Publicación Diario Oficial No.: , el día:
Publicada en la WEB CREG el:
Resolución No. 51
(Abril 14 de 1998)


Por la cual se aprueban los principios generales y los procedimientos para definir el plan de expansión de referencia del Sistema de Transmisión Nacional y se establece la metodología para determinar el Ingreso Regulado por concepto del Uso de este Sistema.

Notas de Vigencia: 3. Modificada por la Resolución CREG-22 de 2001, publicada en el Diario Oficial No. 44.349, del 7 de marzo de 2001, según lo determina el artículo 11 de la misma "por la cual se modifican e incorporan las disposiciones establecidas en la Resolución CREG-051 de 1998, modificada por las Resoluciones CREG-004 y CREG-045 de 1999, mediante las cuales se aprobaron los principios generales y los procedimientos para definir el plan de expansión de referencia del Sistema de Transmisión  Nacional, y se estableció la  metodología para determinar el Ingreso Regulado por concepto del Uso de este Sistema".
2. Modificada por la Resolución CREG- 4 de 1999, publicada en el Diario Oficial No. 43.497, del 09 de febrero de1999,  según lo determina el artículo 11 de la misma, "Por la cual se aclaran y/o modifican las disposiciones establecidas en la Resolución CREG- 051 de 1998, en la cual se aprobaron los principios generales y los procedimientos para definir el plan de expansión de referencia del Sistema de Transmisión Nacional y se estableció la metodología para determinar el Ingreso Regulado por concepto del Uso de este Sistema.
1. Modificada por el artículo 1o. de la Resolución CREG - 128 de 1998, "Por la cual se modifica el artículo 4o de la Resolución CREG-051 de 1998."



















LA COMISIÓN DE REGULACIÓN DE ENERGÍA Y GAS


            en ejercicio de las atribuciones legales, en especial las conferidas por las Leyes 142 y 143 de 1994, y los decretos 1524 y 2253 de 1994.




C O N S I D E R A N D O:



Que el Artículo 39 de la Ley 143 de 1994, establece que los cargos asociados con el acceso y uso del Sistema de Transmisión Nacional (STN) deben cubrir los costos de inversión de las redes, incluido el costo de oportunidad de capital y los costos de administración, operación y mantenimiento, en condiciones adecuadas de calidad y confiabilidad y en condiciones óptimas de gestión, teniendo en cuenta criterios de viabilidad financiera;

Que la Resolución CREG-001 de 1994 en su Artículo 8o., establece los “Criterios Básicos de Planeamiento” de la expansión del STN;

Que el Artículo 18o. de la Ley 143 de 1994 determina, que compete al Ministerio de Minas y Energía definir los planes de expansión de la red de interconexión, racionalizando el esfuerzo del Estado y de los particulares para la satisfacción de la demanda Nacional de electricidad en concordancia con el Plan Nacional de Desarrollo y el Plan Energético Nacional;

Que el mismo Artículo establece que el Gobierno Nacional, tomará las medidas necesarias para garantizar la puesta en operación de aquellos proyectos previstos en el plan de expansión de referencia del sector eléctrico, que no hayan sido escogidos por otros inversionistas, de tal forma que satisfagan los requerimientos de infraestructura contemplados en dicho plan;

Que el numeral 3.8 del artículo 3. De la ley 142 de 1994 determina que constituyen instrumentos de intervención estatal aquellos que promuevan un estímulo a la inversión de los particulares en los servicios públicos;

Que el Artículo 32o. de la Ley Eléctrica establece que el objeto social de la empresa Interconexión Eléctrica S.A., es el de atender la operación y mantenimiento de la red de su propiedad, la expansión de la red nacional de interconexión, la planeación y coordinación de la operación del sistema interconectado nacional y la prestación de servicios técnicos en activi-da-des relacionadas con su objeto social;

Que el artículo 28 de la ley 143 de 1994 determina que las empresas que sean propietarias de líneas, subestaciones y equipos señalados como elementos de la red nacional de interconexión, mantendrán la propiedad de los mismos pero deberán operarlos con sujeción al Reglamento de Operación y a los acuerdos adoptados por el Consejo Nacional de Operación;

Que el artículo 74 de la ley 143 de 1994 determinó que “las empresas que se constituyan con posterioridad a la vigencia de esta ley con el objeto de prestar el servicio público de electricidad y que hagan parte del sistema interconectado nacional no podrán tener más de una de las actividades relacionadas con el mismo, con excepción de la comercialización que puede realizarse en forma combinada con una de las actividades de generación y distribución”;

Que el parágrafo 3 del artículo 32 de la ley 143 determina que “la empresa encargada del servicio de interconexión nacional, no podrá participar en actividades de generación, comercialización y distribución de electricidad”;

Que en el Artículo 16o. de la Resolución CREG-001 de 1994, se adoptó el criterio de Ingreso Regulado para remunerar al STN, fijando como base para su cálculo la fórmula contenida en el Anexo No. 1 de la misma Resolución;

Que mediante la Resolución CREG-218 de 1997, la Comisión de Regulación de Energía y Gas estableció las bases sobre las cuales modificaría la Resolución CREG-001 de 1994, en lo referente a los criterios básicos de planeamiento de la expansión del STN y la metodología para la definición de los Ingresos Regulados de dicho Sistema;

Que en el Artículo 9o. de la misma Resolución se estableció un plazo máximo de un (1) mes, posterior a la vigencia de la norma, para que las empresas transportadoras, el Consejo Nacional de Operación y los terceros interesados, presentaran observaciones sobre lo establecido en esa Resolución;

