| Publicación Diario Oficial No.: | 50.936, el día:26/April/2019 |
| Publicada en la WEB CREG el: | 25/April/2019 |
Ministerio de Minas y Energía
COMISIÓN DE REGULACIÓN DE ENERGÍA Y GAS
RESOLUCIÓN No. 009 DE 2019
( 14 ENE. 2019 )
Por la cual se aprueba cargo de distribución por uso del sistema de distribución de gas combustible por redes de tubería para el mercado relevante
conformado por los municipios de Cartagena del Chaira y Puerto Rico en el departamento del Caquetá, según solicitud tarifaria presentada por la empresa GASES DEL SUR DE COLOMBIA E.S.P. S.A.
LA COMISIÓN DE REGULACIÓN DE ENERGÍA Y GAS
En ejercicio de sus atribuciones constitucionales y legales, en especial las conferidas por la Ley 142 de 1994, y en desarrollo de los decretos 2253 de 1994 y 1260 de 2013, y
CONSIDERANDO QUE:
I. Antecedentes
El artículo 14.28 de la Ley 142 de 1994, definió el servicio público domiciliario de gas combustible como el conjunto de actividades ordenadas a la distribución de gas combustible y estableció la actividad de comercialización como complementaria del servicio público domiciliario de gas combustible.
Según lo dispuesto por el artículo 28 de la Ley 142 de 1994, la construcción y operación de redes para el transporte de gas, así como el señalamiento de las tarifas por uso, se regirán exclusivamente por esa Ley.
El artículo 73.11 de la Ley 142 de 1994 atribuyó a la Comisión de Regulación de Energía y Gas la competencia para establecer las fórmulas para la fijación de las tarifas del servicio público domiciliario de gas combustible.
Según lo dispuesto por el artículo 88.1 de la Ley 142 de 1994, la Comisión de Regulación de Energía y Gas podrá establecer topes máximos y mínimos tarifarios, de obligatorio cumplimiento por parte de las empresas.
El artículo 126 de la Ley 142 de 1994 establece que vencido el período de vigencia de las fórmulas tarifarias éstas continuarán rigiendo mientras la Comisión no fije las nuevas.
A través de la Resolución CREG 202 de 2013 se establecieron los criterios generales para remunerar la actividad de distribución de gas combustible por redes de tubería y se dictan otras disposiciones.
El artículo 9º de la Resolución 202 de 2013, dispone que la metodología para el cálculo de los cargos de distribución se hará aplicando costos medios históricos y/o los costos medios de mediano plazo, para el Mercado Relevante de Distribución para el Siguiente Período Tarifario, y se calculan con la Valoración de la Inversión Base, los gastos de Administración, Operación y Mantenimiento (AOM), la Demanda de Volumen del mercado correspondiente y la tasa de retorno, aplicando los criterios tarifarios establecidos en la Ley 142 de 1994 y de acuerdo a la conformación del Mercado Relevante de Distribución.
Mediante la Resolución CREG 052 de 2014, Resolución CREG 138 de 2014, Resolución CREG 112 de 2015, Resolución CREG 125 de 2015 y Resolución CREG 141 de 2015 se modificó y adicionó la Resolución CREG 202 de 2013.
Con la Resolución CREG 095 de 2015 se aprobó la metodología para el cálculo de la tasa de descuento que se aplicará en las actividades de transporte de gas natural, distribución de gas combustible, transporte de GLP por ductos, transmisión y distribución de energía eléctrica en el sistema interconectado nacional, y generación y distribución de energía eléctrica en zonas no interconectadas.
En la Resolución CREG 096 de 2015 se definen los valores de la prima por diferencias entre el esquema de remuneración del mercado de referencia y el esquema aplicado en Colombia ( ) y la tasa de descuento para la actividad de distribución de gas combustible.
Por medio de la Circular CREG 105 de 2015 se publicó el documento CREG No. 095 de 2015, que contiene la definición de las funciones óptimas para determinar la remuneración de los gastos de Administración, Operación y Mantenimiento - AOM de las actividades de distribución y comercialización de gas combustible por redes de tubería y de Otros Activos para la actividad de distribución conforme a lo definido en el anexo 9 y 10 de la Resolución CREG 202 de 2013.
A través de la Circular CREG 130 de 2015, se definió el proceso de presentación de solicitudes tarifarias para la aprobación de cargos de distribución de gas combustible por redes de tubería para nuevos mercados conforme a lo definido en la Resolución CREG 202 de 2013 y sus modificatorias.
Mediante la Resolución CREG 093 del 11 de julio de 2016, se revocó parcialmente la Resolución CREG 202 de 2013, modificada por las Resoluciones CREG, 138 de 2014 y 125 de 2015.
Mediante la Resolución CREG 090 de 2018 se establecen los apartes revocados de la Resolución CREG 202 de 2013 mediante la Resolución CREG 093 de 2016 y se incorporan otras disposiciones.
