cargo de Generación – G
· Permitir la recuperación de costos de compra de energía, por parte del comercializador, bajo condiciones de eficiencia económica.
· Dar al consumidor la señal del costo eficiente de generación. Como tal, se entiende que la fórmula del CU debería contener un costo de generación eficiente G, para recuperarlo en las condiciones eficientes de pérdidas permitidas.
8.1.2. Cargo de Distribución – D
· Permitir la recuperación de la inversión en distribución mediante el costo regulado por la CREG.
· Incluir incentivos para el manejo eficiente de las redes y la expansión (factor de productividad y nivel de AOM reconocido).
· Dar al usuario final la señal del costo eficiente de distribuirle la electricidad.
· Dar señales al usuario final sobre la calidad asociada con la inversión que se remunera.
8.1.3. Cargo de Comercialización – C
· Permitir la recuperación del costo de comercialización regulado por la CREG.
· Incluir incentivos de eficiencia en la actividad de comercialización tales que simulen la competencia (factor de productividad).
· Dar al usuario final la señal del costo eficiente que implica los servicios comerciales de entregarle electricidad.
· Remunerar dentro de esta componente las contribuciones a la CREG y SSPD.
8.1.4. Nivel de Pérdidas – Pr
· Establecer una senda de eficiencia.
· Generar incentivos para mejoramiento en la gestión de pérdidas.
8.2. FÓRMULA GENERAL PROPUESTA
Dado todo lo anterior, se propone la siguiente fórmula tarifaria para calcular el costo unitario de prestación del servicio:
donde:
n : Nivel de tensión.
m : Es el mes para el cual se calcula el costo unitario de prestación del servicio.
t : Años transcurridos desde el inicio de la aplicación de la fórmula (t= 0, 1, 2, 3, 4).
CUm,t,n Costo unitario de prestación del servicio ($/kWh), correspondiente al mes m del año t, para los usuarios conectados al nivel de tensión n.
Gm,t Costos de Generación ($/kWh) correspondiente al mes m del año t, conforme a lo que se propone adelante.
D m,t,n Costo de distribución ($/kWh) correspondiente al mes m del año t, al nivel de tensión n, conforme a la fórmula del cargo de distribución que se expone adelante.
C m,t Costo de comercialización ($/kWh) correspondiente al mes m del año t, conforme a la fórmula del cargo de comercialización que se expone adelante.
PR t,n Fracción (o porcentaje expresado como fracción) de pérdidas de energía reconocidas para el año t, acumuladas hasta el nivel de tensión n, conforme se indique en la resolución respectiva.
A continuación se explica la fórmula de actualización y cálculo de cada cargo.
8.2.1. Fórmula para Actualización del Costo de Generación - G
Es el costo máximo de compra de energía que se apruebe por la Comisión por concepto de Generación:
donde:
Gm,t = Costo de compra de energía en el mes m del año t.
Go = Costo de generación, calculado por la CREG.
IPPm = Índice de Precios al Productor del mes m.
IPPo = Índice de Precios al Productor en el primer mes de aplicación de la fórmula.
8.2.2. Fórmula para la Actualización del Cargo De Distribución – D
Se propone la siguiente fórmula de actualización para el costo de distribución.
. donde:
n: Nivel de Tensión n.
CDn,m: Cargo Máximo del Nivel de Tensión n, correspondiente al mes m.
CDn: Cargo Máximo del Nivel de tensión n aprobado por la CREG.
fp: Factor de Productividad Anual. Su valor sería igual al definido para el Sistema Interconectado Nacional.
a: Número del año a partir de aquel en el que se apruebe el Cargo Máximo del Nivel de Tensión n. Por ejemplo, a es igual a uno para el año 2003, si se obtiene la aprobación del cargo para dicho año.
IPPm: Índice de Precios al Productor correspondiente al mes m.
IPPo: Índice de Precios al Productor correspondiente al mes de aprobación del costo de distribución.
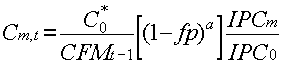
8.2.3. Fórmula para el Cálculo Del Cargo De Comercialización – C
Al costo eficiente de la actividad de comercialización en el Archipiélago, se le debe agregar el valor de las contribuciones a la CREG y la SSPD.
Se propone la siguiente fórmula para el cálculo del cargo de comercialización por kWh:

donde:
Cm,t Costo de Comercialización del mes m del año t, expresado en $/kWh.
C*0 Costo Base de Comercialización expresado en $/Factura.
CFM t-1 Consumo Facturado Medio, de conformidad con la propuesta realizada en el aparte de remuneración del costo de comercialización.
fp Factor de Productividad Anual. Su valor sería igual al definido para el Sistema Interconectado Nacional.
a Número del año a partir de aquel en el que se apruebe el Cargo Máximo del Nivel de Tensión n. Por ejemplo, a es igual a uno para el año 2003, si se obtiene la aprobación del cargo para dicho año.
IPCm Índice de Precios al Consumidor del mes m.
IPC0 Índice de Precios al Consumidor del mes en que se apruebe el costo de comercialización.
Sobre la fórmula anterior se observa lo siguiente:
· En el Costo Base de Comercialización se incluirá las contribuciones a la CREG y a la SSPD.
· Se incluye un factor de productividad calculado de igual forma que se hace para el cargo de distribución.
· La actualización se hace con el IPC como lo es actualmente, pero al mes m como en distribución y no al mes m-1 como está en la fórmula actual para el Archipiélago.
Se propone mantener los esquemas de actualización adoptados por la Resolución CREG-112 de 2001.
8.2.4. Propuesta de Nivel de Pérdidas para la Formula del Cu
Se determinarán factores eficientes de pérdidas de acuerdo con los estudios que se están adelantando sobre el tema. El nivel de pérdidas incluirá el nivel de pérdidas reconocidas en las actividades de distribución y comercialización y serán diferentes cada año en respuesta a la senda que se fije para alcanzar las pérdidas de eficiencia.
MANUEL MAIGUASHCA OLANO | JAIME ALBERTO BLANDÓN DÍAZ |
Viceministro de Minas y Energía | Director Ejecutivo |
Delegado del Ministro |  |
|
Doble click sobre el archivo anexo para bajarlo(Resoluciones CREG) |
Doble click sobre el archivo anexo para bajarlo(Documento CREG) |
|