| Publicación Diario Oficial No.: | , el día: |
| Publicada en la WEB CREG el: | 02/January/2007 |
|
RESOLUCIÓN No.101
( 05 DIC. 2006 )
Por la cual se resuelve una solicitud de revisión tarifaria, presentada por la empresa ENERGIA SOCIAL DE LA COSTA S.A. E.S.P.- ENERGIASOCIAL.
LA COMISIÓN DE REGULACIÓN DE ENERGÍA Y GAS
En ejercicio de sus atribuciones constitucionales y legales, en especial las conferidas por la Ley 142 de 1994, y en desarrollo de los Decretos 1524 y 2253 de 1994, y
CONSIDERANDO:
1. LA SOLICITUD.
La empresa ENERGIA SOCIAL DE LA COSTA S.A. E.S.P., a través de comunicación radicada en la CREG con el No. E-2005-5801 del 5 de Agosto de 2005, suscrita por su Representante Legal, presentó solicitud de revisión tarifaria argumentando, principalmente, que los cargos de comercialización que aplica a los usuarios de Barrios Subnormales que actualmente atiende no le garantizan el criterio de suficiencia financiera establecido en las leyes 142 y 143 de 1994.
La solicitud a la CREG, expresada por la empresa, es la siguiente:
“Se solicita a la CREG proceder a la revisión tarifaria para ENERGIASOCIAL de forma que garantice la suficiencia financiera y la sostenibilidad de la empresa, teniendo en cuenta las condiciones de recaudo esperadas, los costos operacionales, los niveles de riesgo de la actividad, y una remuneración mínima de inversión.
De acuerdo con los datos y la documentación presentada, ENERGÍA SOCIAL DE LA COSTA solicita a la CREG lo siguiente:
Fijar el Costo Base de Comercialización para el mercado de comercialización atendido por ENERGIASOCIAL, conformado exclusivamente por Barrios Subnormales de la Costa Atlántica, en la suma de $12,210.35 por usuario, que se dividiría por el Consumo Facturado Medio de cada familia para encontrar el componente C en $/Kwh. del Costo Unitario de Prestación del Servicio.
El valor en dinero está expresado en pesos de diciembre de 2004 que se ajustarían de acuerdo con lo dispuesto en la Resolución 031 de 1997.”
2. PRETENSIONES DE LA SOLICITUD
La solicitud presentada por la empresa, contiene las siguientes pretensiones principales:
· “Ajustar el Costo Base de Comercialización para el mercado de comercialización atendido por ENERGIASOCIAL, conformado exclusivamente por Barrios Subnormales de la Costa Atlántica, a $12,210.35 por factura individual expedida a cada usuario integrante del Barrio Subnormal, de tal forma que le permita a la empresa obtener suficiencia financiera en condiciones de eficiencia.”
Pretensiones subsidiarias:
· “Que se expida la fórmula o fórmulas particulares necesarias para establecer los costos de prestación del servicio a los usuarios de los Barrios Subnormales atendidos por ENERGIA SOCIAL, que garanticen el cumplimiento del principio de suficiencia financiera de la empresa, sin perjuicio de que en el futuro se expidan por parte de la CREG las fórmulas generales de costos de prestación del servicio a usuarios finales y/o las fórmulas de costos de prestación del servicio en Zonas Especiales que igualmente garanticen dicho principio”.
3. FUNDAMENTOS DE LA SOLICITUD DE REVISIÓN TARIFARIA
La empresa manifestó en su solicitud:
“Con el fin de analizar las posibles alternativas para el manejo de la causal de disolución por pérdidas, se procedió a efectuar un análisis de viabilidad financiera y de gestión de ENERGIASOCIAL, del cual se concluye que (i) ENERGIASOCIAL no es financieramente viable con la tarifa actual y que (ii) la inviabilidad no se origina en una problema de gestión de la empresa.
Así mismo, analizadas las posibles alternativas para el manejo de la causal de disolución por pérdidas, se encontró que la única viable sería que los accionistas efectuaran capitalizaciones adicionales.
Los accionistas de ENERGIASOCIAL han considerado que la decisión de capitalizar la empresa para enervar la causal de disolución por pérdidas depende de que ésta llegue a ser financieramente viable, por lo que se solicitó a la administración de ENERGIASOCIAL presentar a la Comisión de Regulación de Energía y Gas – CREG una solicitud de ajuste tarifario que le permita a la empresa obtener suficiencia financiera.
Realizados los estudios correspondientes se ha determinado que el Costo Base de Comercialización que permite a Energía Social obtener suficiencia financiera es de doce mil doscientos diez pesos con treinta y cinco centavos (12,210.35) por factura expedida a cada usuario integrante del Barrio Subnormal.”
La empresa presentó el documento “Revisión del Costo Base de Comercialización de ENERGIA SOCIAL DE LA COSTA por insuficiencia financiera”, con el cual la empresa pretende demostrar dos hechos: (i) La insuficiencia financiera de la empresa, (ii) Que dicha insuficiencia no se debe a un problema de gestión de la misma.
A continuación se expone la información contenida en el referido documento.
3.1. Indicadores financieros y de gestión.
3.1.1. Recaudo.
Según la información reportada por la empresa, los ingresos de ENERGIASOCIAL provenientes de la prestación del servicio público de energía eléctrica a los usuarios de los barrios subnormales proviene de tres (3) fuentes: los subsidios del Fondo de Solidaridad para Subsidios y Redistribución de Ingresos (FSSRI) y del Fondo para la Energía Social (FOES) y los pagos que efectúan los usuarios a través del Gestor Comunitario, con quien la empresa acuerda la gestión de recaudo de los valores que factura.
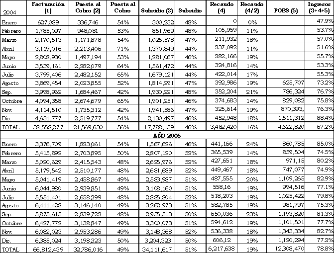
En el Cuadro 1, se presenta la información suministrada por la empresa, respecto a los índices de recaudo de la facturación:
Cuadro 1. Recaudo.

Fuente: ENERGÍA SOCIAL DE LA COSTA RAD. CREG E-2006-5496
Cifras en Miles de pesos corrientes.
La empresa afirma que “... contando con el porcentaje de recaudo del gestor comunitario (que sobre la facturación ha correspondido al 9% en promedio para los últimos seis meses), los recursos del FOES y el giro de los subsidios, se han alcanzado índices de recaudo que en promedio para los últimos seis meses alcanzan el 79%”
3.1.2 Cartera.
La empresa presenta la información contenida en el cuadro No 2, para resaltar que los recursos del FOES, si bien son importantes, no alcanzan a cubrir la totalidad de la cartera corriente.
La empresa afirma:“El cuadro muestra además cómo la cartera vencida ha tendido a estabilizarse en los últimos doce meses en niveles alrededor de $45,000 millones.
