Publicación Diario Oficial No.: , el día:
Publicada en la WEB CREG el:
Resolución No. 218
(Noviembre 28 de 1997)


            Por la cual se establecen las bases sobre las cuales se modificará la Resolución CREG-001 de 1994, expedida por la Comisión de Regulación de Energía y Gas, y se modifican o dictan otras disposiciones contenidas en el Reglamento de Operación.


    LA COMISIÓN DE REGULACIÓN DE ENERGÍA Y GAS


              en ejercicio de las atribuciones legales, en especial las conferidas por las Leyes 142 y 143 de 1994, y los decretos 1524 y 2253 de 1994.


      C O N S I D E R A N D O:

      Que el Artículo 39 de la Ley 143 de 1994, establece que los cargos asociados con el acceso y uso del Sistema de Transmisión Nacional (STN) deben cubrir los costos de inversión de las redes, incluido el costo de oportunidad de capital y los costos de administración, operación y mantenimiento, en condiciones adecua-das de calidad y confiabilidad y en condiciones óptimas de gestión, teniendo en cuenta criterios de viabilidad financiera;

      Que la Resolución CREG-001 de 1994 en su Artículo 8o., establece los “Criterios Básicos de Planeamiento” de la expansión del STN;

      Que en el Artículo 16o. de la Resolución CREG-001 de 1994, se adoptó como metodología para establecer los Cargos por Uso del STN, la fijación de Ingresos Regulados-Restricciones tarifarias y recuperación de pérdidas en transmisión. , definiendo como base para su cálculo la fórmula contenida en el Anexo No. 1 de la misma Resolución;

      Que el Artículo 32o. de la Ley Eléctrica establece que el objeto social de la empresa Interconexión Eléctrica S.A., es el de atender la operación y mantenimiento de la red de su propiedad, la expansión de la red nacional de interconexión, la planeación y coordinación de la operación del sistema interconectado nacional y la prestación de servicios técnicos en activi-da-des relacionadas con su objeto social;

      Que se hace necesaria una revisión de la metodología para la definición de los Ingresos Regulados del STN, así como de otras disposiciones establecidas por la Comisión en la Resolución CREG-001 de 1994 y relacionadas con los Criterios de Planeamiento de la Expansión del STN;

      R E S U E L V E:



      Artículo 1o. Definiciones. Para efectos de la presente Resolución, se tendrán en cuenta las siguientes definiciones:

      Costo Unitario por Unidad Constructiva (CU). Valor unitario en el mercado de una Unidad Constructiva ($/Unidad Constructiva).

      Distribuidor Local (DL). Persona natural o jurídica que opera y transporta energía eléctrica en un Sistema de Distribución Local, o que ha constituido una empresa en cuyo objeto está el desarrollo de dichas actividades.

      Sistema de Transmisión Nacional (STN). Es el sistema interconectado de transmisión de energía eléctrica compuesto por el conjunto de líneas, con sus correspondientes módulos de conexión, que operan a tensiones iguales o superiores a 220 kV.

      Sistema de Transmisión Regional (STR). Sistema interconectado de transmisión de energía eléctrica compuesto por redes regionales o interregionales de transmisión; conformado por el conjunto de líneas y subestaciones con sus equipos asociados, que operan a tensiones menores de 220 kV y que no pertenecen a un sistema de distribución local.

      Sistema de Distribución Local (SDL). Sistema de transmisión de energía eléctrica compuesto por redes de distribución municipales o distritales; conformado por el conjunto de líneas y subestaciones, con sus equipos asociados, que operan a tensiones menores de 220 kV que no pertenecen a un sistema de transmisión regional por estar dedicadas al servicio de un sistema de distribución municipal, distrital o local.

      Sistema Interconectado Nacional (SIN). Es el sistema compuesto por los siguientes elementos conectados entre si: las plantas y equipos de generación, la red de intercone-xión, las redes regionales e interregionales de transmisión, las redes de distribución, y las cargas eléctricas de los usuarios.

      Transmisor Nacional (TN). Persona natural o jurídica que opera y transporta energía eléctrica en el Sistema de Transmisión Nacional o que ha constituido una empresa cuyo objeto es el desarrollo de dichas actividades.

