| Publicación Diario Oficial No.: | , el día: |
| Publicada en la WEB CREG el: | |
| Resolución 099 de 1997 (17 de junio)
Por la cual se aprueban los principios generales y la metodología para el establecimiento de cargos por uso de los Sistemas de Transmisión Regional y/o Distribución Local.
Notas de vigencia: 3. Mediante la Resolución 82 de 2002, publicada en el Diario Oficial No. 45.044 de 24 de diciembre de 2002, "se aprueban los principios generales y la metodología para el establecimiento de los cargos por uso de los Sistemas de Transmisión Regional y Distribución Local"
2. Modificada por la Resolución 46 de 2002, publicada en el Diario Oficial No. 44.849, de 28 de junio de 2002, "Por la cual se modifica el artículo 8o. de la Resolución CREG-099 de 1997"
1. Modificada por la Resolución 42 de 2001, publicada en el Diario Oficial No. 44.456, del 15 de junio de 2001, "Por la cual se modifica la Resolución CREG-099 de 1997, en relación con los factores de pérdidas aplicables a usuarios conectados directamente al STN a través de un Transformador de Conexión". |
Artículo 2º. Principios generales. La metodología que se aplicará para el cálculo de los cargos por uso de los Sistemas de Transmisión Regional y/o Distribución Local tendrá en cuenta los siguientes principios generales:
a) Los cargos por uso de los Sistemas de Transmisión Regional (STR) y/o Distribución Local (SDL) serán aprobados por la Comisión de Regulación de Energía y Gas (CREG) de forma tal que los usuarios finales de las redes paguen un cargo único por su uso al comercializador que los atiende, independientemente del número de propietarios de las redes.
b) Cuando una empresa transportadora utilice redes de otros Sistemas de Transmisión Regional y/o Distribución Local, se considerará un usuario de esas redes y, en tal caso, deberá pagar al respectivo transportador el cargo que le haya sido aprobado a éste, en el nivel de tensión correspondiente.
c) Los cargos por uso que la CREG apruebe para un transportador incluirán los costos asociados con los sistemas eléctricos necesarios para llevar el suministro desde la conexión al Sistema de Transmisión Nacional (STN) hasta el punto de entrega al usuario.
d) Los transportadores que no estén conectados directamente al Sistema de Transmisión Nacional, son usuarios de otros transportadores, y en tal caso quedarán sujetos a lo dispuesto en el literal b de este artículo. Sin embargo, si tienen contratos de conexión al STN, mientras éstos se encuentren vigentes, deducirán el monto correspondiente al cargo por concepto de conexión al STN, de la suma que resulte a su cargo por concepto del uso de otros sistemas.
e) Los transportadores del Sistema de Transmisión Nacional sólo ofrecerán contratos de conexión a quienes físicamente estén conectados o vayan a conectarse al mismo.
f) En el caso de Sistemas de Transmisión Regional y/o Distribución Local en los cuales existan activos de dos o más propietarios, corresponde a éstos acordar la remuneración de cada propietario individual de los activos. con base en los cargos que la CREG apruebe para el respectivo STR y/o SDL.
Artículo 3º. Cargos por uso de los Sistemas de Transmisión Regional y/o Distribución Local. Los cargos por uso de los Sistemas de Transmisión Regional y/o Distribución Local estarán sujetos a las siguientes normas:
a) Los comercializadores de usuarios regulados, los usuarios no regulados a través del respectivo comercializador, y otros transportadores que sean usuarios de Sistemas de Transmisión Regional y/o Distribución Local, pagarán a los transportadores los cargos aprobados por la CREG por uso de los STR y/o SDL, de acuerdo con la metodología para el cálculo de estos cargos que se define en el Anexo No. 1 de la presente resolución.
b) Los cargos remunerarán al transportador la infraestructura eléctrica necesaria para llevar el suministro desde la salida del Sistema de Transmisión Nacional, hasta el punto de entrega al usuario. Incluyen los costos de conexión del sistema del transportador al STN, pero no incluyen los costos de conexión del usuario al respectivo sistema.
c) Los cargos no incluyen el costo de la generación asociada a las pérdidas de energía que se presentan en el sistema del transportador.