Mediante la Circular CREG 060 de 2018, la Comisión informa de la existencia de errores en la Resolución CREG 090 de 2018 y que le corresponde adelantar una actuación administrativa de manera oficiosa con fundamento en el artículo 126 de la Ley 142 de 1994 a efectos de determinar la existencia de graves errores de cálculo que lesionan injustamente los intereses de los usuarios o de la empresa, con el fin de que se lleve a cabo una debida aplicación de la metodología de remuneración de la actividad de distribución de gas combustible por redes de tubería.
Mediante la Resolución CREG 132 de 2018 se resuelve una actuación administrativa iniciada de oficio en virtud de lo establecido en el artículo 126 de la Ley 142 de 1994
II. Trámite de la actuación administrativa
La empresa GASES DEL SUR DE COLOMBIA E.S.P. S.A., a través de la comunicación radicada en la CREG bajo el número E-2018-006216 de junio 25 de 2018, con base en lo establecido en las resoluciones CREG 202 de 2013 y sus modificaciones y adiciones, solicitó aprobación de cargos de distribución de GLP por redes, para el mercado relevante conformado por los siguientes municipios:
CODIGO DANE DEL MUNICIPIO | MUNICIPIO | DEPARTAMENTO |
18150000 | Cartagena del Chairá | Caquetá |
18592000 | Puerto Rico |
En la mencionada comunicación se allegaron los datos de demanda, gastos de administración operación y mantenimiento AOM y las inversiones clasificadas según el listado de unidades constructivas establecido en el Anexo No. 8 de la Resolución CREG 202 de 2013.
Mediante oficio con radicado CREG E-2018-006688 de julio 9 de 2018, La Unidad de Planeación Minero Energética - UPME, remite concepto en la que considera que la metodología de proyección de demanda de gas propuesta por la empresa GASES DEL SUR DE COLOMBIA E.S.P. S.A. para los municipios de Cartagena del Chaira y Puerto Rico en el departamento del Caquetá, cumple con los requerimientos contenidos en el Anexo 13 de la Resolución CREG 202 de 2013.
En comunicación S-2018-004749 de octubre 17 de 2018, la Comisión verificó el cumplimiento de los requisitos establecidos en la Resolución CREG 202 de 2013 y sus modificatorias evidenciando que la información remitida no es suficiente para iniciar la actuación administrativa correspondiente, por lo que fue necesario solicitar que indique expresamente si el mercado relevante propuesto cuenta o no con recursos públicos para la financiación de la infraestructura de distribución.
En comunicación E-2018-010906 del 22 de octubre de 2018, la empresa GASES DEL SUR DE COLOMBIA E.S.P. S.A. allega respuesta al requerimiento solicitado por la Comisión, en la cual informa que el proyecto no cuenta con recursos públicos para la financiación de la infraestructura de distribución de gas por redes, y que el 100% de la inversión se realizará con recursos de la empresa.
Mediante auto proferido el día 20 de noviembre de 2018, la Comisión de Regulación de Energía y Gas –CREG- dispuso iniciar la respectiva actuación administrativa con fundamento en la solicitud presentada por la empresa GASES DEL SUR DE COLOMBIA E.S.P. S.A. para la aprobación de los cargos de distribución de GLP por redes de tubería para el mercado relevante conformado por los municipios de Cartagena del Chaira y Puerto Rico en el departamento del Caquetá.
De acuerdo con lo establecido en el auto del 20 de noviembre de 2018, y para cumplir con lo dispuesto en el artículo 37 del Código de Procedimiento Administrativo y de lo Contencioso Administrativo, en el Diario Oficial No. 50.785 del 22 de noviembre de 2018, se publicó el Aviso No. 097 de 2018 que contiene un extracto de la actuación administrativa iniciada con la solicitud presentada por GASES DEL SUR DE COLOMBIA E.S.P. S.A. para la aprobación de cargos de distribución de GLP por redes de tubería. Lo anterior, a fin de que los terceros interesados pudiesen hacerse parte en la respectiva actuación.
Mediante la Resolución CREG 137 de 2013 se establecieron las fórmulas tarifarias generales para la prestación del servicio público domiciliario de gas combustible por redes de tubería a usuarios regulados. La aplicación de la fórmula tarifaria general inició a partir del 1 de enero de 2014 por un período de cinco años, sin perjuicio de lo establecido en el artículo 126 de la Ley 142 de 1994.
El numeral 9.3 del artículo 9 de la Resolución CREG 202 de 2013 establece lo siguiente:
“9.3. CARGOS DE DISTRIBUCIÓN EN SISTEMAS DE DISTRIBUCIÓN QUE NO TIENEN CONECTADOS USUARIOS A LA RED PRIMARIA.