Para el análisis de la cartera vencida debe tenerse en cuenta que ésta combina el efecto acumulado de la cartera a partir de la gestión de ENERGIA SOCIAL con el efecto de la cartera vencida de ELECTROCOSTA o ELECTRICARIBE y que es asumida por ENERGIASOCIAL en el momento en que se da el cambio de comercializador a esta última empresa”
Cuadro 2. Cartera.
| 2004 | Vencida | Corriente 1 | FOES |
| Enero | 13,977,000,000 | 986,000,000 | - |
| Febrero | 25,697,000,000 | 1,455,000,000 | - |
| Marzo | 30,023,000,000 | 1,557,000,000 | - |
| Abril | 32,114,000,000 | 2,573,000,000 | - |
| Mayo | 33,581,000,000 | 2,302,000,000 | - |
| Junio | 40,025,000,000 | 2,382,000,000 | - |
| Julio | 43,355,000,000 | 2,321,000,000 | - |
| Agosto | 44,511,000,000 | 2,168,000,000 | 625,707,720 |
| Septiembre | 46,936,000,000 | 2,424,000,000 | 786,324,520 |
| Octubre | 47,175,000,000 | 3,585,000,000 | 829,082,440 |
| Noviembre | 51,296,000,000 | 1,965,000,000 | 870,393,120 |
| Diciembre | 44,547,000,000 | 2,522,000,000 | 1,511,312,720 |
| Total |  |  | 4,622,820,520 |
| 2005 | Vencida | Corriente 1 | FOES |
| Enero | 45,841,000,000 | 2,076,000,000 | 860,785,600 |
| Febrero | 46,710,000,000 | 2,276,000,000 | 859,504,160 |
| Marzo | 48,088,000,000 | 2,402,000,000 | 971,150,320 |
| Abril | 41,972,000,000. | 2,198,000,000 | 747,077,392 |
| Mayo | 41,478,000,000 | 2,349,000,000 | 1,109,265,735 |
| Junio | 44,597,000,000 | 2,715,000,000 | 994,516,768 |
| Julio |  |  | 1,025,422,869 |
| Agosto |  |  | 981,797,336 |
| Septiembre |  |  | 1,193,820,285 |
| Octubre |  |  | 1,101,501,432 |
| Noviembre |  |  | 1,343,334,650 |
| Diciembre |  |  | 1,120,294,065 |
| Total |  |  | 12,308,470,612 |
Fuente: ENERGÍA SOCIAL DE LA COSTA RAD. CREG E-2005-5801
Cifras en pesos corrientes. 3.1.3 Estados Financieros
En su solicitud la empresa afirmó que: “El 31 de marzo de 2005 se llevó a cabo la Asamblea General de Accionistas de Energía Social de la Costa S.A. ESP., en la cual se aprobaron los Estados Financieros de Propósito General cortados a 31 de diciembre de 2004.
En dicha Asamblea se puso de presente que, tal que como lo reflejaban los Estados Financieros con corte a 31 de diciembre de 2004, la empresa acumulaba pérdidas que reducían el patrimonio neto por debajo del cincuenta por ciento (50%) del capital suscrito, configurándose una de las causales de disolución de las sociedades anónimas previstas en el artículo 457 del Código de Comercio. La Asamblea aprobó, entonces, solicitar a la Junta Directiva estudiar las posibles alternativas para el manejo de la causal de disolución por pérdidas y presentar las conclusiones en una próxima reunión de Asamblea que debería realizarse en un término no mayor a seis meses.
En las juntas directivas de ELECTROCOSTA y ELECTRICARIBE, principales accionistas de ENERGIA SOCIAL, que se llevaron a cabo el pasado 19 de julio, se analizaron las alternativas existentes para enervar la causal de disolución de ENERGIASOCIAL, para lo cual se consideró:
· Que ENERGIA SOCIAL continúa acumulando pérdidas, ascendiendo éstas a $14,618 millones a mayo de 2005.
· Para enervar la causal de disolución de pérdidas la alternativa viable sería efectuar una capitalización adicional de $29 mil millones. La reducción de capital sin reembolso de aportes, por lo bajo del capital, no tendría mayor efecto.
· Que según presupuesto, ENERGÍA SOCIAL acumularía pérdidas adicionales por $15,000 millones durante el 2005.
· Que ENERGÍA SOCIAL es inviable con la regulación y la tarifa actual.
· Que en tales condiciones, no sería recomendable una capitalización adicional.
“....ENERGIASOCIAL presenta un déficit de caja operativa generado especialmente por los insuficientes recaudos de estas zonas.
El déficit de caja se reduce en la proyección financiera, en la medida que se logra incrementar el porcentaje de recaudo de las familias. Pero es claro que cualquier desviación del porcentaje de recaudo desde el 100% generará un déficit de caja operacional, pues no hay un elemento en los precios de venta que recoja la existencia de tal costo. Así las cosas, las provisiones de cartera se convierten en parte permanente de los costos variables de operación de la empresa, al considerarlas para el cálculo del margen de contribución hacen que éste sea siempre negativo, lo que indica que no se alcanzan a cubrir los costos variables.
Es por ello que el flujo de caja operacional de ENERGIASOCIAL es negativo y mientras esta situación persista, es claramente una actividad no sostenible.
La proyección financiera de la empresa muestra que la misma es inviable en las condiciones actuales, aún manteniendo los programas de mejoramiento de la gestión de recaudo que han permitido aumentar el mismo de $107 millones en febrero de 2004 a $599 millones en junio del presente año, sin contar con los recursos aportados por el FOES.”
Cuadro 3 Estados Financieros
| Estado de Resultados | 2004 | 2005 |
| Ingresos operacionales | 39,446,590 | 66,937,765 |
| Costos de Ventas | (36,087,559) | (64,270,851) |
| Utilidad o pérdida bruta | 3,359,031 | 2,666,914 |
| Gastos Operacionales | (12,906,129) | (12,858,724) |
| Pérdida Operacional | (9,547,098) | (10,191,810) |
| Ingresos no operacionales | 522,084 | 750,490 |
| Gastos No Operacionales | (1,799,695) | (2,084,465) |
| Otros Gastos |  | (15,249) |
| Corrección monetaria neta | (591) | 466,781 |
| Pérdida antes de impuestos | (10,825,299) | (11,074,253) |
 |  |  |
Fuente: ENERGIA SOCIAL DE LA COSTA. RAD. CREG E-2006-5006
En miles de pesos.
Balances Generales a 31 de diciembre.
| Activo | 2,004 | 2005 |
| Activo Corriente |  |  |
| Disponible | 309,671,729 | 1,469,576,000 |
| Inversiones | 22,669,947,000 | 19,305,697,000 |
| Deudores |  |  |
| Clientes | 10,455,584,000 | 12,974,274,000 |
| Varios | 2,206,061,000 | 2,249,124,000 |
| Vinculados económicos | 9,323,915,000 | - |
| Otros Activos | 329,441,000 | 401,776,000 |
| Total | 45,294,618,729 | 36,400,447,000 |
| Propiedad Planta | 97,795,000 | 85,810,000 |
| Total | 45,392,413,729 | 36,486,257,000 |
| Pasivo y Patrimonio |
| Pasivo Corriente2,0042005 |
| Proveedores2,957,847,0004,948,625,000 |
| Cuentas por pagar25,201,107,00019,126,618,000 |
| Vinculados económicos20,261,521,00019,049,492,000 |
| Impuestos17,480,000204,289,000 |
| Obligaciones laborales51,114,00051,184,000 |
| Pasivos estimados y provisiones7,679,559,0003,883,228,000 |
| Ingresos diferidos38,464,000 |
| Total Pasivo56,207,092,00047,263,436,000 |
 |
| Patrimonio |
| Capital10,000,0001,158,500,000 |
| Revalorización de patrimonio591,000(462,658,000) |
| Resultados acumulados(398,799,000) |
| Pérdida neta del ejercicio10,825,269,27111,074,222,000 |
| Total Patrimonio de los accionistas10,814,678,27110,777,179,000 |
| Total Pasivo y Patrimonio45,392,413,72936,486,257,000 |
 |
Fuente: ENERGIA SOCIAL DE LA COSTA. RAD. E-2006-5006
3.2 SOLICITUD TARIFARIA
3.2.1 “Costos Operativos.”
