Ministerio de Minas y Energía
COMISIÓN DE REGULACIÓN DE ENERGÍA Y GAS
RESOLUCIÓN No. 050 DE 2019
( 09 MAYO 2019 )
Por la cual se ordena hacer público el proyecto de resolución “Por la cual se modifican y adicionan las disposiciones temporales establecidas con motivo del evento ocurrido en el municipio de Mocoa, departamento del Putumayo, el 31 de marzo de 2017”
LA COMISIÓN DE REGULACIÓN DE ENERGÍA Y GAS
En ejercicio de sus atribuciones constitucionales y legales, en especial las conferidas por las Leyes 142 y 143 de 1994, y en desarrollo de los Decretos 1524, 2253 de 1994 y 1260 de 2013;
CONSIDERANDO QUE:
Conforme a lo dispuesto por el artículo 8 del Código de Procedimiento Administrativo y de lo Contencioso Administrativo y el artículo 33 de la Resolución CREG 039 de 2017, la Comisión debe hacer público en su página web todos los proyectos de resolución de carácter general que pretenda adoptar.
La Comisión de Regulación de Energía y Gas, en su sesión 917 del 9 de mayo de 2019, acordó hacer público el proyecto de resolución “Por la cual se modifican y adicionan las disposiciones temporales establecidas con motivo del evento ocurrido en el municipio de Mocoa, departamento del Putumayo, el 31 de marzo de 2017”.
R E S U E L V E:
Artículo 1. Objeto. Hágase público el proyecto de resolución “Por la cual se modifican y adicionan las disposiciones temporales establecidas con motivo del evento ocurrido en el municipio de Mocoa, departamento del Putumayo, el 31 de marzo de 2017”.
Artículo 2. Presentación de comentarios, observaciones y sugerencias. Se invita a los usuarios, a los agentes, a las autoridades locales, municipales y departamentales, a las entidades y a los demás interesados para que, dentro de los diez (10) días hábiles siguientes a la publicación de la presente resolución, remitan sus observaciones o sugerencias sobre las propuestas contenidas en el proyecto de resolución adjunto.
Las observaciones y sugerencias sobre el proyecto deberán dirigirse al director ejecutivo de la Comisión, a la dirección: calle 116 No. 7-15, interior 2 oficina 901 en Bogotá D.C. o al correo electrónico creg@creg.gov.co.
Artículo 3. Vigencia. La presente resolución rige a partir de su publicación en el Diario Oficial y no deroga ni modifica disposiciones vigentes por tratarse de un acto de trámite.
PUBLÍQUESE Y CÚMPLASE
Dado en Bogotá, D. C. 09 MAYO 2019
MARÍA FERNANDA SUÁREZ LONDOÑO | CHRISTIAN JARAMILLO HERRERA |
Ministra de Minas y Energía | Director Ejecutivo |
Presidente | |
 |  |
 |  |
PROYECTO DE RESOLUCIÓN
Por la cual se modifican y adicionan las disposiciones temporales establecidas con motivo del evento ocurrido en el municipio de Mocoa, departamento del Putumayo, el 31 de marzo de 2017
En ejercicio de las atribuciones legales, en especial las conferidas por las Leyes 142 y 143 de 1994, y los decretos 1524 y 2253 de 1994 y 1260 de 2013.
De acuerdo con lo previsto en los literales c) y d) del artículo 23 y en el artículo 41 de la Ley 143 de 1994, es función de la Comisión de Regulación de Energía y Gas definir la metodología de cálculo y fijar las tarifas por el acceso y uso de las redes eléctricas.
Según el artículo 87.8 de la Ley 142 de 1994 “toda tarifa tendrá un carácter integral, en el sentido de que supondrá una calidad y grado de cobertura del servicio, cuyas características definirán las comisiones reguladoras. Un cambio en estas características se considerará como un cambio en la tarifa”.
El artículo 23, literal n), de la Ley 143 de 1994 estableció que la Comisión de Regulación de Energía y Gas tiene dentro de sus funciones generales la de definir y hacer operativos los criterios técnicos de calidad, confiabilidad y seguridad del servicio de energía.
Mediante la Resolución CREG 022 de 2001, modificada por las resoluciones CREG 085 de 2002, 093 de 2007, 147 de 2011 y 064 de 2013, entre otras, la CREG estableció los principios generales y los procedimientos para la preparación del plan de expansión de referencia del Sistema de Transmisión Nacional, STN, y se estableció la metodología para determinar el ingreso regulado por concepto del uso de este sistema, y dispuso que la expansión del STN se haga mediante la ejecución, a mínimo costo, de los proyectos del Plan de Expansión de Transmisión de Referencia, por parte de los inversionistas que resulten seleccionados en procesos que estimulen y garanticen la libre competencia.