      Transmisor Regional (TR). Persona natural o jurídica que opera y transporta energía eléctrica en un Sistema de Transmisión Regional o que ha constituido una empresa cuyo objeto es el desarrollo de dichas actividades.

      Unidad Constructiva (UC). Elementos que conforman un sistema de transporte eléctrico, constituido por Líneas (km) y Módulos típicos (Unidad).


      Artículo 2o. Ambito de Aplicación. Esta Resolución aplica a todos los agentes económicos que desarrollan la actividad de Transmisión Nacional y a aquellos que se benefician de sus servicios.

      Conforme a la Ley, la actividad de transmisión de energía eléctrica es un servicio público.


      Artículo 3o. Plan de Expansión de Referencia STN.
      El Numeral 7 del Código de Planeamiento de la Expansión del STN (Resolución CREG-025 de 1995), quedará así:
      “7. PLAN DE EXPANSIÓN DE REFERENCIA (STN)

      Con el fin de compatibilizar criterios, estrategias y metodologías para la expansión del STN, se constituirá un Comité Asesor de Planeamiento de la UPME, en el cual participarán los siguientes agentes:

      _ Tres (3) representantes de las empresas de generación. Estos se seleccionarán de mayor a menor, en orden decreciente de su Capacidad Instalada (Medida en MW a 31 de diciembre del año inmediatamente anterior).

      _ Tres (3) representantes de las empresas de comercialización. Estos se seleccionarán de mayor a menor, en orden decreciente de la Demanda abastecida (Medida en GWh a 31 de diciembre del año inmediatamente anterior).

      _ Tres (3) representantes de las empresas de transmisión. Estos se seleccionarán de mayor a menor, en orden decreciente de su porcentaje de participación en la propiedad de activos del STN (Valorados a Costo de Reposición a 31 de diciembre del año inmediatamente anterior).

      Para la preparación del Plan de Expansión de Referencia los Transmisores Nacionales, los Generadores, los Distribuidores y los Comercializadores, deberán entregar a la UPME la información de planeamiento estándar y la información de planeamiento detallada según la lista de los Apéndices I y II. Esta información se deberá entregar a más tardar en el mes de marzo de cada año y deberá cubrir un horizonte de por lo menos diez (10) años.

      Así mismo para los primeros cinco (5) años del plan de expansión, cada Transmisor Nacional, deberá preparar y remitir para la misma fecha y a la misma entidad, un informe detallado donde se indiquen las oportunidades disponibles para conectarse y usar el sistema, señalando aquellas partes de dicho sistema con mayor factibilidad técnica para nuevas conexiones y transporte de cantidades adicionales de potencia y energía.

      7.1. Plan de Expansión Preliminar (STN)
          La UPME elaborará un Plan de Expansión Preliminar, utilizando como criterios en su definición, la minimización de los costos de inversión y de los costos operativos de las plantas y/o unidades de generación del SIN y las pérdidas del STN. El Plan de Expansión en todo caso deberá cumplir con las disposiciones que en materia de confiabilidad se encuentren vigentes.
          Una vez elaborado el Plan de Expansión Preliminar, la UPME lo hará público y lo someterá a consulta del Comité Asesor de Planeamiento, a más tardar en el mes de junio de cada año. La UPME recibirá conceptos sobre el Plan de Expansión Preliminar, así como planes de expansión alternativos que sean propuestos por los agentes interesados.

      7.2. Plan de Expansión de Referencia (STN)
          Con base en las observaciones y consideraciones remitidas a la UPME antes del 15 de agosto siguiente, por parte del Comité Asesor de Planeamiento y de los terceros interesados, y tomando nuevamente como criterio la minimización de los costos de inversión y de los costos operativos del STN, la UPME definirá el Plan de Expansión de Referencia, el cual previa aprobación del Ministerio de Minas y Energía, se pondrá a disposición de los Transmisores Nacionales y de terceros interesados, a más tardar el 15 de octubre del mismo año.

      El Plan de Expansión de Referencia debe ser flexible en el mediano y largo plazo, de tal forma que se adapte a los cambios que determinen las condiciones técnicas, económicas, financieras y ambientales, cumpliendo con los requerimientos de calidad, confiabilidad y seguridad definidos en este Código de Planeamiento y en el Código de Operación. Los proyectos propuestos en este Plan deben ser técnica y económicamente factibles y la demanda deberá ser atendida cumpliendo con criterios de uso eficiente de los recursos energéticos.”