La empresa presentó sus costos operativos tomando el costo anual para el periodo de julio de 2004 a junio de 2005, por considerar que este periodo ya reflejaba el crecimiento del número de familias servidas, las mayores economías alcanzadas en los procesos, etc.
Los costos operativos presentados por la empresa corresponden a $6,714 millones de pesos de diciembre de 2004, desagregados así:
Cuadro 4 Costos Operativos de ENERGIASOCIAL
Rubro | Jul- Dic. 2004 | Ene. – Jun 2005 | Anualidad |
| Gastos de Personal Activo | 591 | 1,087 | 1,679 |
| Gastos de Operación | 765 | 776 | 1,541 |
| Comisiones Recaudo | 223 | 308 | 530 |
| Servicios prestados ECO ECA | 1,237 | 955 | 2,192 |
| Impuestos | 379 | 393 | 772 |
| TOTAL | 3,196 | 3,519 | 6,714 |
Fuente: ENERGÍA SOCIAL DE LA COSTA RAD. CREG E-2005-5801.
Cifras en millones de pesos de diciembre de 2004.
Sobre este cuadro la empresa manifiesta que: “Estos costos operativos excluyen aquellos rubros de costo que son remunerados por otros componentes del Costo Unitario y por consiguiente no considera los valores de la compra de energía, costos del STR, y los pagos a CREG y al administrador del mercado. Tampoco incluyen los costos correspondientes a gastos financieros y extraordinarios. Para el caso de determinar los costos del periodo julio a diciembre de 2004, si bien en este semestre los gastos reales fueron mayores debido a que en el mes de diciembre se facturaron a ENERGIASOCIAL los gastos por servicios prestados de ECO ECA y se tuvo un gasto de personal más alto por efecto de la operativa, para no distorsionar el análisis de costos a remunerar se optó por mensualizar todos los gastos incurridos durante el año pasado de tal manera que se obtuviera una distribución uniforme de los costos en el año.”
3.2.2 “Costos de la Incobrabilidad.”
Manifiesta la empresa, “La gestión de los barrios subnormales adolece de una falla estructural que impide que el recaudo pueda alcanzar el 100%. Esta falla corresponde a la ausencia de medios físicos para brindar calidad del servicio, y por consiguiente el tema de la mayor gestión empresarial queda relegado a un plano secundario, ya que las familias servidas no observan un incentivo representativo que los conduzca a cancelar el pago del servicio de electricidad.
El problema de recaudo se profundiza al considerar la situación económica de los habitantes de estos barrios subnormales. Estos habitantes circundan las ciudades principales y algunas intermedias, conformando áreas deprimidas, pues han debido salir de sus lugares de origen por diversas causas fundadas principalmente en el conflicto interno.
ENERGÍA SOCIAL siendo el comercializador que presta el servicio de electricidad en los Barrios Subnormales, a instancias del Gobierno y con el aval de UNION FENOSA, presenta un margen operacional negativo que tiene su origen en el bajo recaudo de estas zonas. Vale aclarar que, no obstante el flujo de recursos provenientes del Fondo de Solidaridad, el FOES y el recaudo sobre el puesto al cobro, el recaudo total solo alcanza el 79% en promedio en el primer semestre de 2005, siendo inferior en el 2004. Esto no permite garantizar la suficiencia financiera de la empresa teniendo en cuenta la gestión adelantada, con evidentes resultados, que sin embargo no permiten recuperar sus costos.
Muestra de lo anterior se puede observar en los estados financieros que reflejan el estado semestral de las provisiones de cartera realizadas por la empresa y que al cierre del 2004 correspondieron a 8,923 millones”
“..ENERGIASOCIAL puede aportar soluciones en cuanto a administrar esquemas de gestión que permitan concretar la prestación del servicio, lo cual requiere necesariamente del concurso de gobierno en cuanto a garantizar el flujo de recursos para el prestador del servicio.”
3.2.3 “El problema de recaudo de ENERGIASOCIAL.”
Y concluye “se puede concluir que la construcción de una senda de recaudo esperada debe tener en cuenta las siguientes singularidades de los Barrios Subnormales:
· Limitada capacidad de pago de sus habitantes.
· Irregularidad del pago que depende de eventos exógenos a la gestión de ENERGIASOCIAL.
· Límites de la capacidad operativa y comercial del Gestor Comunitario.
· Inexistencia de una red óptima, que asegure la calidad y confiabilidad del servicio que incentiven al pago.
A partir de la experiencia de ENERGIA SOCIAL es previsible que el problema del recaudo pueda mejorar mediante soluciones que involucran en una etapa la labor de ENERGIA SOCIAL con el concurso de los Gestores Comunitarios. Sin embargo, soluciones estructurales, como concretar los procesos de normalizaciones de la red, y la eliminación de las limitantes económicas de los habitantes de los Barrios Subnormales no son responsabilidad directa de ENERGÍA SOCIAL. Las soluciones estructurales solo se obtendrán con el concurso de las autoridades locales y nacionales, en el aspecto de normalización de la red, lo cual permitirá incentivar el pago de las familias. No obstante que lo anterior no es garantía del pago, ya que en el fondo la situación radica en la incapacidad para cancelar la totalidad del valor de servicio.
...Considerando la incorporación permanente de nuevos Barrios Subnormales, y por las consideraciones antes expuestas en cuanto a la singularidad del desempeño de los Gestores Comunitarios por efectos exógenos a su capacidad, se ha previsto una evolución razonable del recaudo sobre el puesto al cobro como se observa en el cuadro 10.
Cuadro 10. Evolución esperada del recaudo de los Gestores Comunitarios
 | 2005 | 2006 | 2007 | 2008 | 2009 | 2010 |
Recaudo sobre el puesto al cobro | 20% | 29% | 38% | 47% | 50% | 50% |
Por consideraciones de las restricciones de la comunidad y de la operativa, se considera razonable asumir que en un periodo de 5 años el recaudo podría alcanzar el 50%.”
3.2.4 “Costos por efecto de la incobrabilidad”
La empresa manifiesta que “Usando como referente la facturación, se presenta la posible evolución del recaudo en sus componentes, a saber: Giro de subsidios, giro de recursos del FOES y el recaudo esperado del Gestor Comunitario para el quinquenio 2006-2010 tomando como base el año 2005. A su vez, a partir de las estimaciones de ventas usadas en el análisis financiero, se determinan los ingresos netos de la explotación, para afectarlos luego por el recaudo total estimado para cada año del horizonte de análisis y de esta manera determinar los valores estimados de incobrabilidad.
