| Publicación Diario Oficial No.: | , el día: |
| Publicada en la WEB CREG el: | |
| Resolución No. 009
Febrero 20 de 2001
Por la cual se establecen los Ingresos Regulados por concepto de los servicios prestados por el CND, el ASIC y el LAC.
Notas de Vigencia: 1. Derogada por el artículo 7 de la Resolución 157 de 2001, publicada en el Diario Oficial No. 44.662, de 30 de diciembre de 2001, "Por la cual se establecen los Ingresos Regulados por concepto de los servicios prestados por el CND, el ASIC y el LAC para el año 2002". |
Derogada por Resolución CREG 157-01 artículo 7
Deroga : Resolución CREG 103-96
Resolución CREG 104-96
Resolución CREG 093-99
Resolución CREG 113-00
Sobre el Mismo Tema Ver : Resolución 083-02
LA COMISIÓN DE REGULACIÓN DE ENERGÍA Y GAS
en ejercicio de sus atribuciones legales, en especial las conferidas por las Leyes 142 y 143 de 1994, y en desarrollo de los dDecretos 1524 y 2253 de 1994 y,
C O N S I D E R A N D O:
Que de acuerdo con lo dispuesto en los literales c y d del Artículo 23 de la Ley 143 de 1994, es función de la CREG definir y aprobar los cargos por los servicios de despacho y coordinación prestados por el Centro Nacional de Despacho;
Que de acuerdo con el Artículo 30 de la Resolución CREG-024 de 1995, en concordancia con los Artículos 23, literal c, y 32 de la Ley 143 de 1994 y 167 y 171 de la Ley 142 de 1994, la Comisión debe establecer los costos de funcionamiento del Administrador del SIC;
Que en el numeral 4.5 del Anexo No. 1 de la Resolución CREG-012 de 1995, se establecieron los costos de sostenimiento de la actividad de liquidación y administración de las cuentas por Uso del Sistema de Transmisión Nacional;
Que mediante Decreto 1171 de Junio 29 de 1999, el Gobierno Nacional, en ejercicio de las facultades que le confiere el Artículo 167, Parágrafo 1o. de la Ley 142 de 1994, ordenó la creación de la Empresa de Servicios Públicos en los términos previstos en dicha Ley y encomendó al Ministerio de Minas y Energía la expedición de los actos y la celebración de los acuerdos, convenios y actos que resulten necesarios para la creación y constitución de dicha empresa;
Que en el Articulo 2o. del Decreto 1171 de Junio 29 de 1999 se establece que “Las funciones atribuidas al Centro Nacional de Despacho por las Leyes 142 y 143 de 1994 y demás normas aplicables, continuarán siendo ejercidas por una dependencia interna de Interconexión Eléctrica S.A. E.S.P. hasta tanto la nueva empresa pueda ejercerlas”;
Que la Resolución CREG-093 de 1999 fijó los ingresos por concepto de los servicios prestados por el CND, el ASIC y el LAC, aplicables durante el año 2000;
Que la Resolución CREG-113 de 2000, prorrogó por dos (2) meses la vigencia de los ingresos fijados en la Resolución CREG-093 de 1999;
Que es necesario establecer los ingresos regulados por concepto de los servicios prestados por el CND, el ASIC y el LAC vigentes a partir del 1o. de marzo del año 2001;
Que para el efecto, se ha tenido en cuenta la estructura, organización y los supuestos generales propuestos para la operación de la nueva empresa creada por el Decreto 1171 de 1999;
Que la Comisión de Regulación de Energía y Gas en su sesión No. 144 llevada a cabo del día 20 de febrero de 2001, aprobó las decisiones que aquí se adoptan;
R E S U E L V E:
ARTÍCULO 1o. Definiciones. Para efectos de la presente Resolución, se tendrán en cuenta las siguientes definiciones:
Activos de Uso del STN: Activos de transmisión de electricidad del Sistema de Transmisión Nacional, de uso común y remunerados mediante Cargos por Uso del STN.
ASIC: Administrador del Sistema de Intercambios Comerciales
CND: Centro Nacional de Despacho. Dependencia encargada de la planeación, supervisión y control de la operación integrada de los recursos de generación, interconexión y transmisión del Sistema Interconectado Nacional.
GMF: Gravamen a los Movimientos Financieros. Impuesto sobre transacciones financieras definido en el Artículo 1o. de la Ley 633 de 2001, o en las demás normas que lo modifiquen o sustituyan.
LAC: Liquidador y Administrador de Cuentas de los Cargos por Uso del Sistema de Transmisión Nacional.