      Artículo 4o. Introducción de Elementos de Eficiencia en la Ejecución del Plan de Expansión de Referencia (STN).
      Para garantizar la ejecución del Plan de Expansión de Referencia a mínimo costo, el Ministerio de Minas y Energía o la entidad que éste delegue, elaborará los pliegos de condiciones para la ejecución de los proyectos del Plan de Expansión de Referencia, cuya construcción deba iniciarse el siguiente año al de la definición del Plan. En los pliegos de condiciones se incluirá la información básica de cada proyecto (nivel de tensión, número de circuitos, puntos de conexión, etc), así como los requisitos y condiciones que deberán cumplir los interesados para participar en la ejecución, administración, operación y mantenimiento de las obras.

      Una vez elaborados los pliegos de condiciones, el Ministerio de Minas y Energía o la entidad que éste delegue, los someterá a aprobación del Comité Asesor de Planeamiento de la UPME, quien deberá emitir concepto antes del 31 de octubre del correspondiente año. Una vez aprobados, el Ministerio de Minas y Energía o la entidad que éste delegue, abrirá una convocatoria pública con el objeto de que los Transmisores Nacionales existentes, así como los potenciales, compitan por la construcción, administración, operación y mantenimiento de los proyectos de expansión del STN.

      Los requisitos que deberán cumplir las ofertas y los criterios que deben ser tenidos en cuenta tanto para ofertar, como para efectuar la adjudicación, se describen a continuación:

      a) OFERTAS

      Los oferentes propondrán un Ingreso Anual Esperado, en pesos constantes de la fecha de oferta, para cada uno de los primeros veinticinco (25) años de entrada en operación del proyecto. Este Ingreso deberá reflejar los costos asociados con la pre-construcción y construcción (incluyendo la interventoría de la obra), el costo de oportunidad del capital invertido y los gastos de administración, operación y mantenimiento del equipo correspondiente, teniendo en cuenta las siguientes consideraciones:

      I. Las ofertas serán comparadas calculando el Valor Presente del Ingreso Anual Esperado para cada uno de los veinticinco (25) primeros años de entrada en operación del proyecto. Estimación que se realizará aplicando una tasa de descuento del 8.5% en pesos constantes.

      II. El Ingreso Anual que percibirá el adjudicatario del proyecto, durante los primeros veinticinco (25) años de su puesta en operación, será igual al Ingreso Anual Esperado propuesto por el oferente.

      III. El Ingreso Anual que percibirá el adjudicatario del proyecto, a partir del año vigesimosexto (26) de su puesta en operación, será el resultado de aplicar la siguiente fórmula genérica:




        donde:

        IA Ingreso Anual

        CAEA Costo Anual Equivalente del Activo Bruto Eléctrico valorado a Costo de Reposición (aplicando “Costos Unitarios por Unidad Constructiva”), incrementado este Activo en un porcentaje %ANE reconocido por concepto de Activo No Eléctrico.

        El Costo de Reposición del Activo Bruto Eléctrico se calcula mediante la expresión:


        UCu.c Unidad Constructiva del Activo Bruto. Incluye las Inversiones adicionales que se efectúen sobre la obra durante su vida útil, diferentes a las efectuadas por concepto del mantenimiento reconocido en el %AOM y diferentes a las Unidades Constructivas que inicialmente se están remunerando.

        CUu.c Costo Unitario de cada Unidad Constructiva

        %ANE = 5%. Corresponde al nivel de Activo No Eléctrico Reconocido.

        El Costo Anual Equivalente se obtiene de la anualización del Valor Presente del Costo de Reposición del Activo Bruto, incrementado este último en un porcentaje %ANE reconocido por concepto de Activo No Eléctrico, proyectado a veinticinco (25) años y descontado al 8.5% en pesos constantes.

        %AOM Porcentaje reconocido de gastos de Administración, Operación y Mantenimiento.

      El %AOM reconocido es el siguiente:


      1“Unidad Constructiva” en zona sin contaminación salina.
      2“Unidad Constructiva” en zona con contaminación salina.