Para el análisis se supone que el giro de los recursos del FOES se agota a partir del año 2009 y que se cumplen las metas de recaudo del Gestor Comunitario que alcanzan su punto máximo en el 50% del puesto al cobro. El cuadro 11 siguiente resume la senda del recaudo en sus componentes por fuente:
Cuadro 11 Evolución estimada del recaudo de ENERGÍA SOCIAL
| Porcentajes de recaudo estimados | 2005 | 2006 | 2007 | 2008 | 2009 | 2010 |
| Recaudo sobre el puesto al cobro | 20% | 29% | 38% | 47% | 50% | 50% |
| Recaudo de FOES | 100% | 100% | 100% | 100% | 100% | 100% |
| Recaudo de Subsidios | 100% | 100% | 100% | 100% | 100% | 100% |
Porcentajes de Facturación |  |  |  |  |  |  |
| Facturado a las familias | 32% | 32% | 32% | 32% | 50% | 50% |
| Facturado a FOES | 18% | 18% | 18% | 18% | 0% | 0% |
| Facturado a Subsidios | 50% | 50% | 50% | 50% | 50% | 50% |
| Recaudo Total | 74% | 77% | 80% | 83% | 75% | 75% ” |
Agrega que: “A partir de dichas consideraciones, el cuadro 12 presenta la serie esperada de ventas de ENERGIASOCIAL (dado el Cu y cargo C actual) expresada en pesos constantes de 2004, la cual se afecta por los porcentajes de recaudo presentados antes, para determinar las cantidades incobrables esperadas en el quinquenio.
Cuadro 12. Estimación de la incobrabilidad esperada
 | 2005 | 2006 | 2007 | 2008 | 2009 | 2010 |
| Ventas | 60,278 | 63,194 | 60,692 | 60,692 | 60,692 | 60,692 |
| Recaudo | 44,847 | 48,836 | 48,651 | 50,399 | 45,519 | 45,519 |
| Incobrabilidad | 15,431 | 14,358 | 12,041 | 10,293 | 15,173 | 15,173 |
Cifras en millones de pesos.
Si la serie de incobrabilidad se trae a valor presente con una tasa del 16% este monto ascendería a $67,038 millones de pesos de diciembre de 2004 para los 5 años de análisis, que resultaría en una anualidad de $13,293 millones de pesos constituyendo el costo anual esperado de la incobrabilidad que asumiría ENERGIASOCIAL a pérdida, de no aprobarse el reconocimiento de este riesgo de mercado.”
3.2.5 “Costos totales a reconocer.”
La empresa propuso: “Tomando en cuenta los costos operativos y los costos de incobrabilidad, el cuadro siguiente presenta los costos totales a remunerar a ENERGIASOCIAL.”
Cuadro 13. Costos Totales a remunerar a ENERGIASOCIAL
| Rubro | Anualidad (Jul/04 a Jun/05) |
 |  |
| Costos Operativos | 6,714 |
| Costos por incobrabilidad | 13,293 |
| Costos Totales | 20,007 |
Cifras en millones de pesos
3.2.6 “Costo Base de Comercialización y Cálculo del Cargo de Comercialización.”
“Para el cálculo del Costo Base de Comercialización (Co) para ENERGÍASOCIAL se tendría la siguiente fórmula, utilizando la metodología establecida en la resolución CREG 031 de 1997 y agregando los costos de incobrabilidad:
Co= (Costo Operativo*.15%+ Costo Incobrabilidad)/ Número de Facturas año.
Considerando los costos del Cuadro 13 y tomando la información del Cuadro 14 en cuanto a cantidad de facturas individuales por familia expedidas durante el periodo de julio de 2004 a junio de 2005, el Costo Base de Comercialización Co a reconocer a ENERGIA SOCIAL resultante es de $12,210.35 por factura individual expedida a cada usuario.
Cuadro 14 Información para cálculo de CFM
 | 2º semestre 2004 | 1er semestre 2005 | Julio/04 a Junio/05 |
| Facturas Individuales expedidas | 804,466 | 916,549 | 1,721,015 |
| Consumo Facturado (kWh) | 130,655,994 | 142,232,563 | 272,888,557 |
| Consumo Facturado Medio (CFM)-(kWh/fact): 159 |  |  |  |
El cálculo del cargo de comercialización a aplicar en la tarifa en $/Kwh., por parte de ENERGIASOCIAL en los barrios subnormales que atiende, resulta de dividir el Co calculado entre el CFM de 159 Kwh. /factura, según cifras del periodo antes señalado. De acuerdo con este cálculo, el cargo de comercialización sería de $77.01 $/Kwh. en pesos de diciembre de 2004.”
4 EL TRÁMITE ADELANTADO
4.1. Admisión de la solicitud
Mediante auto del 29 de agosto de 2005, la CREG dispuso adelantar la respectiva actuación administrativa tendiente a resolver la solicitud de revisión tarifaria del cargo base de comercialización atendido por ENERGÍA SOCIAL DE LA COSTA S.A. E.S.P., ordenó realizar la respectiva publicación en un diario de amplia circulación, y rechazó la petición subsidiaria de que la CREG expida la fórmula o fórmulas particulares necesarias para establecer los costos de prestación del servicio a los usuarios de barrios subnormales atendidos por ENERGIASOCIAL.
En el mencionado auto se consideró que no es posible acceder, dentro de esta actuación, a expedir las fórmulas para establecer el costo de prestación del servicio solicitadas, teniendo en cuenta que no se ha expedido la regulación, de conformidad con el Artículo 32 del Decreto 3735 de 2003, necesaria para reflejar las variaciones que se presenten en el componente de comercialización (C) de la tarifa, para cualquiera de los esquemas diferenciales de prestación del servicio a que se refiere el citado decreto; labor que se adelanta dentro del trámite de aprobación de la metodología de remuneración a la actividad de comercialización.
Mediante comunicación radicada con el No. E-2005-6403, del 30 de agosto de 2005, la empresa solicitó una audiencia a la CREG, para presentar la situación de la empresa y describir la petición formulada, la cual se llevó a cabo el día 1 de diciembre de 2005, como consta en la respectiva acta. En el expediente obra copia escrita de la presentación de la solicitud y un video presentados por la empresa en esta oportunidad.
Mediante comunicación radicada con el No. E-2005-6729, del 13 de septiembre de 2005, la empresa presentó recurso de reposición contra el numeral tercero del auto del 29 de agosto de 2005, solicitando su revocación y por tanto la admisión para trámite de la petición subsidiaria tal y como fue formulada en la solicitud. Este recurso fue decidido mediante auto notificado el 17 de noviembre de 2005, que confirmó la decisión recurrida.
Mediante comunicación S-2005-3293 del 5 de diciembre de 2005, se requirió nuevamente a la empresa, para que efectuara la publicación prevista en los artículos 15 y 16 del Código Contencioso Administrativo, conforme a lo ordenado en el auto que dispuso el inicio de la actuación.
Mediante comunicación radicada con el No. E-2006-0040 de 2006, la empresa remitió a la CREG copia de la publicación, en el diario “El Informador” y “El Meridiano”, de la solicitud de revisión tarifaria, en los términos dispuestos por la CREG.
Mediante auto del 16 de enero de 2006, se dispuso la realización de una nueva publicación de la solicitud tarifaria, considerando que los periódicos en los cuales fue publicada inicialmente, no tienen cubrimiento en todo el mercado atendido por la empresa.
A través de la comunicación radicada con el No. E-2006-0525 del 18 de enero de 2006, la empresa remitió a la CREG copia de la publicación en el diario “Portafolio” de la solicitud de revisión tarifaria, en los términos dispuestos por la CREG.