d) En caso de que el comercializador sea una empresa diferente de la que realiza la actividad de transmisión regional y/o distribución local, y cuando el Sistema de Transmisión Regional y/o Distribución Local no esté conectado directamente al STN, las ventas de energía que haga el comercializador se referirán al nivel de tensión de 220 kV para efectos de liquidar los cargos por uso del STN y las cuentas ante el SIC, con los siguientes porcentajes de pérdidas acumuladas, referidos a la energía medida en la frontera comercial, a partir del 1º de enero de 1998: Nivel IV: 1.5%; Nivel III: 3.0%; Nivel II: 5.0%; Nivel I: 15% para el primer año, con reducción de un punto porcentual, en este último nivel, para cada uno de los años siguientes del período regulatorio.
e) Cuando un transportador demuestre que una parte del Sistema de Transmisión Regional y/o Distribución Local asociado a un determinado nivel de tensión, está siendo utilizado en forma exclusiva por un grupo de usuarios, podrá solicitar a la Comisión de Regulación de Energía y Gas la aprobación de cargos específicos para ese grupo de usuarios, por el uso del sistema en el respectivo nivel de tensión, mediante solicitud motivada y debidamente sustentada en un estudio técnico.
Artículo 4º. Liquidación de cargos por uso de los Sistemas de Transmisión Regional y/o Distribución Local. Los cargos por uso de los Sistemas de Transmisión Regional y/o Distribución Local se liquidarán a los usuarios de los mismos así:
a) Usuarios no regulados: A través del correspondiente comercializador, mediante los cargos monomios horarios ($/kWh) aprobados para el respectivo nivel de tensión, los cuales serán aplicados al consumo horario registrado en el medidor ubicado en la frontera comercial.
b) Usuarios del mercado regulado: A través del correspondiente comercializador, mediante el cargo monomio ($/kWh) aprobado para el respectivo nivel de tensión, aplicable a la energía facturada correspondiente al período de facturación. A partir del cuarto año de vigencia de los cargos, éstos se liquidarán sobre la energía medida en el respectivo nivel de tensión.
c) Otros transportadores: Mediante el cargo monomio ($/kWh) aprobado para el respectivo nivel de tensión, aplicable a la energía mensual medida en la frontera entre los dos sistemas.
Artículo 5º. Transporte de energía reactiva. A partir de la vigencia de la presente resolución, y hasta tanto la Comisión reglamente el suministro y consumo de energía reactiva en el Sistema Interconectado Nacional, en caso de que ésta sea mayor al cincuenta por ciento (50%) de la energía activa (kWh) entregada a un usuario de los Sistemas de Transmisión Regional y/o Distribución Local, el exceso sobre este límite se considerará como energía activa para efectos de liquidar el cargo por uso del respectivo sistema.
Artículo 6º. Cargos de conexión a los Sistemas de Transmisión Regional y/o Distribución Local. Cuando un generador, un transportador o un usuario no regulado desee conectarse, o modificar la conexión existente, a un Sistema de Transmisión Regional y/o Distribución Local, y el generador, transportador o usuario no sea el propietario de los activos de conexión al Sistema de Transmisión Regional y/o de Distribución Local, pagará cargos de conexión al propietario de los mismos. Estos cargos deberán ser acordados por las partes.
Artículo 7º. Actualización de los cargos. Los cargos por uso de los Sistemas de Transmisión Regional y/o Distribución Local serán actualizados mediante el procedimiento descrito en el Anexo No. 1 de la presente resolución. Los transportadores harán públicos, antes del 15 de enero de cada año, los cargos que aplicarán por el uso de las redes para el año respectivo.
Artículo 8º. Vigencia de los cargos. Los cargos que apruebe la Comisión por uso de los Sistema de Transmisión Regional y/o Distribución Local tendrán una vigencia de cinco (5) años, contados a partir del primero de enero de 1998. En el mes de junio del quinto año de vigencia de los cargos, los transportadores deberán someter a aprobación de la Comisión, sujetos a la metodología establecida en el Anexo No 1 de la presente resolución, el estudio de los cargos aplicables a partir del primero de enero del primer año de la siguiente vigencia de los cargos.