SIC: Sistema de Intercambios Comerciales. Conjunto de reglas y procedimientos establecidos en el Reglamento de Operación que permiten definir las obligaciones y acreencias de generadores, comercializadores y los transportadores por concepto de los actos o contratos de energía en la bolsa conforme al despacho central.
SIN: Sistema Interconectado Nacional.
STN: Sistema de Transmisión Nacional. Es el Sistema Interconectado de Transmisión de Energía Eléctrica compuesto por el conjunto de líneas, con sus correspondientes módulos de conexión, que operan a tensiones iguales o superiores a 220 kV.
Transporte de Energía Eléctrica en el STN: Servicio de transmisión de energía que se presta a través de los Activos de Uso del STN.
ARTÍCULO 2o. Ingresos Regulados. A partir del 1o. de marzo y para el año 2001, se establecen los siguientes Ingresos Regulados mensuales por concepto de los servicios prestados por el CND, el ASIC y el LAC en millones de pesos.
Ingreso del mes t por costos operativos del CND: : $1,485.9
Ingreso del mes t por costos de inversión y proyectos del CND: $ 264.2 x (IPPt/IPPo )
Ingreso del mes t por costos operativos del ASIC: : $ 571.5
Ingreso del mes t por costos de inversión y proyectos del ASIC: $ 176.2 x (IPPt/IPPo )
Ingreso del mes t por costos netos del GMF del ASIC: : GMFSICt-1
Ingreso del mes t por costos operativos del LAC: : $ 228.6
Ingreso del mes t por costos netos del GMF del LAC: : GMFLACt-1
Donde:
t: : mes para el cual se va a facturar el servicio, t = 2 para marzo de 2001.
IPPt : : Indice de Precios al Productor Total Nacional del mes t.
IPPo : : Indice de Precios al Productor Total Nacional del mes de enero de 2001.
GMFSICt: : Valor en millones de $ de gastos del ASIC en el mes t por el gravamen a los movimientos financieros neto de rendimientos financieros.
GMFLACt : Valor en millones de $ de gastos del LAC en el mes t por el gravamen
a los movimientos financieros neto de rendimientos financieros.
ARTÍCULO 3o. Revisión de los Ingresos Regulados. Durante el período de vigencia de los Ingresos Regulados mensuales establecidos en el Artículo 2o. de esta Resolución, éstos se revisarán de la siguiente manera:
a) Los Ingresos Regulados por costos operativos se revisarán en el mes de diciembre de cada año de acuerdo con el presupuesto de costos de administración, operación y mantenimiento del CND, ASIC y LAC. Para este fin la empresa deberá presentar a la CREG el presupuesto de costos de administración, operación y mantenimiento aprobado por la Junta Directiva, a más tardar el 30 de noviembre del año en curso.
b) Los Ingresos Regulados por costos de inversión y proyectos se revisarán en el mes de diciembre de cada año de acuerdo con el plan de inversiones y proyectos del CND, ASIC y LAC. Para este fin la empresa deberá presentar a la CREG el plan de inversiones y proyectos aprobado por la Junta Directiva, a más tardar el 30 de noviembre del año en curso.
c) Una vez entre en funcionamiento la nueva entidad creada por el Decreto 1171 de 1999, se autoriza incluir dentro del Ingreso Regulado mensual por costos operativos los gastos correspondientes a Honorarios de la Junta Directiva. Seis meses después de entrar en operación la nueva empresa, la CREG revisará los Ingresos Regulados mensuales por los servicios de CND, ASIC y LAC.
d) La CREG podrá en cualquier momento solicitar información adicional sobre estados financieros y costos operativos, de inversión y proyectos del CND, ASIC y LAC y revisar los Ingresos Regulados que cubren dichos costos.
Parágrafo. Se autoriza que los costos correspondientes a Honorarios por Auditoria de Medidas se recuperen directamente de los agentes auditados. Los Honorarios por Auditoria de Cargo por Capacidad y los Avisos de Prensa de Limitación de Suministro se recuperan, de acuerdo con la normatividad vigente, directamente de los agentes del mercado afectados.
ARTÍCULO 4o. Cargos por los Servicios de Despacho y Coordinación prestados por el Centro Nacional de Despacho (CND). A partir del 1o. de marzo del año 2001, los generadores y comercializadores conectados al SIN pagarán al CND, mensualmente, Cargos por los Servicios de Despacho y Coordinación, de la siguiente manera:
Generadores: El 50% del Ingreso Regulado del CND, establecido en el Artículo 2o. de la presente Resolución, se distribuirá a prorrata de la capacidad instalada en kW de los generadores que se encuentren conectados al SIN el primer día de cada mes a liquidar.