4.2. Pruebas decretadas y evacuadas.
La empresa solicitó tener como prueba de los hechos afirmados en su solicitud, el documento “Revisión del Costo Base de Comercialización de ENERGIASOCIAL DE LA COSTA S.A. E.S.P. por insuficiencia financiera”, presentado con la comunicación radicada con el No. E-2005-5801 del 5 de Agosto de 2005.
La Dirección Ejecutiva, mediante auto notificado el 28 de febrero de 2006, dispuso lo siguiente:
1. Tener como prueba debidamente aportada el documento “Revisión del costo base de comercialización de Energía Social de la Costa S.A. E.S.P. por insuficiencia financiera”, correspondiente a la Rad. CREG E-2005-5801, cuyo valor probatorio será determinado en la decisión final.
2. Solicitar a la empresa la siguiente información, para que obren como pruebas en esta actuación:
a) Certificaciones expedidas por cada Alcalde Municipal o Distrital en las que conste que los barrios (431 a Octubre de 2005) Acorde con la información suministrada por la empresa en Rad. CREG E-2005-5801. donde se encuentran ubicados los usuarios del servicio público domiciliario de energía eléctrica, que son atendidos por ENERGIASOCIAL, tienen la calidad de Barrios Subnormales de acuerdo con las normas jurídicas vigentes.
b) Copia de los acuerdos celebrados entre ENERGÍASOCIAL y cada uno de los Suscriptores Comunitarios. (Cuatrocientos diecinueve -419, según la solicitud presentada).
c) La siguiente información para cada uno de los meses de los años 2004 y 2005, presentada con el detalle señalado en este cuadro, y para cada uno de los municipios donde la empresa presta el servicio:
| Municipio | Barrio Subnormal | No. de totalizadores por barrio | No. de familias por totalizador. | Consumo por totalizador | Facturación por totalizador |
d) Los Estados Financieros al cierre de los ejercicios de 2004 y 2005 certificados (junto con todos sus anexos y notas aclaratorias) y con el detalle de cuentas a seis dígitos.
e) Los informes anuales a la Asamblea Nacional de Accionistas.
f) Los términos y detalles de la transferencia o compra de cartera de ELECTROCOSTA Y ELECTRICARIBE.
g) Los contratos, acuerdos y demás convenios de prestación de Servicios de Apoyo y Servicios Comerciales realizados con ELECTRICARIBE y ELECTROCOSTA.
h) Los contratos de los “Trabajos Contratados” de operación y mantenimiento, de acuerdo con lo señalado en la solicitud de revisión tarifaria y sus anexos. (Página 13, documento Rad. CREG E-2005-5801).
La empresa, mediante comunicación radicada con el No. E-2006-2004 del 15 de marzo de 2006, dio respuesta a la solicitud de información efectuada en el referido auto de pruebas del 28 de febrero de 2006.
Luego de analizar la información remitida por la empresa, a través del auto de junio 20 de 2006, se le solicitó completar la siguiente información:
· Balance del año 2005, con el mismo nivel de detalle del año 2004.
· Informes del Representante Legal a las Asambleas del 2004 y 2005.
· Certificaciones sobre la calidad de barrios subnormales que hacen parte de los acuerdos de cesión de cartera, pero que no fueron entregadas por la empresa. (Los pertenecientes a los municipios de Luruaco, Campo de la Cruz, Suan, Santo Tomás, Santa Lucía, Repelón, Manatí, entre otros.)
· Los Acuerdos de Prestación del Servicio de Energía de los barrios que no están en los 431 reportados, pero que hacen parte de los acuerdos de cesión de cartera.
· Las cifras definitivas de puesta al cobro, facturación, aportes del FRRS, FOES mensuales y recaudos, puesto que las cifras de facturación suministradas en respuesta al auto de pruebas no coinciden con lo reportado ni con la información del Ministerio de Minas y Energía acerca de los giros efectuados por el FSSRI y el FOES.
· Copia de una factura comunitaria y de una factura individual para una familia.
Se citó al Representante legal de la compañía a una audiencia el día 24 de julio de 2006, con el objeto de efectuar aclaraciones a la información suministrada.
La empresa, mediante comunicación radicada con el No. E-2006-5006 del 6 de julio de 2006, envió a la Comisión parte de la información solicitada, y solicitó un plazo adicional de diez días hábiles para completarla.
Mediante auto de julio 28 de 2006, se prorrogó el plazo para la entrega de la totalidad de la información solicitada y se fijó, por solicitud de la empresa, el día 11 de agosto de 2006 para la realización de la audiencia.
Mediante comunicación radicada con el No. E-2006-5496 del 28 de julio de 2006, la empresa entregó toda la información solicitada por auto del 20 de junio de 2006.
La audiencia ordenada mediante auto del 20 de junio de 2006, se realizó el día 11 de agosto de 2006, como consta en el acta de la diligencia, radicada con el No. E-2006-5786.
5. ANÁLISIS DE LA SOLICITUD
5.1 Análisis de los indicadores financieros y de gestión.
a) Recaudo
De los análisis de los índices de recaudo demostrados por la empresa, se concluye lo siguiente:
· En promedio, el 50% de la facturación del servicio se recupera a través de subsidios otorgados con recursos que provienen del Fondo de Solidaridad para Subsidios y Redistribución del Ingreso del Ministerio de Minas y Energía.
· La empresa cobra al usuario aproximadamente el 50% restante de la factura, del cual el índice de recaudo para el 2004 fue del 16%, y en el 2005 alcanzó el 19%. Esto quiere decir que, para este último año, los usuarios pagaron a la empresa aproximadamente el 10% del total de la facturación.
· Los recursos provenientes del Fondo para la Energía Social (FOES) se aplican a la cartera, a través de los cuales la empresa recupera aproximadamente el 18% del total de la facturación del servicio.
En síntesis, de la facturación emitida por la empresa por la prestación del servicio, recauda el 50% a través de dineros correspondientes a subsidios con recursos provenientes del FSSRI, el 18% con recursos provenientes del FOES y el 10% con los pagos que efectúan los usuarios. Lo cual significa que solamente recupera el 78% de los valores facturados por la prestación del servicio a los usuarios de barrios subnormales.
b) Cartera
La cartera vencida que enfrenta la empresa, a junio de 2005, es de $44,597 millones, de los cuales la mayor parte consiste en las deudas que tenían los usuarios con ELECTROCOSTA y ELECTRICARIBE por la prestación del servicio, y la otra parte corresponde a valores facturados en los años 2004 y 2005 y no pagados por los usuarios. Según la empresa, la posibilidad de recuperación de esta cartera a partir del recaudo de los usuarios, es casi inexistente, por lo que optó por realizar las provisiones correspondientes en los estados de resultados.
c) Estados Financieros
Del análisis de los estados financieros, se puede establecer:
· La empresa presentó pérdidas de $10,825 millones y $11,074 millones, en los años 2004 y 2005, respectivamente.