Parágrafo 1º. Los transportadores deberán someter a aprobación de la Comisión, a más tardar el día 31 de julio de 1997, el estudio de los cargos aplicables por el período de cinco (5) años, contado a partir del 1º de enero de 1998. Con base en la metodología establecida en esta resolución, la Comisión aprobará los cargos, que regirán por cinco años, contados a partir del primero (1º) de enero de 1998 y hasta el 31 de diciembre del año 2002. Si con posterioridad al 1º de enero de 1998, un transportador solicita a la Comisión aprobar cargos por uso, tales cargos estarán vigentes por el lapso de tiempo que falte entre la aprobación y el 31 de diciembre del año 2002.
Parágrafo 2º. Dentro de los cinco (5) días siguientes al envío de la información a la Comisión, cada transportador deberá publicar en un diario de amplia circulación en la zona donde presta el servicio, o en uno de circulación nacional, un resumen del estudio de cargos que presentó a la Comisión, con el fin de que los terceros interesados puedan presentar ante la Comisión observaciones sobre tales costos, dentro del mes siguiente a la fecha de publicación. Adicionalmente, deberá enviar a la Comisión copia del aviso de prensa respectivo.
Parágrafo 3º. Antes de doce meses de la fecha prevista para que termine la vigencia de los cargos, la Comisión de Regulación de Energía y Gas pondrá en conocimiento de los transportadores las bases sobre las cuales efectuará el estudio para determinar los cargos del período siguiente.
Parágrafo 4º. Vencido el período de vigencia de los cargos por uso que apruebe la Comisión, continuarán rigiendo hasta tanto la Comisión no apruebe los nuevos.
Artículo 9º. Pruebas. La aprobación de los cargos por uso a cada transportador se adelantará dando aplicación a la presunción de buena fe prevista en el artículo 83 de la Constitución. Se presumirá, por tanto, que las informaciones que aporte el peticionario a la Comisión son veraces, y que los documentos que aporte son auténticos. Sin embargo, dentro del mes siguiente a la fecha en que el transportador haga la publicación mediante la cual divulgue los cargos que propone cobrar, determinados según la metodología general aprobada por la Comisión, y habiendo oído a los interesados intervinientes, si existen diferencias de información o de apreciación sobre aspectos que requieran conocimientos especializados, o la Comisión considera necesario decretar pruebas, el Director Ejecutivo podrá ordenarlas, de acuerdo con lo establecido por el artículo 108 de la Ley 142 de 1994.
Artículo 10º. Decisión sobre los cargos por uso de cada transportador. Una vez analice la información presentada por los transportadores, habiendo dado oportunidad de ser oídos a los interesados, y practicadas las pruebas a que pueda haber lugar, conforme a la Ley, la Comisión procederá a aprobar los cargos por uso de los Sistemas de Transmisión Regional y/o Distribución Local de cada transportador.
Parágrafo. En el evento en que un transportador se abstenga de presentar ante la Comisión los datos a que se refiere esta resolución, la Comisión adelantará de oficio la correspondiente actuación, con los elementos de juicio que tenga a su disposición.
Artículo 11º. Recursos. De acuerdo con lo previsto por el artículo 113 de la Ley 142 de 1994, contra la decisión mediante la cual la Comisión apruebe los cargos por uso de cada t
ransportador, procede el recurso de reposición, el cual podrá interponerse anta la Dirección Ejecutiva de la Comisión, dentro de los cinco (5) días hábiles siguientes a la fecha en que sea notificada o publicada, según el caso.
Artículo 12º. Vigencia de la presente resolución. La presente resolución rige a partir de la fecha de su publicación en el Diario Oficial, con excepción de lo dispuesto en los artículos 2º al 7º, los cuales regirán a partir del 1º de enero de 1998. A partir de la publicación de esta Resolución en el Diario Oficial, derógase la metodología para el establecimiento de cargos por uso de los Sistemas de Transmisión Regional y/o Distribución Local contenida en la Resolución CREG-004 de 1994. A partir del 1º de enero de 1998, deróganse las demás disposiciones contenidas en la resolución CREG-004 de 1994.