Comercializadores: El 50% del Ingreso Regulado del CND, establecido en el Artículo 2o de la presente Resolución, se distribuirá a prorrata de la demanda en kWh del mes a liquidar, de los comercializadores registrados ante el SIC.
Parágrafo 1o. Pago de Obligaciones e Intereses de Mora. El Administrador del SIC deducirá las obligaciones de los agentes por concepto de los servicios prestados por el CND de los pagos que realicen las empresas. La transferencia de estos pagos al CND, se hará de acuerdo con las disposiciones que sobre la materia están contempladas en la Resolución CREG-024 de 1995.
El Administrador del SIC cobrará un interés por retardo en el cumplimiento de los pagos correspondientes, equivalente al máximo interés moratorio permitido por la Ley durante el período de retardo, e informará mensualmente a los Generadores y Comercializadores el valor que se cause por este concepto.
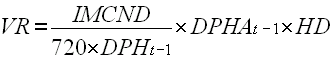
Parágrafo 2o. Operación de Áreas Aisladas. Cuando el CND realice la delegación parcial de sus funciones en terceros, debido al aislamiento de una o más áreas del SIN, que le impidan desarrollar plenamente sus funciones, deberá cancelarle al agente respectivo una suma equivalente a:

donde:
VR: Valor a Reconocer por Delegación.
IMCND: Ingreso Mensual del CND en el mes que ocurre la Delegación.
DPHt-1: Demanda Promedio Horaria del SIN del año inmediatamente anterior.
DPHAt-1: Demanda Promedio Horaria del Área Delegada del año inmediatamente anterior.
HD: Número Total de Horas Delegadas.
ARTÍCULO 5o. Cargos por los Servicios Prestados por el Administrador del Sistema de Intercambios Comerciales (ASIC). A partir del 1o. de marzo del año 2001, los generadores y comercializadores que participan en el mercado mayorista de electricidad pagarán al ASIC, mensualmente, Cargos por los Servicios de Liquidación, Facturación y Cobro de las transacciones en Bolsa de Energía, de la siguiente manera:
Generadores: El 50% del Ingreso Regulado del ASIC, establecido en el Artículo 2o. de la presente Resolución, se distribuye a prorrata de la capacidad instalada en kW de los generadores que estén participando en el mercado mayorista de electricidad el primer día de cada mes a liquidar.
Comercializadores: El 50% del Ingreso Regulado del ASIC, establecido en el Artículo 2o de la presente Resolución, se distribuye a prorrata de la demanda en kWh del mes a liquidar, de los comercializadores registrados ante el SIC.
Parágrafo. Pago de Obligaciones e Intereses de Mora. El Administrador del SIC deducirá las obligaciones de los agentes por concepto de los servicios que presta, de los pagos que realicen las empresas.
El Administrador del SIC cobrará un interés por retardo en el cumplimiento de los pagos correspondientes, equivalente al máximo interés moratorio permitido por la ley durante el período de retardo, e informará mensualmente a los Generadores y Comercializadores el valor que se cause por este concepto.
ARTÍCULO 6o. Cargos por los Servicios Prestados por el Liquidador y Administrador de Cuentas del STN (LAC). A partir del 1o. de marzo del año 2001, las empresas que prestan el Servicio de Transporte de Energía Eléctrica en el STN pagarán al LAC, mensualmente, Cargos por los Servicios de Liquidación y Administración de los ingresos de dichos agentes, iguales al Ingreso Regulado del LAC establecido en el Artículo 2o de la presente Resolución, a prorrata del Ingreso Regulado Mensual causado asignado a cada uno de los agentes.
ARTÍCULO 7o. Vigencia. La presente Resolución rige a partir de la fecha de su publicación en el Diario Oficial y deroga las disposiciones que le sean contrarias, en especial las Resoluciones CREG-103 y CREG-104 de 1996, CREG-093 de 1999 y CREG-113 de 2000.
Publicada en el Diario Oficial No.44.342 de Febrero 28 de 2001
PUBLÍQUESE Y CÚMPLASE
Dada en Bogotá, D. C., el día 20 FEB. 2001
CARLOS CABALLERO ARGÁEZ | CARMENZA CHAHÍN ÁLVAREZ |
Ministro de Minas y Energía | Director Ejecutivo |
Presidente |  |
|
Doble click sobre el archivo anexo para bajarlo(Resoluciones CREG) |
Doble click sobre el archivo anexo para bajarlo(Documento CREG) |
|