Cuando un Sistema de Distribución tenga red primaria y secundaria pero todos los usuarios estén conectados a la red secundaria se podrá determinar en ese Mercado Relevante un solo cargo de distribución que será aplicable a usuarios residenciales y a usuarios diferentes al de uso residencial. La canasta de tarifas de estos mercados deben excluir a los usuarios residenciales.”
Dado que el sistema de distribución presentado por la empresa GASES DEL SUR DE COLOMBIA E.S.P. S.A. para el mercado relevante solicitado, cuenta con red primaria y secundaria y todos sus usuarios están conectados a la red secundaria, se podrá determinar para este mercado relevante un solo cargo de distribución que será aplicable a los usuarios de uso residencial y usuarios diferentes al uso residencial.
Como resultado del análisis de la información presentada a la Comisión por GASES DEL SUR DE COLOMBIA E.S.P. S.A., mediante radicados CREG E-2018-0006216 y E-2018-010906 se realizaron los ajustes pertinentes a la información requerida para el cálculo del cargo de distribución que trata las resoluciones CREG 202 de 2013 y modificatorias, según se relacionan, con su respectivo sustento, en el documento soporte de la presente Resolución.
De esta manera, y conforme a lo estipulado en la Resolución CREG 202 de 2013, relacionado con las solicitudes de cargos tramitados paralelamente, la CREG evaluará la solicitud que cumpla de mejor manera los indicadores en relación con los costos totales de prestación del servicio al usuario y la cobertura en caso de municipios nuevos, para el mercado relevante de distribución y con base en esta aprobará los cargos. Los análisis a la solicitud tarifaria, los cálculos tarifarios correspondientes efectuados por parte de la Comisión de Regulación de Energía y Gas, así como las consideraciones que justifican la presente resolución y demás información disponible, se encuentran incorporados en el Documento CREG-009 de 2019, soporte de la presente resolución.
III. Análisis de la solicitud tarifaria presentada por la empresa GASES DEL SUR DE COLOMBIA E.S.P. S.A y la definición de los cargos máximos para la actividad de distribución de gas combustible.
La metodología de remuneración de la actividad de distribución de gas combustible por redes de tubería contempla el concepto de mercado relevante de distribución que corresponde al municipio, grupo de municipios o centros poblados para el cual la CREG establece cargos por uso del sistema de distribución al cual están conectados un conjunto de usuarios.
Esta metodología es de precio máximo, el cual se establece a través de los cargos de distribución que son calculados a partir de costos medios históricos para mercados existentes o costos de mediano plazo para mercados o poblaciones nuevas, con estos se remunera las inversiones existentes para la demanda real y el programa de inversiones diseñado para una demanda futura, según corresponda.
Los cargos de distribución se obtienen básicamente como la relación entre el costo anual equivalente de las inversiones eficientes, incluyendo las inversiones existentes o el valor presente descontado de las inversiones proyectadas más los gastos eficientes anuales de la administración, operación y mantenimiento (AOM) o el valor presente descontado de los AOM proyectados y la demanda real obtenida en el año de corte o de la proyección de demanda. Lo anterior, utilizando una tasa de descuento o WACC (por sus siglas en inglés).
La metodología señalada reconoce las inversiones eficientes, de las cuales hacen parte, la inversión base que corresponde a la inversión en activos existentes a una fecha de corte o el programa de inversiones que propone ejecutar el distribuidor en el periodo tarifario. La valoración de los activos se hace a través de los costos eficientes que se han determinado previamente para unidades constructivas y que se encuentran señaladas previamente en las Resoluciones CREG 011 de 2003 y 202 de 2013.
Es de indicar que de acuerdo con la metodología se establece un cargo de distribución para usuarios residenciales y otro para usuarios de uso diferente al residencial, con este último las empresas podrán estructurar una canasta de tarifas por tipo de usuario y consumo.
De acuerdo con lo anterior y como parte de la aplicación de la metodología de la Resolución CREG 202 de 2013, así como de los criterios tarifarios previstos en el artículo 87 de la Ley 142 de 1994 y el esquema de incentivos para la actividad de distribución de gas combustible le corresponde a la CREG establecer: i) Mercado relevante de distribución para el siguiente periodo tarifario y para al cual se le definirán cargos de distribución; ii) las demandas de volumen en metros cúbicos de cada mercado; iii) el valor eficiente de las inversiones a reconocer, incluyendo la inversión base y el programa de nuevas inversiones, donde se aplicable, así como; iii) los valores eficientes de los gastos de AOM.
Se debe tener en cuenta que dentro de la remuneración de esta actividad el regulador fija una tarifa máxima para cada mercado relevante de distribución, definiendo el valor eficiente de las inversiones y de los gastos de AOM para una demanda real o futura esto por un periodo tarifario y el distribuidor asume los riesgos (e.g. caídas por factores de mercado), incremento en los gastos de AOM reconocidos (e.g. incremento en los gastos de personal) y variaciones en los costos de las nuevas inversiones (e.g. incrementos en los costos de los activos). En estos términos el distribuidor es un agente activo en la búsqueda de eficiencia (e.g. reducción de costos y aumento de demanda).