Publicada en el Diario Oficial No. 43.078 de julio 8 de 1997 |
PUBLÍQUESE Y CÚMPLASE
Dada en Santa Fe de Bogotá, D.C., el día 17 de junio de 1997
 | CARLOS CONTE LAMBOGLIA
Ministro de Minas y Energía (E)
Presidente | EDUARDO AFANADOR I
Director Ejecutivo |
Conceptos CREG sobre la materia:
Ofic. MMECREG - 1904; 95/12/15
Ofic. MMECREG - 1593; 95/10/26;
Ofic. MMECREG - 2194; 96/11/20;
Ofic. MMECREG - 239; 96/02/19; |
ANEXO No 1 METODOLOGÍA PARA EL ESTABLECIMIENTO DE CARGOS POR USO DE LOS SISTEMAS DE TRANSMISIÓN REGIONAL Y/O DISTRIBUCIÓN LOCAL
La metodología que deben utilizar los transportadores en todos los niveles de tensión, para el cálculo de los cargos por uso de los STR y SDL será la de costos medios por energía.
Para el nivel de tensión I, a las empresas que demuestren que tienen costos marginales mayores a los costos medios, bajo las mismas condiciones de eficiencia establecidas en la presente resolución, la Comisión les reconocerá el costo marginal. Para ello deberán sustentar técnicamente la validez de su función de producción, con base en la cual calcula su costo marginal en este nivel de tensión.
Los cargos por uso que apruebe la CREG a los transportadores, reconocerán los costos en que éstos incurren, dentro de condiciones de eficiencia, para cumplir con su propósito. Una parte de estos costos provienen de la necesidad de mantener un acervo de capital y comprenden, tanto los asociados con la depreciación de los activos, como los relacionados con el costo de oportunidad de dicho capital. Los demás costos, provienen de los gastos de administración, operación y mantenimiento de la infraestructura eléctrica, así como de los pagos que deben realizar a terceros por concepto de conexiones al Sistema de Transmisión Nacional y/o Sistemas de Transmisión Regional o Distribución Local, y los pagos por servicios de Centros Regionales de Despacho que haya aprobado la Comisión.
1. INVENTARIO DE ACTIVOS
Los cargos se deben calcular para el sistema existente que guarde relación con los flujos de energía anuales utilizados para realizar el estudio. Los activos que estén construidos pero que no se hubieran puesto en operación, o activos que estén próximos a entrar en operación, y por los cuales las empresas hubieran pagado, se considerarán como parte del sistema existente, para efectos de calcular los cargos.
a) Activos eléctricos: Los transportadores deberán realizar un inventario de los activos que efectivamente utilizan en la prestación del servicio, independientemente del tiempo que estos lleven operando, asignándolos al nivel de tensión que sirven, siempre y cuando se trate de activos asociados a redes públicas. Para el caso del nivel de tensión I, el inventario se debe estimar a partir de una muestra representativa de dicho nivel Las empresas deberán diseñar la metodología de muestreo conforme al marco muestral constituido para efectos de estimar los costos de la red secundaria. El tamaño de la muestra deberá garantizar globalmente una confiabilidad mayor del 90% y un error relativo de muestreo menor del 5%. Este inventario se debe realizar de acuerdo con los formatos que se presentan en el Anexo No 2, los cuales deberán conservar las empresas para su eventual revisión por parte de la CREG. El resumen del inventario se debe presentar de acuerdo con los formatos que se incluyen en el Anexo No. 3, con el siguiente detalle:
_ Activos de Conexión: Transformadores conectados al STN y el módulo de transformación de alta tensión. Los módulos de transformador de baja tensión pueden ser considerados como parte de la conexión.
_ Activos del nivel IV [> o = 62 kV]: Módulos de transformadores de conexión con voltaje secundario perteneciente al nivel IV, cuando estos no estén considerados en la conexión al STN; módulos de línea con voltajes pertenecientes al nivel IV y líneas de transmisión con voltajes pertenecientes al nivel IV.
_ Activos del nivel III [> o = 30 kV, < 62 kV]: Módulos de transformadores de conexión con voltaje secundario perteneciente al nivel III, cuando estos no estén considerados en la conexión al STN; módulos de transformadores con voltajes pertenecientes al nivel III; transformadores con voltajes secundarios pertenecientes al nivel III; módulos de línea con voltajes pertenecientes al nivel III; líneas de transmisión o circuitos con voltajes pertenecientes al nivel III y otros equipos asociados al nivel (Equipo de maniobra, equipos de compensación, etc.).