· En los mismos años la pérdida operacional de la empresa fue de $ 9,547 millones y $ 10,192 millones, respectivamente
· La provisión de cartera (provisión para deudas de dudoso recaudo) fue de $ 8,923 millones en el año 2004 y de $ 11,339 millones en el año 2005
· Las pérdidas operacionales, como porcentaje de los Ingresos Operacionales de la compañía, fueron del 24.2% en el año 2004 y del 15.2% en el año 2005
De estas cifras puede concluirse que la pérdida operacional de la empresa está íntimamente asociada con la provisión de cartera que efectúa cada año, es decir que la empresa alcanzaría el equilibrio operacional si las provisiones para deudas de dudoso recaudo no fueran tan altas como porcentaje de la facturación total. Para el año 2005 el valor de las pérdidas operacionales como porcentaje de los ingresos operacionales (15.2%) es inferior al porcentaje de la facturación que queda pendiente de recaudo después de descontar los recaudos por FSSRI (50%), por FOES (18%) y por los usuarios (10%), el cual equivale por tanto aproximadamente al 22% de la factura.
Es de notar que en la determinación de las provisiones de cartera, la empresa no considera el número de días vencida de dicha cartera, por las razones ya expuestas de imposibilidad de cobro, por la calidad de los usuarios que atiende.
d) Costos Operativos.
De los estados financieros del año 2004, se puede determinar que los gastos operativos de la empresa fueron del orden de los $3,893 millones, los cuales coinciden con los gastos ocasionados por la ejecución de los contratos suscritos por la empresa para la provisión de actividades del servicio en el mismo año, y que aportó a esta actuación.
Respecto al año 2005, de los estados financieros se establece que los gastos operativos de la empresa fueron de $1,500 millones y de la información que aportó la empresa de sus contratos suscritos para la provisión de actividades del servicio en el mismo año, los gastos operativos son de $4,542 millones.
Es decir, los costos operativos cuyo reconocimiento solicitó la empresa como base de un nuevo Cargo Base de Comercialización, $6,714 millones, no se reflejan en los Estados Financieros reportados, ni en la información proveniente de los contratos aportados por la empresa en cumplimiento de lo ordenado mediante el auto de 28 de febrero de 2006, tal y como se muestra en el Cuadro 5.
Cuadro 5 Análisis de Costos Operativos
| Rubro | Año 2004 | Año 2005 |
 | E. Financieros | Análisis CREGE. FinancierosAnálisis CREG |
| Gastos de personal activo | 589,211,000 | 1,115,278,000 |
| Suministros y Servicios | 9,999,000 | 9,999,0009,269,0009,269,000. |
| Arrendamientos | 49,330,000 | 49,330,00023,694,00023,694,000 |
| Seguros | 3,295,000 | 3,295,0009,906,0009,906,000 |
| Gastos de viaje | 17,185,000 | 17,185,00021,848,00021,848,000 |
| Diversos | 102,030,000 | 8,855,000 |
| Eficiencia Operativa |  | 3,000,000 |
| Tributos | 745,297,000 | 745,297,000202,607,000202,607,000 |
| Depreciaciones |  | 20,241,000 |
| Facturación y Recaudo | | |
| Comisiones Recaudo |  | 443,131,257831,913,219 |
| Servicios ECO-ECA | 2,467,082,000 | 2,711,366,169107,636,0003,442,921,769 |
| Total Gastos Operativos | 3,983,429,000 | 3,982,603,4261,519,334,0004,542,158,988 |
| Provisión de cartera | 8,922,700,000 | 11,339,390,000 |
| Total | 12,906,129,000 | 12,858,724,000 |
Fuente: ENERGIA SOCIAL DE LA COSTA. RAD. E-2006-5006, E-2006-2004 y Análisis CREG.
e) Senda de recaudo de la facturación.
De la senda de recaudo propuesta por la empresa, es necesario resaltar que el porcentaje de facturación a las familias, acorde con las cifras entregadas por la empresa para el año 2004 y 2005 es del 50% y no del 32%. Por consiguiente, considerando que el porcentaje de recaudo sobre el puesto al cobro fue para el año 2005 del 19%, tal y como se ve en el Cuadro 1, esto significa que el recaudo total para el año 2005 se incrementa del 74%, mostrado en el cuadro 11 del documento presentado por la empresa, al 79%.
f) Costo Base de Comercialización y Cálculo del Cargo de Comercialización.
La solicitud de la empresa pretende que el cargo base de comercialización Co, para el mercado conformado por los barrios subnormales que atiende, se determine teniendo en cuenta los siguientes aspectos:
· Que para establecer el Costo Base de Comercialización eficiente Co, no se adopte la metodología de punto extremo: "Análisis Envolvente de Datos", para evaluar la eficiencia relativa de los gastos de la empresa.
· Que se incorpore además de los Costos de Comercialización, unos costos por riesgo de cartera que se calcularían como el promedio aritmético de los valores no recaudados por no pago por parte de los usuarios, calculados con base en una senda de recaudo proyectada por la empresa.
· Una vez calculado el Cargo Base de Comercialización Co, aplicar la fórmula del C, tal como está prevista en la Resolución CREG 031 de 1997.
g) Conclusiones
Según la información allegada a este proceso, no es posible concluir que existan razones que ameriten la revisión y cálculo de un Costo Base de Comercialización distinto para los usuarios atendidos por ENERGÍASOCIAL.
Sin embargo, está establecido que por la prestación del servicio que suministra a los usuarios de los Barrios Subnormales que atiende, la empresa enfrenta un riesgo de cartera que incide en sus costos de prestación del servicio. Por tal razón, se analizará a continuación la viabilidad de introducir ajustes en la regulación, para permitir la remuneración de los costos asociados al riesgo de cartera que enfrenta esta empresa.
5.2 Análisis de la normatividad aplicable
El artículo 64 de la ley 812 de 2003 previó la existencia de esquemas diferenciales de prestación del servicio en comercialización, calidad, continuidad y atención del servicio entre otras zonas, en los barrios subnormales, en los cuales se puede desarrollar esquemas de medición y facturación comunitaria, utilizar proyecciones de consumos para facturación, esquemas de pagos anticipados del servicio, y períodos flexibles de facturación.
Mediante el Decreto 3735 de 2003, el Gobierno Nacional definió las características que debe reunir un asentamiento humano para ser calificado como Barrio Subnormal; dispuso que los Alcaldes Municipales, conforme con la Ley 388 de 1997, deben clasificar y certificar la existencia de los Barrios Subnormales, y definió los esquemas diferenciales de prestación del servicio que se pueden aplicar en estos asentamientos.
Igualmente, dispuso el citado Decreto 3735 de 2003, que los esquemas diferenciales de prestación del servicio “son temporales, de manera que la aplicación de todos y cada uno de ellos depende de que cada Zona Especial mantenga las condiciones que la llevaron a ser catalogada como tal”. (Se destaca).
De acuerdo con el artículo 32 de este mismo Decreto, la Comisión de Regulación de Energía y Gas “realizará los cambios que se requieran en la regulación con el objeto de reflejar las variaciones que se presenten en el componente "C" de la tarifa, para cualquiera de los esquemas diferenciales de prestación del servicio..F.” (Se destaca).
Según la información allegada en esta actuación administrativa, se concluye que el mercado de comercialización atendido por ENERGÍA SOCIAL DE LA COSTA S.A. E.S.P., está conformado exclusivamente por usuarios ubicados en barrios, que conforme a las certificaciones emitidas por los respectivos Alcaldes Municipales, se encuentran clasificados como Barrios Subnormales.