Mediante la Resolución CREG 097 de 2008, modificada por las resoluciones CREG 133, 135 y 166 de 2008, la Comisión aprobó los principios generales y la metodología para el establecimiento de los cargos por uso del Sistema de Transmisión Regional, STR, y del Sistema de Distribución Local, SDL.
En la Resolución CREG 011 de 2009 se estableció la metodología y fórmulas tarifarias para la remuneración de la actividad de transmisión de energía eléctrica en el Sistema de Transmisión Nacional.
El 31 de marzo de 2017, en el municipio de Mocoa, departamento de Putumayo, se presentó una creciente de los ríos Mocoa, Mulato y Sangoyaco y otras quebradas afluentes causando daños en la infraestructura utilizada en la prestación del servicio de energía eléctrica en la región. Principalmente, resultó afectada la subestación Junín con activos en operación tanto en transmisión como en distribución.
Con fundamento en la situación ocurrida en el municipio de Mocoa y las solicitudes de las empresas prestadoras del servicio público de energía eléctrica con activos afectados por este suceso, la CREG expidió la Resolución CREG 141 de 2017 “Por la cual se modifican temporalmente algunos aspectos de las resoluciones CREG que regulan la calidad del servicio y el suministro de información, con motivo del evento ocurrido en el municipio de Mocoa, departamento del Putumayo, el 31 de marzo de 2017”.
Mediante la Resolución CREG 015 de 2018, modificada por la resolución CREG 085 de 2018, la Comisión aprobó la metodología para la remuneración de la actividad de distribución de energía eléctrica en el Sistema Interconectado Nacional.
Las disposiciones de calidad del servicio en los STR y los SDL establecidas en la Resolución CREG 015 de 2018 iniciarán su aplicación en los plazos y condiciones que se establecen en esta resolución y/o las que la modifican o complementan.
La Empresa de Energía del Putumayo S.A. E.S.P., mediante comunicación con radicado CREG E-2018-009723, solicitó la modificación de los artículos 2 y 3 de la Resolución CREG 141 de 2017 otorgando un plazo adicional de 12 meses argumentando las razones que se resumen a continuación:
· Hasta después de 5 meses de la tragedia se levantó restricción de ocupación del sector. Esto retrasó la definición del sitio.
· el predio está en proceso de expropiación administrativa, no es posible solicitar licencia ambiental.
· altos costos para la empresa. Por ser un evento inesperado se ha requerido buscar financiación.
· 36 meses es un tiempo justo solo para la construcción, sin tiempo de licencias ambiental y de construcción.
Así mismo, mediante comunicación con radicado E-2018-012333, la Empresa de Energía del Putumayo solicita ampliar el plazo establecido para el cumplimiento de los requisitos del esquema de incentivos y compensaciones a la calidad del SDL, definido en la Resolución CREG 015 de 2018, dado que con la catástrofe ocurrida se vieron perjudicados activos del SCADA y esto a su vez afectó los porcentajes de avance para la certificación por parte una empresa verificadora. La empresa prevé que la fecha en que cumplirá con estos requisitos será el mes de junio de 2019.
La CREG revisó y analizó los informes entregados en cumplimento de lo dispuesto en el artículo 6 de la Resolución CREG 141 de 2017, los cuales contienen: i) inventario de activos afectados en el STN y en el STR, ii) inventario de unidades constructivas o de activos afectados en el SDL y iii) cronograma de restauración de activos.
Con base en la solicitud de la empresa y la revisión de los informes y cronogramas de recuperación de los activos afectados, se propone:
a. Aumentar doce meses el plazo temporal para empezar a aplicar las compensaciones en los activos del STN y del STR, definido en los artículos 2 y 3 de la Resolución CREG 141 de 2017,
b. Adicionar un artículo para que la aplicación del anterior plazo se haga extensiva durante la aplicación de las disposiciones de la Resolución CREG 015 de 2018, y
c. Establecer una excepción a lo dispuesto en el literal a. del artículo 5.2.10 de la Resolución CREG 015 de 2018, relacionado con el cumplimiento de requisitos del esquema de calidad en los SDL.
R E S U E L V E:
Artículo 1. El artículo 2 de la Resolución CREG 141 de 2017 quedará así:
“Artículo 2. Aplicación temporal del numeral 4.8.2 del anexo general de la Resolución CREG 011 de 2009. Para los activos afectados en el STN identificados en el artículo 1, hasta el 30 de septiembre de 2021, a cambio de lo previsto en el numeral 4.8.2 del anexo general de la Resolución CREG 011 de 2009, o aquella que la modifique o sustituya, se aplicará lo siguiente:
Remuneración y Compensaciones en casos de indisponibilidad de un activo por catástrofes naturales
La remuneración del activo k, indisponible por causa de catástrofes naturales, no se reducirá durante los primeros cuarenta y ocho meses de indisponibilidad, contados a partir de la ocurrencia del Evento. Transcurrido este plazo, la indisponibilidad dará lugar a compensaciones.