_ Activos del nivel II [> o = 1 kV, < 30 kV]: Módulos de transformadores de conexión con voltaje secundario perteneciente al nivel II, cuando estos no estén considerados en la conexión al STN; módulos de transformadores con voltajes pertenecientes al nivel II; transformadores con voltajes secundarios pertenecientes al nivel II; módulos de línea con voltajes pertenecientes al nivel II; líneas de transmisión o circuitos primarios con voltajes pertenecientes al nivel II y otros equipos asociados al nivel (Equipo de maniobra, equipos de compensación, etc.)
_ Activos del nivel I < 1 kV]: Transformadores de distribución con voltaje secundario perteneciente al nivel I; redes secundarias aéreas y subterráneas valoradas por calibre de conductor y otros equipos asociados al nivel (Pararrayos, cortacircuitos, etc.).
Dentro de los activos de cada nivel de tensión, deben incluirse los equipos de medida asociados al respectivo nivel.
Los costos por Centros Locales de Distribución deberán asignarse a los respectivos niveles de tensión, en función del monto de los activos en cada nivel. Considerando que tales Centros de Distribución conllevan una reducción de los costos de operación de los Sistemas de Distribución Local, solo se remunerará el 50% del valor de estos activos.
b) Activos no eléctricos: Corresponden a los activos no eléctricos requeridos en las actividades de Transmisión Regional y/o Distribución Local y son: Edificios, Vehículos y Maquinaria, Muebles, y Equipos de Cómputo. Estos deberán reportarse a la CREG en los formatos que se incluyen en el Anexo No. 3.
La CREG reglamentará la admisibilidad de estos activos para el siguiente período de vigencia de la metodología general. Para el primer período de vigencia, se aceptará para ellos un valor máximo equivalente a un 8% sobre el valor de los activos eléctricos asociados con cada nivel de tensión.
Así mismo, las empresas deberán presentar la lista de los activos eléctricos que normalmente se encuentran fuera de servicio, pero que se tienen disponibles por confiabilidad del sistema. Para estos activos particulares se reconocerán los gastos de AOM. Estos gastos se calcularán multiplicando el costo de reposición de estos activos por el porcentaje que por concepto de AOM se reconoce para los activos del nivel de tensión correspondiente.
La Comisión podrá ordenar la realización de una auditoría de los inventarios de activos en servicio que los transportadores reporten a la misma, con el fin de que les sean remunerados a través de los cargos.
2. VALORACIÓN DE ACTIVOS.
Los activos que entren en el inventario se valorarán utilizando costos unitarios que representen su valor de reposición, independientemente del tiempo que llevan operando. Estos costos deberán ser reportados a la Comisión, con el fin de efectuar un análisis comparativo de los costos de reposición que reporte cada transportador, y aprobar los costos de reposición que se reconocen.
a) Unidades constructivas: Para la valoración de los diversos componentes del sistema, estos se considerarán compuestos por “unidades de costo” o “unidades constructivas”.
Para las líneas de transmisión, circuitos y redes las unidades serán:
_ Kilómetro de línea
_ Kilómetro de circuito primario
_ Kilómetro de red
Para las subestaciones las unidades serán:
_ Bahías de Línea
_ Bahías de Transformador
_ Transformadores de Potencia
Para circuitos primarios y redes se consideraran las siguientes unidades constructivas:
_ Transformadores de Distribución
_ Equipo de compensación (KVAR)
_ Equipo de Protección (Pararrayos y Cortacircuitos)
_ Equipo de maniobra
Por simplicidad, para valorar líneas, circuitos primarios y redes de distribución secundaria, se deben utilizar los conductores normalizados que tenga la empresa, o en su defecto, utilizar los siguientes:
_ 1/0 AWG Para calibres iguales o menores al 1/0 AWG
_ 4/0 AWG Para calibres iguales o menores al 4/0 AWG
_ 336 MCM Para tamaños iguales o menores al 336 MCM
_ 556 MCM Para tamaños iguales o menores al 556 MCM
_ 795 MCM Para tamaños iguales o menores al 795 MCM
Las unidades de costos deben utilizar solamente dos tipos de apoyos: Metálico o Concreto (la madera se asimila al concreto), tanto para circuitos sencillos, como para circuitos dobles.