De acuerdo con lo anterior, se procede a hacer un análisis de la solicitud tarifaria de la empresa de acuerdo con los elementos que hacen parte de la metodología tarifaria d la Resolución CREG 202 de 2013 a efectos de establecer el cargo para el mercado relevante al cual se ha solicitado los cargos de distribución:
3.1. Nuevo Mercado relevante de distribución para el siguiente periodo tarifario
La Resolución CREG 202 de 2013 determina como criterios para la conformación de Mercado Relevante de Distribución para el siguiente período tarifario, la creación de Nuevos Mercados de Distribución.
En este sentido el Mercado Relevante de Distribución para el siguiente período tarifario solicitado por la empresa GASES DEL SUR DE COLOMBIA E.S.P. S.A corresponde a un nuevo mercado de distribución, constituido por los siguientes municipios:
CODIGO DANE DEL MUNICIPIO | MUNICIPIO | DEPARTAMENTO |
18150000 | Cartagena del Chairá | Caquetá |
18592000 | Puerto Rico |
3.2. Gastos de administración, operación y mantenimiento - AOM
Dentro de la metodología de la Resolución CREG 202 de 2013, a efectos de determinar el valor eficiente de los gastos de AOM, en el numeral 9.7 se estableció que “los gastos de administración, operación y mantenimiento (AOM) de cada mercado se determinarán con base en la metodología Frontera Estocástica que se describe en el Anexo 10 de la presente resolución”. En dicho Anexo se dispuso que “para establecer los gastos eficientes de Administración, Operación y Mantenimiento que se remunerarán en los cargos de distribución de gas combustible, se adoptará la metodología de frontera estocástica de costos y se aplicará de acuerdo con la conformación de los mercado(s) relevante(s) de distribución para el siguiente periodo tarifario” para lo cual en los numerales 4. 5 y 6 de dicho anexo 10 esta Comisión dispuso que:
“4. La Comisión a través de circular publicará un documento para someter a comentario la función óptima que mejor estime el comportamiento de los gastos AOM de las actividades de distribución y comercialización para el siguiente periodo tarifario.
5. A través de circular se publicará el documento definitivo el cual contendrá la respuesta a cada uno de los comentarios recibidos y la función óptima que mejor estime el comportamiento de los gastos AOM de las actividades de distribución y comercialización para el siguiente periodo tarifario.
6. Conforme la función seleccionada se asignará a cada una de las empresas un AOM estimado.”
Para estos efectos se expidió la Circular CREG 105 de 2015 en la cual se publicó el documento CREG No.095 de 2015, que contiene la definición de las funciones óptimas para determinar la remuneración de los gastos de AOM de las actividades de distribución y comercialización de gas combustible por redes de tubería y de otros activos para la actividad de distribución – conforme a lo definido en el anexo 9 y 10 de la Resolución CREG 202 de 2013. Cabe anotar que el concepto de eficiencia hace parte de los criterios tarifarios establecidos en el artículo 87 de la Ley 142 de 1994 y respecto de los cuales se sustenta el régimen tarifario.
Ahora bien, mediante la Resolución CREG 093 de 2016 se revocó el numeral 9.7 y el Anexo 10 en donde se define el procedimiento para el establecimiento de los gastos de AOM eficientes, esto teniendo en cuenta que mediante un análisis de la información requerida para mercados existentes, la Comisión encontró graves problemas con respecto a la calidad de la información contable reportada y depurada por las empresas a diciembre de 2013, así como la relación que esta puede tener con respecto a los costos y gastos asociados con la prestación del servicio y en particular para la actividad de distribución de gas combustible y la cual fue el insumo principal para el desarrollo del cálculo de las funciones de gastos eficientes de AOM de la actividad de distribución de gas combustible por redes de tubería y los otros activos que fueron publicadas en la Circular CREG 105 de 2015, tal y como lo establecía la Resolución CREG 202 de 2013.
Mediante la Resolución CREG 090 de 2018 se establecen los apartes revocados de la Resolución CREG 202 de 2013 mediante la Resolución CREG 093 de 2016 y se incorporan otras disposiciones.
Mediante la Circular CREG 060 de 2018, la Comisión informa de la existencia de errores en la Resolución CREG 090 de 2018 y que le corresponde adelantar una actuación administrativa de manera oficiosa con fundamento en el artículo 126 de la Ley 142 de 1994 a efectos de determinar la existencia de graves errores de cálculo que lesionan injustamente los intereses de los usuarios o de la empresa, con el fin de que se lleve a cabo una debida aplicación de la metodología de remuneración de la actividad de distribución de gas combustible por redes de tubería.