Por tanto, para los casos de indisponibilidades originadas en la catástrofe natural ocurrida el 31 de marzo de 2017 en el municipio de Mocoa, departamento del Putumayo, la remuneración del activo k, en el mes m, para cada mes mi que este se encuentre indisponible será:
Donde:
IMRTm,k: Remuneración Temporal para el activo k, en el mes m, mientras el activo k esté indisponible por las causas citadas en este numeral. ($)
mi: Número de meses calendario completos transcurridos a partir de la ocurrencia del Evento, incluido el mes m, durante los cuales el activo k ha estado indisponible.
IMRm,k : Ingreso Mensual Regulado para remunerar el activo k, durante el mes m, tal como se define en el numeral 4.7 de este Anexo. ($)”
Artículo 2. El artículo 3 de la Resolución CREG 141 de 2017 quedará así:
“Artículo 3. Aplicación temporal del numeral 11.1.7 del anexo general de la Resolución CREG 097 de 2008. Para los activos afectados en el STR identificados en el artículo 1, hasta el 30 de septiembre de 2021, a cambio de lo previsto en el numeral 11.1.7 del anexo general de la Resolución CREG 097 de 2008, o aquella que la modifique o sustituya, se aplicará lo siguiente:
Remuneración en algunos casos de indisponibilidad
La remuneración del activo u, indisponible por causa de catástrofes naturales, no se reducirá durante los primeros cuarenta y ocho meses de indisponibilidad, contados a partir de la ocurrencia del Evento. Transcurrido este plazo, la indisponibilidad dará lugar a compensaciones.
Por tanto, para los casos de indisponibilidades originadas en la catástrofe natural ocurrida el 31 de marzo de 2017 en el municipio de Mocoa, departamento del Putumayo, la remuneración del activo u, en el mes m, para cada mes mi que este se encuentre indisponible será:
Donde:
IMRTm,u: Remuneración Mensual Temporal para el activo u, en el mes m, mientras el activo u esté indisponible por las causas citadas en este numeral.
mi: Número de meses calendario completos transcurridos a partir de la ocurrencia del Evento, incluido el mes m, durante los cuales el activo u, ha estado indisponible.
IMRm,u : Ingreso Mensual Regulado para remunerar el activo u, durante el mes m, tal como se define en el numeral 11.1.6 de este Anexo.”
Artículo 3. Adicionar el artículo 8 a la Resolución CREG 141 de 2017, el cual quedará así:
“Artículo 8. Aplicación temporal del numeral 5.1.13 del anexo general de la Resolución CREG 015 de 2018. Para los activos afectados en el STR identificados en el artículo 1, hasta el 30 de septiembre de 2021, a cambio de lo previsto en el numeral 5.1.13 del anexo general de la Resolución CREG 015 de 2018, o aquella que la modifique o sustituya, se aplicará lo siguiente:
Remuneración en algunos casos de indisponibilidad
La remuneración del activo u, indisponible por causa de catástrofes naturales, no se reducirá durante los primeros cuarenta y ocho meses de indisponibilidad, contados a partir de la ocurrencia del Evento. Transcurrido este plazo, la indisponibilidad dará lugar a compensaciones.
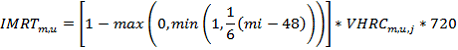
Por tanto, para los casos de indisponibilidades originadas en catástrofes naturales, tales como erosión (volcánica, fluvial o glacial), terremotos, maremotos, huracanes, ciclones y/o tornados y las debidas a actos de terrorismo, la remuneración del activo u en el mes m, para cada mes mi que este se encuentre indisponible será:
IMRTm,u: Ingreso mensual temporal para el activo u, en el mes m, mientras el activo u esté indisponible por las causas citadas en este numeral.
mi: Número de meses calendario completos transcurridos a partir de la ocurrencia del evento, incluido el mes m, durante los cuales el activo u ha estado indisponible.
VHRCm,u,j: Valor horario de referencia para el cálculo de la compensación del activo u, del OR j, durante el mes m.”
Artículo 4. Adicionar el artículo 9 a la Resolución CREG 141 de 2017, el cual quedará así:
“Artículo 9. Aplicación del literal a. del numeral 5.2.10 del anexo general de la Resolución CREG 015 de 2018. La condición establecida en el literal a. del numeral 5.2.10 del anexo general de la Resolución CREG 015 de 2018, en caso de ser necesario aplicarla, solo se hará a partir del mes de septiembre de 2019.”
Artículo 5. Vigencia. La presente resolución rige a partir de su publicación en el Diario Oficial.
PUBLÍQUESE Y CÚMPLASE
Firma del proyecto,
MARÍA FERNANDA SUÁREZ LONDOÑO | CHRISTIAN JARAMILLO HERRERA |
Ministra de Minas y Energía | Director Ejecutivo |
Presidente | |