Para valorar Módulos de subestación (de línea o de transformación) se deben utilizar módulos típicos. Los utilizados en la valoración anterior fueron los siguientes:
_ Tipo 1 Barra Principal y Transferencia
_ Tipo 2 Barra sencilla
_ Tipo 3 Reconectador y seccionador
_ Tipo 4 Seccionador fusible
_ Tipo 5 Celdas
_ Tipo 6 Cortacircuitos
_ Tipo 7 Otros
Las unidades constructivas deben incluir todos los elementos asociados a cada módulo, tales como:
_ Costos de tableros (Protección, Medida y Control)
_ Costos de equipo común, tales como transformador de tensión, equipos auxiliares AC y DC (Un porcentaje del costo de este equipo común se aplica al costo de cada módulo en proporción al número total de módulos existentes en la subestación.)
_ Costo de módulos comunes, tales como: módulo de seccionamiento de barras, módulo de transferencia, módulo de acople de barras (Un porcentaje del costo de estos módulos comunes se aplica al costo de cada módulo en proporción al número total de módulos existentes en la subestación.)
_ Costo de otros equipos no considerados en los anteriores (al igual que en los casos anteriores, en proporción al número de módulos)
_ Costo de Áreas Locativas (A cada módulo se debe asignar un costo por este concepto en proporción al número de módulos de la subestación)
_ Costo de capital invertido en terrenos (A cada módulo se debe asignar un área de terreno en proporción al número de módulos de la subestación). La Comisión unificará el área de terreno admisible por módulo.
_ Costo de repuestos básicos para la operación confiable
El terreno asociado a un módulo hace parte del costo de una unidad constructiva, pero como este es un bien que no se repone, se considera el costo del capital invertido en este, como un arriendo anual del 12% sobre el valor comercial del éste.
Adicionalmente, las “unidades constructivas” deben considerar todos los costos asociados al activo montado y en operación, tales como:
_ Flete marítimo
_ Seguros marítimos
_ Gastos portuarios
_ Arancel
_ IVA
_ Transporte terrestre
_ Seguros terrestres
_ Montaje y pruebas
_ Supervisión de montaje
_ Obras civiles
_ Ingeniería y administración
_ Costos financieros (intereses durante construcción)
_ Imprevistos
b) Tasa de Retorno
Será del nueve por ciento (9%) anual real, antes de impuestos, sobre los activos a ser remunerados, según esta metodología, valorados a precios de reposición.
c) Vidas útiles a considerar
El período de vida útil, para la valoración de los activos, será:
_ Líneas de transmisión 25 años
_ Circuitos primarios 25 años
_ Redes de distribución 25 años
_ Transformadores de Potencia 25 años
_ Subestaciones (eq. Asociado) 25 años
_ Transformadores de Distribución 15 años
_ Equipos de maniobra, otros 15 años
_ Equipos de Centros de Distribución 15 años
_ Equipo de comunicaciones 10 años
_ Maquinaria 15 años
_ Construcciones 50 años
_ Vehículos 10 años
_ Muebles 10 años
_ Equipos de cómputo 5 años
d) Costo anual equivalente de activos
Las empresas deberán calcular un costo anual equivalente de los activos asignados a cada nivel de tensión, utilizando las vidas útiles establecidas para cada tipo de activo y la tasa de retorno reconocida.
3. GASTOS DE ADMINISTRACIÓN, OPERACIÓN Y MANTENIMIENTO
Los gastos anuales por concepto de Administración, Operación y Mantenimiento se calcularán como un porcentaje del valor de reposición de los activos eléctricos en cada uno de los niveles de tensión.
Para los niveles de tensión IV y III, se calcularán como el 2% del valor de reposición de los activos eléctricos; y para los niveles de tensión II y I se calcularán como el 4% del valor de reposición de los activos eléctricos. En zonas de alta contaminación salina, se tendrá un 0.5% adicional por este concepto.
Cuando los transportadores presenten estudios detallados, de acuerdo con el Plan Único de Cuentas de la Superintendencia de Servicios Públicos, la CREG podrá estudiar la adopción de valores diferentes por este concepto para los siguientes períodos de regulación, posteriores al 31 de diciembre del año 2002.
4. MODELAJE DE LA RED
Los transportadores deben presentar el modelo detallado de sus Sistemas de Transmisión Regional y/o Distribución Local para cada nivel de tensión.