Mediante la Resolución CREG 132 de 2018 se resuelve una actuación administrativa iniciada de oficio en virtud de lo establecido en el artículo 126 de la Ley 142 de 1994, relacionada con la existencia de errores en la Resolución CREG 090 de 2018.
3.3. Inversión Base
La inversión base es la que se reconoce en los cargos de distribución y debe corresponder al dimensionamiento del sistema de distribución de acuerdo con la demanda de volumen, sistema valorado con los costos eficientes establecidos para cada una de las unidades constructivas.
La inversión base comprenderá: a) activos inherentes a la operación (estaciones de puerta de ciudad, gasoductos, estaciones de regulación, accesorios entre otros), b) otros activos (maquinaria y equipos, muebles, equipos de cómputo y comunicación, sistema de información) y c) activos asociados al control de la calidad del servicio.
3.3.1. Programa de Nuevas Inversiones (IPNI). Es la inversión del Programa de Nuevas Inversiones que se realizará en el Siguiente Período Tarifario. Está homologada a las Unidades Constructivas definidas en el ANEXO 8 de la Resolución CREG 202 de 2013.
Teniendo en cuenta que la solicitud comprende la inclusión de municipios nuevos o que corresponde a un mercado nuevo la empresa GASES DEL SUR DE COLOMBIA E.S.P. S.A. reporta el siguiente programa de inversiones para el mercado relevante propuesto.
Tabla: Programa de Inversiones
ACTIVOS | AÑO 1 | AÑO 2 | AÑO 3 | AÑO 4 | AÑO 5 |
Inherentes a la operación
| 4.341.850.982 | - | - | - | - |
|
| 1.768.876.886 | - | - | - | - |
|
| 89.917.819 | - | - | - | - |
Inversiones | 6.200.645.687 | - |
|
|
|
Cifras en pesos del 31 de diciembre de 2017
3.3.2. Otros Activos
Según lo señalado en la metodología, los otros activos reportados por las empresas no pueden ser superiores al monto en activos inherentes en operación por el porcentaje establecido conforme al Anexo 9 de la Resolución CREG 202 de 2013.
Mediante la Circular CREG 105 de 2015, para la determinación de otros activos se definió una función de regresión lineal que considera las variables de gastos de AOM y kilometro por área. El procedimiento para establecer esta variable también fue revocado mediante la Resolución CREG 093 de 2016, esto teniendo en cuenta que la función toma como insumo el valor de AOM resultante de la aplicación de lo dispuesto en el Anexo 10 de la Resolución CREG 202 de 2013, los problemas encontrados en la medición de los gastos de AOM por la calidad de la información contable y las asimetrías en dicha información afectan igualmente el cálculo del porcentaje de remuneración por otros activos. Además, durante el proceso tarifario se encontró inconsistencias entre la información de kilómetros de red informada por las empresas para la definición de la función de regresión lineal y la reportada en la solicitud tarifaria, así como, las empresas depuraron la información contable de Otros Activos y en general su valor disminuyó.
Mediante la Resolución CREG 090 de 2018 se establecen los apartes revocados de la Resolución CREG 202 de 2013 mediante la Resolución CREG 093 de 2016 y se incorporan otras disposiciones.
Mediante la Circular CREG 060 de 2018, la Comisión informa de la existencia de errores en la Resolución CREG 090 de 2018 y que le corresponde adelantar una actuación administrativa de manera oficiosa con fundamento en el artículo 126 de la Ley 142 de 1994 a efectos de determinar la existencia de graves errores de cálculo que lesionan injustamente los intereses de los usuarios o de la empresa, con el fin de que se lleve a cabo una debida aplicación de la metodología de remuneración de la actividad de distribución de gas combustible por redes de tubería.
Mediante la Resolución CREG 132 de 2018 se resuelve una actuación administrativa iniciada de oficio en virtud de lo establecido en el artículo 126 de la Ley 142 de 1994, relacionada con la existencia de errores en la Resolución CREG 090 de 2018.
3.3.3. Inversión de Recursos Públicos
Respecto al tema, la empresa GASES DEL SUR DE COLOMBIA E.S.P. S.A. informa que el proyecto no cuenta con recursos públicos para la construcción de la infraestructura de distribución gas por redes.
3.3.4. Tasa de Retorno
Mediante Resolución CREG 095 de 2015, la Comisión define la “metodología para el cálculo de la tasa de descuento que se aplicará en las actividades de transporte de gas natural, distribución de gas combustible, transporte de GLP por ductos, transmisión y distribución de energía eléctrica en el sistema interconectado nacional, y generación y distribución de energía eléctrica en zonas no interconectadas”.
La Resolución CREG 096 de 2015, la CREG define se definen los valores de la prima por diferencias entre el esquema de remuneración del mercado de referencia y el esquema aplicado en Colombia (Rr,a) y la tasa de descuento para la actividad de distribución de gas combustible.