Igualmente, según se estableció en esta actuación, para la prestación del servicio a los usuarios ubicados en los Barrios Subnormales reportados, ENERGÍA SOCIAL DE LA COSTA S.A. E.S.P. adoptó y está aplicando un esquema diferencial de prestación del servicio, conforme a lo establecido por la Ley 812 de 2003 y el Decreto 3735 del mismo año.
Por otro lado, para el cobro del servicio a estos usuarios, ENERGÍASOCIAL utiliza el Costo Base de Comercialización correspondiente a los mercados de comercialización en los que prestan el servicio las sociedades ELECTROCOSTA y ELECTRICARIBE, previsto en la Resolución CREG-007 de 1999, y la fórmula establecida en la Resolución CREG-031 de 1997.
Igualmente, como se analizó en el acápite anterior, está establecido que en los Barrios Subnormales atendidos por ENERGÍASOCIAL, esta sociedad adoptó un esquema de recaudo de cartera previsto por el Decreto 3735 de 2003, consistente en un “gestor comunitario”, y que pese a la gestión adelantada a través de este esquema, no puede recuperar todos los costos económicos de prestación del servicio.
Según las pruebas allegadas se evidencia que en la prestación del servicio a los usuarios de los Barrios Subnormales, ENERGIASOCIAL enfrenta un riesgo de cartera que es particular de las empresas que atienden este tipo de mercados. En aplicación del principio de suficiencia financiera definido en las leyes 142 y 143 de 1994, y en cumplimiento del Decreto 3735 de 2003, se considera necesario adoptar los ajustes necesarios para incorporar en el componente C, de la fórmula tarifaria de ENERGÍASOCIAL, los costos económicos correspondientes a los niveles de recaudo de cartera correspondientes a la zona especial que atiende, conforme a la metodología que se explica en el acápite siguiente.
5.3 Incorporación del riesgo de cartera a la fórmula actual de cargo de comercialización. (Componente C).
Considerando lo expuesto anteriormente, el Costo de Prestación del Servicio aplicable para los usuarios de los Barrios Subnormales que atiende ENERGÍASOCIAL se calculará con la fórmula tarifaria y el Costo Base de Comercialización vigentes. Sin embargo, para el cálculo del Cargo de Comercialización aplicable por esta empresa en el conjunto de Barrios
Subnormales que atiende mediante un esquema diferencial de prestación del servicio, se incluirá un factor que refleje en la fórmula actual del componente C el riesgo de cartera determinado para esta zona, que permita mantener el cálculo del costo base de comercialización, con los costos asociados actualmente a éste.
El objetivo es reflejar en la fórmula actual de cargo de comercialización el efecto económico de la pérdida de energía por imposibilidad de recaudo, debido a condiciones exógenas a la gestión de la empresa, como posible falta de recursos de los usuarios, y las demás citadas por la empresa en su solicitud.
Dado que se trata de un esquema diferencial de prestación del servicio, el cual es temporal, según lo establecido en el Decreto 3735 de 2003, la aplicación de este factor se hará hasta que se establezcan las nuevas fórmulas de cálculo del cargo de comercialización, a partir de las cuales, si dichos esquemas continúan vigentes, se remunerará el costo de comercialización con las fórmulas que se establezcan para ellos.
Acorde con estudios contratados por la CREG Incorporación del riesgo de cartera a la fórmula de costos de las empresas comercializadoras de energía eléctrica. Rafael Bautista Mena., el concepto de riesgo de cartera es equivalente al riesgo de que el consumo facturado medio (CFM) sea inferior al que se esperaría si los recaudos fuesen perfectos. El no pago es equivalente a energía entregada que se pierde, cuya pérdida viene ponderada por su equivalente en dinero que se deja de recaudar.
Aplicando este criterio, si K es el costo total fijo incurrido con el objeto de entregar una cantidad Q de Kwh., el costo unitario de comercialización es el cociente simple de estas dos variables:
(1) Costo por Kwh. entregado.
Pero el costo unitario no es simplemente el costo por cada Kwh. entregado, sino que desde el punto de vista de las finanzas de la empresa, el costo unitario correcto corresponde al costo por Kwh. remunerado. Si la demanda del mercado atendido por la empresa sólo paga la mitad del consumo, el costo unitario por Kwh. remunerado sería el siguiente:
(2) Costo por Kwh. remunerado.
Entonces, en virtud del principio de suficiencia financiera, y considerando la fórmula actual de cálculo del cargo de comercialización, se debe aplicar un factor al CFM que permita recuperar los costos correspondientes al riesgo de cartera, acorde con el escenario actual y posible de recaudo en el futuro y considerando mejoras en la gestión de los Gestores Comunitarios.
Por tanto, si la fórmula actual es:
(3)
Para el caso concreto de la fórmula del componente C que aplica ENERGIA SOCIAL DE LA COSTA S.A. E.S.P., en el conjunto de los Barrios Subnormales que atiende, se adicionará un factor de recaudo que será determinado, por año, por la CREG, hasta tanto se determine la nueva metodología de cálculo del cargo de comercialización, y mientras se mantenga el esquema diferencial de prestación del servicio, según lo establecido en el Decreto 3735 de 2003, acorde con la siguiente fórmula:
(4).
donde:
C*m,t Costo de Comercialización del mes m del año t, expresado en $/Kwh.
C0 Costo Base de Comercialización expresado en $/Factura
CFM t-1 Consumo Facturado Medio de cada empresa en el año t-1 a los usuarios conectados al sistema de distribución donde es aplicable el cargo.
Variación acumulada en el Índice de Productividad del Sector Eléctrico, desde la vigencia de la fórmula tarifaria específica de cada empresa.
IPC m-1 Índice de Precios al Consumidor del mes m-1.
IPC0 Indice de Precios al Consumidor del mes al que está referenciado el C0.
FRCt Factor de Riesgo de Cartera aplicable para el año t que se determinará acorde con lo establecido en el numeral siguiente.
5.4 Criterio de determinación del factor de riesgo de cartera –FRC para la empresa ENERGÍA SOCIAL DE LA COSTA S.A ESP.
El criterio de determinación del FRC es garantizar que los ingresos recibidos por la empresa con la introducción del FRC a la fórmula, sean equivalentes mínimo al 95% de los ingresos proyectados con el CFM real y que por tanto la empresa asuma el riesgo de cartera de máximo el 5% de sus ingresos por facturación, sujeto al cumplimiento de una meta de recaudo proyectada, solicitada por la empresa y aprobada por la CREG.
El factor de riesgo de cartera – FRC aplicable a la empresa ENERGÍA SOCIAL DE LA COSTA S.A. E.S.P., será calculado por la CREG, cada año, hasta que se determine la nueva metodología general de cálculo del cargo de comercialización aplicando la siguiente metodología:
1. Se calculan los ingresos anuales de la empresa, equivalentes a la aplicación de los cargos vigentes de cada actividad del mes de enero del año t, afectados por un factor de 0.95.