Para este modelaje deberán utilizar los flujos de energía correspondientes al último año histórico, con las inyecciones reales a la red en los diferentes niveles de tensión, y las ventas reales en los niveles IV, III, y II. El modelaje de los flujos se completará asumiendo los siguientes porcentajes de pérdidas acumulados, referidos a la energía disponible total: Nivel IV 1.5%, Nivel III 3.0%, Nivel II 5.0%, y Nivel I 15.0%.
En los casos en que el Sistema de Transmisión Regional y/o Distribución Local de una empresa no cuente con los cuatro niveles de tensión, se reconocerán los porcentajes de pérdidas marginales de cada nivel.
[
5. CÁLCULO DE LOS CARGOS
Los transportadores deben calcular los cargos correspondientes al sistema propio, entendiéndose por sistema propio la infraestructura eléctrica, independientemente de la propiedad de la misma, requerida para prestar el servicio en una determinada área geográfica, y que cuente con conexión física, ya sea al Sistema de Transmisión Nacional, o a otro Sistema de Transmisión Regional y/o Distribución Local.
Dado que el cálculo de los cargos de algunos transportadores depende de los cargos que se aprueben a otros, la Comisión realizará los ajustes correspondientes a los cargos, cuando éstos dependan de los cargos aprobados a otros transportadores. Para este fin, es necesario que las empresas informen a la Comisión, sobre las cantidades de energía recibidas en cada nivel de tensión, de cada uno de los transportadores que les prestan el servicio de transporte, correspondientes al último año histórico. Igualmente, deben informar a la Comisión sobre los montos de la facturación causada por concepto de conexión al Sistema de Transmisión Nacional o uso de Sistemas de Transmisión Regional y/o Distribución Local correspondientes a cada uno de los meses del último año histórico.
a) Cálculo del costo acumulado hasta cada nivel de tensión
Los cargos por uso de los STR y/o SDL que los transportadores presenten a la Comisión para su aprobación, serán acumulados por nivel de tensión y deben corresponder al sistema propio. El procedimiento para determinar los cargos acumulados por nivel de tensión requiere que se realice primero una acumulación de costos por nivel de tensión, y luego se determine el cargo acumulado correspondiente.
El costo acumulado hasta un nivel de tensión determinado está dado por los costos propios de ese nivel, más los costos acumulados de otros niveles multiplicado por la relación entre los flujos que salen hacia el nivel en que se está acumulando el costo, y los flujos totales que salen de esos niveles.
El costo propio de un nivel de tensión está dado por: El costo anual equivalente de los activos asignados al nivel, los gastos de AOM, los pagos o costos por concepto de conexión al STN de ese nivel, y los montos de la facturación causada por concepto de uso de otros sistemas correspondientes a los flujos de energía que entran a ese nivel.
La acumulación de costos hasta un nivel de tensión determinado se puede realizar utilizando:
_ Flujos de potencia coincidente
_ Flujos de energía
Los transportadores deberán presentar a la Comisión los respectivos costos acumulados y las memorias de cálculo correspondientes.
b) Cargos monomios: Los cargos monomios acumulados en cada nivel de tensión se calculan dividiendo el costo acumulado del nivel entre la energía útil de cada nivel. La energía útil se calcula como la energía disponible menos las pérdidas reconocidas, de acuerdo con el modelaje de la red.
c) Cargos monomios horarios: Los cargos monomios acumulados por nivel de tensión, con diferenciación horaria, se calculan a partir de los respectivos cargos monomios acumulados siguiendo el siguiente procedimiento:
_ Elaboración de curvas de carga típicas por niveles de tensión que reflejen el uso real de dicho sistema en ese nivel.
_ Determinación de períodos horarios de carga máxima, media y mínima con base en las curvas de carga anteriores.
_ Asignación de costos a cada período horario en función de la potencia promedio de cada período.
En el Anexo No 4 de la presente resolución se presenta el procedimiento para calcular cargos monomios con diferenciación horaria, a partir de un cargo monomio acumulado por nivel de tensión.
6. LÍMITES MÁXIMOS EN LOS CARGOS
En el caso de los transportadores cuyo estudio de costos genere cargos por uso superiores al 120% del cargo promedio nacional en cada nivel de tensión, la Comisión adoptará una estructura de costos que considere el promedio nacional, ponderado por energía, de cada nivel de tensión, con un límite máximo para esas empresas, del 120% de dicho promedio, con el fin de proteger a los usuarios de enfrentar sobrecostos por la expansión no económica de los Sistemas de Transmisión Regional y/o Distribución Local.