        El Comité Asesor de Planeamiento de la UPME propondrá a la CREG antes del 30 de junio de 1998, una desagregación de los activos del STN que permita su tratamiento como “Unidades Constructivas”. Así mismo efectuará propuestas sobre los “Costos Unitarios por Unidad Constructiva” a aplicar y una metodología para la revisión de los mismos.
        Los “Costos Unitarios” finalmente aplicables, serán adoptados mediante resolución por la CREG. Estos valores serán sujetos de revisión cada cinco (5) años, a partir de su primera adopción oficial. Los “Costos Unitarios” vigentes se actualizarán anualmente con el Indice de Precios al Productor Total Nacional. (IPP).
      IV. Interconexión Eléctrica S.A. E.S.P. deberá efectuar una oferta para cada uno de los proyectos definidos en el Plan de Expansión de Referencia.

      b) ADJUDICACION

      Todos los oferentes efectuarán su propuesta en sobre cerrado, seleccionándose la oferta con el menor Valor Presente de los Ingresos Anuales Esperados durante los primeros veinticinco (25) años de operación del proyecto. Estimación que se realizará aplicando una tasa de descuento del 8.5% en pesos constantes. La adjudicación se efectuará en audiencia pública.

      Como requisito para la precalificación, los oferentes deberán adjuntar a la propuesta una póliza de cumplimiento y calidad, otorgada a favor del Ministerio de Minas y Energía o la entidad delegada por éste para tal fin.

      El procedimiento a seguir y los requisitos a cumplir, una vez se efectúe la adjudicación se describen a continuación:

      I. El oferente que se gane la convocatoria deberá constituirse en Empresa de Servicios Públicos, en el caso de que aún no lo sea (Transmisor Nacional E.S.P).

      II. En su calidad de E.S.P., el adjudicatario solicitará a la Comisión de Regulación de Energía y Gas (CREG), la expedición de una resolución que oficialice los Ingresos Anuales Esperados con los cuales se ganó la respectiva convocatoria.

      III. El Ministerio de Minas y Energía o la entidad delegada por éste, contratará servicios de interventoría durante la ejecución del proyecto, a fin de que certifique el cumplimiento de los requisitos técnicos y de los solicitados en los pliegos de la respectiva convocatoria. El costo de esta interventoría será pagado por el adjudicatario del proyecto.

      La convocatoria podrá declararse desierta si todos los oferentes no cumplen con los requisitos especificados en los pliegos, o por razones de inconveniencia. En ambos casos el Ministerio de Minas y Energía o la entidad que éste delegue deberá reiniciar el proceso de convocatoria.

      PARAGRAFO. La primera convocatoria tendrá lugar antes del 31 de diciembre de 1998.


      Artículo 5o. Ampliaciones de las Instalaciones del STN existentes.
      Los proyectos consistentes en la ampliación de las instalaciones del STN existentes, previo concepto de la UPME, serán desarrollados por los propietarios de las mismas siguiendo los procesos de convocatoria o licitación normales. En caso de que el propietario no desee desarrollar el proyecto, el Ministerio de Minas y Energía o la entidad que éste delegue, abrirá una convocatoria para su ejecución, cumpliendo con las disposiciones establecidas en el Artículo anterior.

      Parágrafo. Para el cálculo de los Ingreso Anuales correspondientes a la ampliación de las instalaciones del STN existentes, se aplicará la metodología descrita en el Numeral III. del Literal a) del Artículo 4o de la presente Resolución.


      Artículo 6o. Ingresos Regulados por concepto de Uso del STN. Para establecer -Restricciones tarifarias y recuperación de pérdidas en transmisión. los Ingresos por concepto de Uso del STN, se tendrán en cuenta las líneas y/o los equipos asociados componentes de dicho Sistema, que cumplan con los siguientes requisitos y lineamientos:

      a) Líneas y/o equipos asociados que se encuentren en operación o en etapa de construcción, a la fecha en la cual se efectúe la primera convocatoria.

      b) Líneas y/o equipos asociados, construidos con posterioridad a la fecha en la cual se haya efectuado la primera convocatoria y cuya ejecución haya tenido su origen en el Plan de Expansión de Referencia y haya sido adjudicada en desarrollo del proceso de convocatorias.