En esta resolución, específicamente en el artículo 4, se prevé lo siguiente:
“(…) ARTÍCULO 4. Valor de la tasa de descuento. En virtud de la aplicación de la metodología aprobada por la CREG para el cálculo de la tasa de descuento, el valor de la tasa de descuento para la actividad de distribución de gas combustible para cada año será:
Año | Tasa de descuento |
2015 | 13,28% |
2016 | 13,51% |
2017 | 13,97% |
2018 | 14,23% |
2019 en adelante | 12,47% |
Parágrafo. En caso que se presente una modificación en el valor de la tasa Tx definida en la Resolución CREG 095 de 2015, la Comisión ajustará el valor de la tasa de descuento definida en el presente artículo. (…)” Resaltado y subrayado fuera de texto
Mediante acto legislativo, el Congreso de la República mediante la Ley 1819 de diciembre 29 de 2016 aprobó la modificación del estatuto tributario aplicable a partir del año 2017; el cual implica un cambio en las condiciones previstas en el valor de la tasa , definida en la Resolución CREG 095 de 2015, y consideradas para el recálculo de la tasa de descuento de la actividad de distribución de gas combustible por redes de tubería, aplicable a los cargos a aprobar con fecha base a partir de diciembre de 2017.
Según lo previsto en la Resolución CREG 096 de 2015, la Comisión procede a hacer el ajuste de la respectiva tasa de descuento, cuyos valores son los siguientes:
Año | Tasa de descuento |
2017 | 13,61% |
2018 | 13,01% |
2019 en adelante | 12,30% |
IV. Aspectos y elementos adicionales
Los análisis a la solicitud tarifaria, los cálculos tarifarios correspondientes efectuados por parte de la Comisión de Regulación de Energía y Gas, así como las consideraciones que justifican la presente resolución y demás información disponible, se encuentran incorporados en el Documento CREG-009 de 2019, soporte de la presente resolución.
Con base en lo establecido en el artículo 4 del Decreto 2897 de 2010 1Se debe precisar que estas disposiciones se encuentran recogidas actualmente en los numerales 2.2.2.30 y siguientes del Decreto 1074 de 2015., reglamentario de la Ley 1340 de 2009, se respondió el cuestionario establecido por la Superintendencia de Industria y Comercio para efectos de evaluar la incidencia sobre la libre competencia de los mercados, donde aplicando las reglas allí previstas, la respuesta al conjunto de preguntas fue negativa, en la medida en que no plantea ninguna restricción indebida a la libre competencia, el cual se encuentra en el Documento CREG-009 de 2019.
Teniendo en cuenta la respuesta al cuestionario, y dado que la presente Resolución contiene un desarrollo y aplicación de la metodología y criterios generales para determinar la remuneración de la actividad de distribución de gas combustible establecidos en las Resolución CREG 202 de 2013, el presente acto administrativo de carácter particular no requiere ser remitido a la SIC para los efectos establecidos en el artículo 7 de la Ley 1340 de 2009, reglamentado por el Decreto 2897 de 2010, por no tener incidencia sobre la libre competencia 2Ibídem.
La Comisión de Regulación de Energía y Gas, en su sesión 897 del 14 de enero de 2019, acordó expedir la presente resolución.
RESUELVE:
ARTÍCULO 1. Mercados Relevantes de Distribución Para el Siguiente Periodo Tarifario. Conforme a lo definido en el numeral 5.2 de la Resolución CREG 202 de 2013, el Mercado Relevante de Distribución para el Siguiente Periodo Tarifario estará conformado por los siguientes municipios:
CODIGO DANE DEL MUNICIPIO | MUNICIPIO | DEPARTAMENTO |
18150000 | Cartagena del Chairá | Caquetá |
18592000 | Puerto Rico |
ARTÍCULO 2. Demandas de Volumen. Para el cálculo tarifario se utilizó la Demanda de Volumen presentada en el Anexo 2 de esta Resolución.
ARTÍCULO 3. Inversión Base. La Inversión Base para determinar los cargos de distribución para el Mercado Relevante de Distribución definido en el artículo 1 de esta Resolución se compone como se indica a continuación:
3.1. Programa de Nuevas Inversiones para Municipios Nuevos (INPI). El Programa de Nuevas Inversiones corresponde a un valor de 6.200.645.687 ($ 31 de diciembre de 2017) y su descripción se presenta en el Anexo 1 de la presente Resolución.