(5)
Donde C es el cargo de comercialización del mes de enero del año t, calculado acorde con la Resolución CREG 031 de 1997:
(6)
2. Considerando la senda de recaudo proveniente de la gestión de los gestores comunitarios, propuesta por la empresa en su solicitud, (Cuadro 6) sumada a los recursos provenientes del FSRRI y FOES, se inicia un proceso iterativo de aproximaciones sucesivas con dos variables, el FRC y la Meta de Recaudo Proyectada, que se termina al lograr la siguiente igualdad:
(7)
Donde,
(8)
y MRPt = Recaudo (Usuarios + FSSRI + FOES)t,
El proceso iterativo se causa porque al iniciar el cálculo de la ecuación No 7, la Meta de Recaudo Proyectada es la propuesta de senda de recaudo de la empresa más el porcentaje de recaudo inicial del FSSRI y del FOES, pero al calcular el nuevo cargo C* con un FRC, cambia el valor de los recaudos proyectados por la aplicación del Art. 116 de la Ley 812/03 Como consecuencia de la aplicación de este artículo, el FSSRI asume un mayor porcentaje del recaudo, por consiguiente la totalidad del recaudo se incrementa.
Este proceso será aplicable hasta la vigencia de este artículo o aquel que lo modifique o sustituya. En caso de que esta norma sea derogada o pierda vigencia, la meta de recaudo proyectada será la propuesta por la empresa., lo que obliga a ajustar de nuevo la meta de recaudo proyectada y el FRC, hasta cumplir la meta de que los recaudos faltantes sean un 5% de la facturación calculada con el cargo original.
Cuadro 6
 | 2005 | 2006 | 2007 | 2008 | 2009 | 2010 |
Recaudo sobre el puesto al cobro | 20% | 29% | 38% | 47% | 50% | 50% |
Fuente: ENERGÍA SOCIAL DE LA COSTA
Que la Comisión de Regulación de Energía y Gas, en su sesión 312 de diciembre 5 de 2006, aprobó las disposiciones contenidas en la presente Resolución;
R E S U E L V E :
ARTÍCULO 1o. Ajuste de la fórmula del Cargo de Comercialización (componente C) aplicable para el conjunto de los Barrios Subnormales atendidos por ENERGÍA SOCIAL DE LA COSTA S.A. E.S.P. En cumplimiento del decreto 3735 de 2003, artículo 32, para el conjunto de los Barrios Subnormales atendidos por ENERGÍA SOCIAL DE LA COSTA S.A. E.S.P., se aplicará el Cargo de Comercialización que resulte de aplicar la fórmula establecida en la Resolución CREG 031 de 1997, afectada por un Factor de Riesgo de Cartera (FRC), así:
(9)
ARTÍCULO 2. Factor de Riesgo de Cartera. A partir de la vigencia de la presente Resolución, el factor de riesgo de cartera –FRC, que se aplicará en el conjunto de los Barrios Subnormales atendidos por ENERGIA SOCIAL DE LA COSTA S.A. E.S.P, será establecido, por año, por la Comisión de Regulación de Energía y Gas, aplicando la siguiente expresión:
(10)
Donde,
(11)
y
MRPt= Recaudo (Usuarios + FSSRI + FOES) en el año t, donde el recaudo de los usuarios es el propuesto por la empresa y aprobado por la CREG.
C*m,t Costo de Comercialización del mes de enero del año t, expresado en $/kWh aplicable para el conjunto de los Barrios Subnormales atendidos por ENERGIA SOCIAL DE LA COSTA S.A. E.S.P..
Gm,t Costos de compra de energía ($/kWh) para el conjunto de los Barrios Subnormales atendidos por ENERGIA SOCIAL DE LA COSTA S.A. E.S.P.del mes de enero del año t.
Tm,t Costo promedio por uso del STN ($/kWh) para el conjunto de los Barrios Subnormales atendidos por ENERGIA SOCIAL DE LA COSTA S.A. E.S.P.correspondiente al mes de enero del año t.
Dm,t Costo de distribución ($/kWh) correspondiente al nivel de tensión del conjunto de los Barrios Subnormales atendidos por ENERGIA SOCIAL DE LA COSTA S.A. E.S.P., para el mes de enero del año t.
Om,t Costos adicionales del mercado mayorista ($/kWh), correspondiente al mes de enero del año t.
Cm,t Costo de Comercialización del mes de enero del año t, expresado en $/kWh
Co Costo Base de Comercialización expresado en $/Factura
CFMt-1 Consumo Facturado Medio en el año t-1 a los usuarios conectados al sistema de distribución donde es aplicable el cargo. (Total kWh vendidos a usuarios regulados y no regulados dividido entre el total de facturas expedidas, sin considerar las debidas a errores de facturación)
Variación acumulada en el Índice de Productividad del Sector Eléctrico, desde la vigencia de la fórmula tarifaria específica de cada empresa. Para el primer periodo de regulación, esta variación se asumirá como del 1% anual.
Parágrafo 1: El cálculo del FRC se hará por un proceso iterativo de aproximaciones sucesivas. Este proceso se causa porque al iniciar el cálculo de la ecuación No 10, la Meta de Recaudo Proyectada es la propuesta por la empresa, pero al calcular el nuevo cargo C* con un FRC (ecuación11), cambia el valor de los recaudos proyectados por la aplicación del Art. 116 de la Ley 812/03 Como consecuencia de la aplicación de este artículo, el FSSRI asume un mayor porcentaje del recaudo, por consiguiente la totalidad del recaudo se incrementa.
Este proceso será aplicable hasta la vigencia de este artículo o aquel que lo modifique o sustituya. En caso de que esta norma sea derogada o pierda vigencia, la meta de recaudo proyectada será la propuesta por la empresa., lo que obliga a ajustar de nuevo la meta de recaudo proyectada y el FRC, hasta cumplir la meta de que los recaudos esperados sean equivalentes al 95% de la facturación original, es decir los resultantes de aplicar la fórmula sin afectar el CFM con el FRC.
Parágrafo 2. Para el cálculo del FRC vigente para el año t, la empresa deberá entregar a la CREG la información necesaria para su cálculo a más tardar el 10 de enero del año t En caso de no tener los cargos definitivos a esa fecha, la empresa debe enviar los provisionales.
ARTÍCULO 3. Vigencia de la Fórmula Tarifaria. La fórmula, incluido el Factor de Riesgo de Cartera que se establecen en esta Resolución, regirán a partir de la fecha en que la presente Resolución quede en firme y durante el término de vigencia de las fórmulas tarifarias definidas en la Resolución CREG-031 de 1997, siempre y cuando se mantenga vigente el esquema diferencial de prestación del servicio adoptado por la empresa con fundamento en la Ley 812 de 2003 y el decreto 3735 de 2003. Una vez perdida la vigencia de dicho esquema, esta resolución quedará sin efecto.
Artículo 4. Negar las demás peticiones contenidas en la solicitud de ENERGÍA SOCIAL DE LA COSTA S.A E.S.P que dio origen a esta actuación administrativa.
Artículo 5o. La presente resolución deberá notificarse a la Empresa ENERGÍA SOCIAL DE LA COSTA S.A. E.S.P. y publicarse en el Diario Oficial. Contra las disposiciones contenidas en esta Resolución procede el recurso de Reposición, el cual podrá interponerse ante la Dirección Ejecutiva de la CREG dentro de los cinco días siguientes a su notificación.
Dado en Bogotá D.C., a los 05 DIC. 2006
NOTIFÍQUESE, PUBLÍQUESE Y CÚMPLASE,
 |  |
MANUEL MAIGUASHCA OLANO | CAMILO QUINTERO MONTAÑO |
ViceMinistro de Minas y Energía | Director Ejecutivo |
Presidente |  |
|
Doble click sobre el archivo anexo para bajarlo(Resoluciones CREG) |
Doble click sobre el archivo anexo para bajarlo(Documento CREG) |
|