      La fórmula para calcular los Ingresos Regulados por concepto de Uso del STN, se presenta en el Anexo No 1 de la presente Resolución.

      Parágrafo. Las líneas y/o equipos asociados, que salgan de operación de manera permanente, con independencia de la vida útil que registren los mismos, dejarán de percibir remuneración. A tal efecto, la UPME mantendrá un inventario de las lineas y/o equipos activos en el STN. La UPME previamente definirá el concepto de “Elementos Activos”, concepto que deberá ser aprobado por el Comité Asesor de Planeamiento de esta entidad.


      Artículo 7o. Pérdidas en el Sistema de Transmisión Nacional. Para efectos comerciales, la demanda de todos los comercializadores, une vez referida a 220 kV, se incrementará en un 1.5% por concepto de pérdidas del Sistema de Transmisión Nacional.

      Parágrafo 1o. Si la diferencia entre las pérdidas reales en el STN y el porcentaje aquí establecido, es positiva, el porcentaje en exceso será asumido por los Transmisores Nacionales a prorrata de su porcentaje de participación en la propiedad de activos del STN (Valorados a Costo de Reposición a 31 de diciembre del año inmediatamente anterior). La energía correspondiente se liquidará al Precio de Bolsa respectivo.

      Parágrafo 2o. Si la diferencia entre las pérdidas reales en el STN y el porcentaje aquí establecido, es negativa, el desbalance en la liquidación de las transacciones comerciales que tenga su origen en este concepto, será acreditado a favor de los Transmisores Nacionales a prorrata de su porcentaje de participación en la propiedad de activos del STN (Valorados a Costo de Reposición a 31 de diciembre del año inmediatamente anterior).


      Artículo 8o. Distribución de los Ingresos Regulados entre los Transmisores Nacionales. Los Ingresos de cada Transmisor Nacional en el año t+1, se calculan como resultado de aplicar la fórmula establecida en el Anexo No 1 de la presente Resolución a los activos que son de su propiedad.

      El pago correspondiente se ajustará a las disposiciones contenidas en la Resolución CREG-012 de 1995 y demás normas que la modifiquen o complementen.


      Artículo 9o. Cronograma para la Aprobación de la Metodología propuesta en la presente Resolución. La aprobación de la metodología y las disposiciones contenidas en la presente Resolución, se realizará de acuerdo con el siguiente cronograma:

      a). Las observaciones por parte de los Transmisores Nacionales, el CNO y de los terceros interesados en la decisión que adoptará la Comisión, podrán ser presentadas dentro del mes siguiente a la fecha en que entre en vigencia esta Resolución.

      b). Las observaciones presentadas por los Transmisores Nacionales, el CNO y los terceros interesados que se hagan parte de la respectiva actuación, serán objeto de análisis por parte de la CREG, dentro del mes siguiente al vencimiento del plazo establecido en el literal a). del presente Artículo.

      c). La aprobación por parte de la Comisión de las disposiciones finales, se realizará con posterioridad al vencimiento del plazo establecido en el literal anterior.

      Artículo 10o. Impulso de la Actuación. El Director Ejecutivo de la Comisión impulsará la actuación, sin perjuicio del reparto interno que haga para el estudio de las observaciones.


      Artículo 11o. Inicio de la Actuación Administrativa. Con el presente acto se da inicio al trámite que conducirá a la aprobación de la metodología aplicable a los Ingresos Regulados del STN.


      Artículo 12o. Vigencia de la presente Resolución. La presente resolución rige a partir de la fecha de su publicación en el Diario Oficial, y por ser un acto de trámite, no modifica las normas actualmente aplicables sobre las materias a que ella se refiere.


      Publicada en el Diario Oficial No. 43.196 de diciembre 18 de 1997

      PUBLÍQUESE Y CÚMPLASE

      Dada en Santa Fe de Bogotá, D.C., el día 28 de Noviembre de 1997



    ORLANDO CABRALES MARTINEZ
    Ministro de Minas y Energía
    Presidente
    JORGE E. MERCADO D.
    Director Ejecutivo


      ANEXO No 1
      FORMULA REGULATORIA PARA EL CALCULO DEL INGRESO REGULADO ANUAL POR USO DEL STN


      El Ingreso Regulado Anual por concepto del Uso del Sistema de Transmisión Nacional, se calcula a partir de la siguiente fórmula:



      donde:

      Mt+1 : Ingreso de causación regulado permitido por el uso del Sistema de Transmisión Nacional en el año t+1.