3.2. Valoración de la Inversión Base.
Aplicando la metodología contenida en la Resolución CREG 202 de 2013 y sus modificaciones y adiciones, se calcularon conforme a las formulas establecidas en los numerales 9.1.1.3. y 9.2.1.3. del artículo 9 para la componente que remunera la inversión base, aplicable a usuarios de uso residencial y a usuarios diferentes a los de uso residencial y se obtuvieron las siguientes variables principales:


ARTÍCULO 4. Gastos de Administración, Operación y Mantenimiento - AOM. Para el mercado nuevo de distribución, una vez ajustado el Horizonte de Proyección de AOM reportado por la empresa con el menor de los crecimientos porcentuales entre AOM y Demanda, se determina un porcentaje de AOM eficiente a reconocer de 4,12%. A partir de este porcentaje, se calcula un  de 100%, el cual se aplica a la proyección de AOM ajustada. En el Anexo 3 se presentan los gastos ajustados de AOM para cada año del Horizonte de Proyección.

Cifras en pesos del 31 de diciembre de 2017.
Aplicando la metodología contenida en la Resolución CREG 202 de 2013 y sus modificaciones y adiciones, se calcularon conforme a las formulas establecidas en los numerales 9.1.1.3. y 9.2.1.3. del artículo 9 para la componente que remunera los gastos de AOM, aplicable a usuarios de uso residencial y a usuarios diferentes a los de uso residencial, las siguientes variables principales:

Cifras en pesos del 31 de diciembre de 2017

Cifras en pesos del 31 de diciembre de 2017.CAPÍTULOI.
CARGOS DE DISTRIBUCIÓN
ARTÍCULO 5. Cargo de distribución aplicable a los usuarios de Uso Residencial. A partir de la vigencia de la presente Resolución, el cargo de distribución aplicable a los usuarios de uso residencial aplicable en el Mercado Relevante definido en el artículo 1°, para recuperar los costos de inversión y los gastos de AOM para la distribución domiciliaria de gas combustible por red se fija de la siguiente manera:

Parágrafo. Estos Cargos de Distribución se actualizarán de conformidad con lo establecido en el artículo 12 de la Resolución CREG 202 de 2013 y aquellas que la adicionan y modifican.
ARTÍCULO 6. Cargo de distribución aplicable a los usuarios diferentes a los de Uso Residencial. A partir de la vigencia de la presente Resolución, el cargo de distribución aplicable a los usuarios diferentes a los de uso residencial aplicable en el Mercado Relevante definido en el artículo 1°, para recuperar los costos de inversión y los gastos de AOM para la distribución domiciliaria de gas combustible por red se fija de la siguiente manera:

Parágrafo. Estos Cargos de Distribución se actualizarán de conformidad con lo establecido en el artículo 12 de la Resolución CREG 202 de 2013 y aquellas que la adicionan y modifican.
ARTÍCULO 7. Vigencia de los Cargos de Distribución aplicables a los usuarios de Uso Residencial y a usuarios diferentes a los de uso residencial. Los Cargos de Distribución aplicables a los usuarios de uso residencial y a los usuarios diferentes a los de uso residencial, estarán vigentes por (5) años desde la fecha en que quede en firme la presente resolución. Vencido el período de vigencia de los cargos regulados, estos continuarán rigiendo hasta que la Comisión apruebe los nuevos, tal como está previsto en el artículo 126 de la Ley 142 de 1994.
Parágrafo. De acuerdo con lo dispuesto en el parágrafo del Artículo 7 de la Resolución CREG 202 de 2013 y sus modificaciones y adiciones, si transcurridos doce (12) meses desde que haya quedado en firme la presente Resolución, el Distribuidor no ha iniciado la construcción del respectivo Sistema de Distribución, los cargos aquí aprobados, así como la totalidad de lo dispuesto en esta resolución perderán su vigencia.
Se entenderá que el Distribuidor no ha iniciado la construcción del respectivo Sistema de Distribución, sí doce (12) meses después de que haya quedado en firme los cargos aprobados en la presente resolución, no ha ejecutado al menos un 50% las inversiones propuestas para el primer año de inversión.
Para estos efectos, el distribuidor dentro de los 15 días hábiles siguientes a la firmeza de la presente resolución, deberá remitir a la SSPD con copia a la CREG, un cronograma en donde se especifique la fecha de inicio de la construcción del Sistema de Distribución hasta la fecha de su entrada en operación a efectos de que la Superintendencia de Servicios Públicos Domiciliarios pueda llevar a cabo sus funciones de inspección, vigilancia y control dispuestas en el artículo 79 de la Ley 142 de 1994. Así mismo, este cronograma deberá contener el programa de inicio, avance y ejecución de las inversiones propuestas y reconocidas para el primer año de acuerdo con lo previsto en el Anexo 1 de la presente resolución. De acuerdo con lo dispuesto en el inciso anterior la fecha de inicio del cronograma corresponderá a la firmeza de la resolución de los cargos aprobados.
Igualmente, el distribuidor deberá enviar un informe semestral que contenga el porcentaje de avance de ejecución de obra con las inversiones realmente ejecutadas en comparación con el programa de inversión aprobado.
CAPÍTULOII.