7. TRATAMIENTO DE LAS PÉRDIDAS
Los cargos de transporte se calculan con los flujos de energía modelados por el transportador que cumplan con los porcentajes de pérdidas reconocidos.
Las pérdidas totales reconocidas para los cargos que se pondrán en vigencia a partir del 1º de enero de 1998, son del 15%, referidas a la energía disponible, entendiéndose por ésta, la que ingresa al sistema del transportador a través del Sistema de Transmisión Nacional, otros Sistemas de Transmisión Regional y/o Distribución Local, y la generada en el mismo sistema. Para cada uno de los años siguientes del período de vigencia de los cargos, el índice de pérdidas reconocido del 15% se disminuirá en el uno por ciento (1%), el cual se considerará a través de un factor de ajuste anual en el valor de los cargos, para evitar el recálculo de los mismos.
Durante los tres primeros años de vigencia de los cargos, el transportador liquidará los cargos al comercializador con base en la energía facturada por este último a los usuarios de ese sistema.
A partir del cuarto año, si el transportador tiene instalados los equipos que permitan medir la energía entregada en cada nivel de tensión, facturará los cargos con base en la energía medida, disminuida en los niveles de pérdidas permitidos en cada nivel de tensión.
Por otra parte, si el transportador no instala los equipos de medición antes de terminar el tercer año de vigencia de los cargos, a partir del cuarto año será responsable por el exceso de pérdidas entre las que se le reconozcan a los comercializadores usuarios de su red y las que se presenten en el sistema, valoradas al precio de compra que salga de la fórmula tarifaria para los usuarios del mercado regulado de los respectivos comercializadores.
8. ACTUALIZACIÓN DE LOS CARGOS
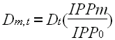
Los cargos se actualizarán mensualmente con el Índice de Precios al Productor Total Nacional (IPP), de acuerdo con la siguiente fórmula:
donde:
t: Años transcurridos desde el inicio de la aplicación de los cargos (t= 0, 1, 2, 3, 4)
Dm,t: Cargo por uso correspondiente al mes m de prestación del servicio, para el año t de aplicación de los cargos.
Dt: Cargo por uso del mes al que están referidos los cargos que apruebe la Comisión, debidamente ajustado, como se indica más adelante.
IPPm: Índice de Precios al Productor Total Nacional correspondiente al mes de prestación del servicio.
IPP0: Índice de Precios al Productor Total Nacional correspondiente al mes al que están referidos los cargos aprobados por la Comisión.
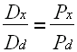
Transcurrido un año de vigencia de los cargos, al inicio de cada año, se hará un ajuste que refleje los incrementos en productividad de las empresas y la disminución en las pérdidas permitidas, por medio de la siguiente expresión:
donde:
Dt Cargo por uso, en precios constantes de la fecha a la que están referidos los cargos aprobados por la Comisión, a cobrar durante el año t de vigencia de los cargos.
Dt-1 Cargo por uso, en precios constantes de la fecha a la que están referidos los cargos aprobados por la Comisión, correspondiente al año anterior.
IPSE Variación porcentual anual del Índice de Productividad del Sector Eléctrico. Para el primer período de regulación, esta variación se asumirá como del 1% anual.
PR Variación en las pérdidas reconocidas. Para el primer período regulatorio corresponde al 1% anual.
 | CARLOS CONTE LAMBOGLIA
Ministro de Minas y Energía (E)
Presidente | EDUARDO AFANADOR I
Director Ejecutivo |

Formato 2.8

Nota 1: Cantidades Equipo de Patio

 | CARLOS CONTE LAMBOGLIA
Ministro de Minas y Energía (E)
Presidente | EDUARDO AFANADOR I
Director Ejecutivo |
 | CARLOS CONTE LAMBOGLIA
Ministro de Minas y Energía (E)
Presidente | EDUARDO AFANADOR I
Director Ejecutivo |
 | CARLOS CONTE LAMBOGLIA
Ministro de Minas y Energía (E)
Presidente | EDUARDO AFANADOR I
Director Ejecutivo |
|
Doble click sobre el archivo anexo para bajarlo(Resoluciones CREG) |
Doble click sobre el archivo anexo para bajarlo(Documento CREG) |
|