      REt+1 : Ingreso regulado permitido en el año t+1 para la red existente. Hacen parte de la red existente los siguientes activos:

              - Activos existentes a la fecha en que se efectúe la primera convocatoria y que estarán en operación en el año t+1 (E).

              - Activos que entrarán a operar en el año t+1 y cuya construcción se inició con anterioridad a la fecha en la cual se efectúe la primera convocatoria (EC).

              - Activos construidos en desarrollo del proceso de convocatorias, que inicien su vigesimosexto (26) año de entrada en operación durante la vigencia t+1 (NE). En dicha vigencia, tales activos solo se incluirán a partir del primer día del año vigesimosexto de operación.


      REt valorados a 31 de diciembre del año t, de acuerdo con las disposiciones establecidas en el Numeral III. del Literal a) del Artículo 4o de la presente Resolución.

      RECt y RNEt valorados a 31 de diciembre del año t, de acuerdo con las disposiciones establecidas en el Numeral III. del Literal a) del Artículo 4o de la presente Resolución. En este caso se tendrá en cuenta de manera proporcional, la fecha en la cual los activos EC entrarán en operación y los activos NE iniciarán su año vigesimosexto (26) año de entrada en operación.

      t = 1999

      RCt+1 : Sumatoria para el año t+1 de los Ingresos Anuales Esperados para los proyectos cuya ejecución se adjudicó, en desarrollo de procesos de convocatoria y que estarán en operación en el año t+1. Hacen parte de la red correspondiente los siguientes activos:
              - Activos que durante la vigencia t+1, aún no exceden los veinticinco (25) primeros años de entrada en operación (ACE).

              - Activos que durante la vigencia t+1, excederán los veinticinco (25) primeros años de entrada en operación (ACF). En dicha vigencia, tales activos solo se incluirán desde el primer día del año t+1 hasta el último día del vigesimoquinto año de operación.

              - Activos que durante la vigencia t+1 entrarán en operación y que fueron adjudicados o serán adjudicados en procesos de convocatoria (ACN).



      IA(ACE)t ingresos anuales valorados a 31 de diciembre del año t, de acuerdo con las disposiciones establecidas en el Numeral II. del literal a) del Artículo 4o de la presente Resolución.

      IA(ACF)t y IA(ACN)t valorados a 31 de diciembre del año t, de acuerdo con las disposiciones establecidas en el Numeral II. del Literal a) del Artículo 4o de la presente Resolución. En este caso se tendrá en cuenta de manera proporcional, la fecha en la cual los activos ACF excederán los veinticinco (25) primeros años de entrada en operación y los activos ACN iniciarán su operación. En aquellos casos en que la obra se adjudique dentro del mismo año en el cual culmine su construcción, e inicie su operación, el Ingreso correspondiente será estimado por la UPME aplicando la metodología establecida en el Numeral III. del Literal a) del Artículo 4o de la presente Resolución.

      t = 1999

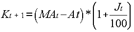
      Kt+1 : Factor de corrección (positivo o negativo) que se aplica a los Ingresos Regulados Anuales para el año t+1, derivado de acuerdo con la fórmula siguiente:


              en el primer año.

      donde:

      MAt es el Ingreso Regulado Anual Ajustado del año t. El ajuste se efectúa recalculando Mt, de acuerdo con las desviaciones que se produzcan entre los IA(ACN)t y RECt estimados y los efectivamente causados.

      At Ingreso efectivamente causado en el año t.

      Jt es la tasa DTF promedio del año t certificada por el Banco de la República.








      ORLANDO CABRALES MARTINEZ
      Ministro de Minas y Energía
      Presidente
      JORGE E. MERCADO DIAZ
      Director Ejecutivo

    CR218-97.DOC; CR218-97.PDF

    Doble click sobre el archivo anexo para bajarlo(Resoluciones CREG)
    Cr218-97.docCr218-97.pdf
    Doble click sobre el archivo anexo para bajarlo(Documento CREG)