FÓRMULA TARIFARIA
ARTÍCULO 8. Fórmula Tarifaria. La Fórmula Tarifaria aplicable al mercado relevante definido en el artículo 1 de la presente Resolución corresponderá a la establecida en el artículo 4 de la Resolución CREG 137 de 2013.
ARTÍCULO 9. Vigencia de la Fórmula Tarifaria. La fórmula tarifaria, regirá a partir de la fecha en que la presente Resolución quede en firme y durante el término de vigencia de las fórmulas tarifarias definidas en la Resolución CREG-137 de 2013. Vencido este período las fórmulas tarifarias continuarán rigiendo mientras la Comisión no fije las nuevas, tal como está previsto en el Artículo 126 de la Ley 142 de 1994.
CAPÍTULOIII.
OTRAS DISPOSICIONES
ARTÍCULO 10. La presente Resolución deberá notificarse al representante legal de la empresa GASES DEL SUR DE COLOMBIA E.S.P. S.A. y publicarse en el Diario Oficial. Contra las disposiciones contenidas en esta Resolución procede el Recurso de Reposición, el cual podrá interponerse ante la Dirección Ejecutiva de la CREG dentro de los cinco (5) días hábiles siguientes a la fecha de su notificación
NOTIFÍQUESE, PUBLÍQUESE Y CÚMPLASE
Dada en Bogotá, D.C.
DIEGO MESA PUYO | CHRISTIAN JARAMILLO HERRERA |
Viceministro de Energía
Delegado de la Ministra de Minas y Energía | Director Ejecutivo |
Presidente |  |
ANEXO 1
PROGRAMA DE NUEVAS INVERSIONES

 (Valores expresados en de pesos del 31 de diciembre de 2017)
DIEGO MESA PUYO | CHRISTIAN JARAMILLO HERRERA |
Viceministro de Energía
Delegado de la Ministra de Minas y Energía | Director Ejecutivo |
Presidente |  |
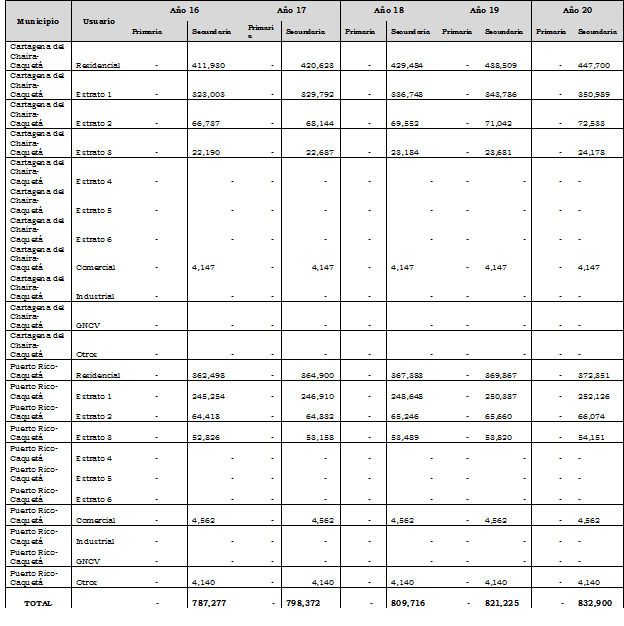
ANEXO 2
PROYECCIONES DE USUARIOS Y DEMANDA
NÚMERO DE USUARIOS



 VOLUMEN (m3)




DIEGO MESA PUYO | CHRISTIAN JARAMILLO HERRERA |
Viceministro de Energía
Delegado de la Ministra de Minas y Energía | Director Ejecutivo |
Presidente |  |
ANEXO 3
PROYECCIÓN DE GASTOS AOM-
ADMINISTRACIÓN, OPERACIÓN Y MANTENIMIENTO
AÑO | GASTOS AOM
($ dic 2017) |
1 | 141.384.593 |
2 | 158.394.593 |
3 | 166.883.393 |
4 | 168.049.793 |
5 | 169.226.993 |
6 | 170.414.993 |
7 | 171.646.193 |
8 | 172.888.193 |
9 | 174.140.993 |
10 | 175.426.193 |
11 | 176.732.993 |
12 | 178.061.393 |
13 | 179.411.393 |
14 | 180.782.993 |
15 | 182.176.193 |
16 | 183.601.793 |
17 | 185.048.993 |
18 | 186.528.593 |
19 | 188.029.793 |
20 | 189.552.593 |
VPN(2019 en adelante) | 1.233.401.807 |
DIEGO MESA PUYO | CHRISTIAN JARAMILLO HERRERA |
Viceministro de Energía
Delegado de la Ministra de Minas y Energía | Director Ejecutivo |
Presidente |  |
|
Doble click sobre el archivo anexo para bajarlo(Resoluciones CREG) |
Doble click sobre el archivo anexo para bajarlo(Documento CREG) |
|