Que analizadas las observaciones presentadas a la Comisión, se encontró pertinente aceptar algunas de ellas, relacionadas con la conformación del Comité Asesor de Planeamiento de la UPME, la precisión sobre la actualización de los Ingresos propuestos en los Procesos de Selección, la definición de las pólizas de cumplimiento, los costos de las interventorías, la precisión sobre las obligaciones de los proponentes seleccionados; manejo de las solicitudes de conexión y el tratamiento de las pérdidas del STN;

R E S U E L V E:



Artículo 1o. Definiciones
. Para efectos de la presente Resolución, se tendrán en cuenta las siguientes definiciones:

Activos de Conexión. Son aquellos activos que se requieren para que un generador, un usuario u otro transportador, se conecten físicamente al Sistema de Transmisión Nacional, a un Sistema de Transmisión Regional, o a un Sistema de Distribución Local. Siempre que estos activos sean usados exclusivamente por el generador, el usuario o el transportador que se conecta, no se considerarán parte del Sistema respectivo.


Costo Unitario por Unidad Constructiva (CU).
Valor unitario en el mercado de una Unidad Constructiva ($/Unidad Constructiva).


Distribuidor Local (DL).
Persona jurídica que opera y transporta energía eléctrica en un Sistema de Distribución Local, o que ha constituido una empresa en cuyo objeto está el desarrollo de dichas actividades.


Punto de Conexión al STN.
Es el barraje perteneciente al STN, con tensión igual o superior a 220 kV, al cual se encuentra conectado o proyecta conectarse un generador, un usuario u otro transportador.


Sistema de Transmisión Nacional (STN).
Es el sistema interconectado de transmisión de energía eléctrica compuesto por el conjunto de líneas, con sus correspondientes módulos de conexión, que operan a tensiones iguales o superiores a 220 kV.


Sistema de Transmisión Regional (STR).
Sistema interconectado de transmisión de energía eléctrica compuesto por redes regionales o interregionales de transmisión; conformado por el conjunto de líneas y subestaciones con sus equipos asociados, que operan a tensiones menores de 220 kV y que no pertenecen a un Sistema de Distribución Local.


Sistema de Distribución Local (SDL).
Sistema de transmisión de energía eléctrica compuesto por redes de distribución municipales o distritales; conformado por el conjunto de líneas y subestaciones, con sus equipos asociados, que operan a tensiones menores de 220 kV que no pertenecen a un Sistema de Transmisión Regional por estar dedicadas al servicio de un sistema de distribución municipal, distrital o local.


Sistema Interconectado Nacional (SIN).
Es el sistema compuesto por los siguientes elementos conectados entre si: las plantas y equipos de generación, la red de intercone-xión, las redes regionales e interregionales de transmisión, las redes de distribución, y las cargas eléctricas de los usuarios.


Transmisor Nacional (TN). Persona jurídica que opera y transporta energía eléctrica en el Sistema de Transmisión Nacional o que ha constituido una empresa cuyo objeto es el desarrollo de dichas actividades.


Transmisor Regional (TR).
Persona jurídica que opera y transporta energía eléctrica en un Sistema de Transmisión Regional o que ha constituido una empresa cuyo objeto es el desarrollo de dichas actividades.


Unidad Constructiva (UC).
Elementos que conforman un sistema de transporte eléctrico, constituido por Líneas (km) y Módulos típicos (Unidad).


    Artículo 2o. Ambito de Aplicación.
    Esta Resolución aplica a todos los agentes económicos que desarrollan la actividad de Transmisión Nacional y a aquellos que se benefician de sus servicios.

    Conforme a la Ley, la actividad de transmisión de energía eléctrica es un servicio público.


    Artículo 3o. Plan de Expansión de Referencia STN.
    El Numeral 7 del Código de Planeamiento de la Expansión del STN (Resolución CREG-025 de 1995), quedará así:
    “7. PLAN DE EXPANSIÓN DE REFERENCIA (STN)

    Con el fin de compatibilizar criterios, estrategias y metodologías para la expansión del STN, la UPME constituirá un Comité Asesor de Planeamiento en el cual participarán los siguientes agentes:

    · Tres (3) representantes de las empresas de generación. Estos se seleccionarán de mayor a menor, en orden decreciente de su Capacidad Instalada (Medida en MW a 31 de diciembre del año inmediatamente anterior).

    · Tres (3) representantes de las empresas de comercialización. Estos se seleccionarán de mayor a menor, en orden decreciente de la Demanda abastecida (Medida en GWh a 31 de diciembre del año inmediatamente anterior).

    · Tres (3) representantes de las empresas de transmisión. Estos se seleccionarán de mayor a menor, en orden decreciente de su porcentaje de participación en la propiedad de activos del STN (Valorados a “Costos Unitarios” a 31 de diciembre del año inmediatamente anterior).

    Las empresas integradas verticalmente, así como las empresas que tengan vinculación económica entre las distintas actividades (generación, transmisión, distribución y comercialización), no podrán tener más de un (1) representante en el Comité. Para este efecto se tendrá en cuenta lo dispuesto respecto de las empresas matrices y subordinadas, así como de los grupos empresariales a las que hace referencia el Código de Comercio. De allí que estos criterios deban considerarse para establecer la composición del Comité.

    Si alguno de los usuarios del STN tuviera conocimiento de alguna violación a lo que aquí se dispone, podrá solicitar a la CREG la suspención de la participación del agente o agentes involucrados en el Comité. La CREG solicitará la información que considere pertinente, de acuerdo con lo dispuesto en el Artículo 73 de la ley 142 de 1994.

    La composición del Comité Asesor de Planeamiento será revisada (y modificada cuando fuere del caso) cada tres (3) años, o cuando la posición relativa de las empresas experimente cambios objetivos.

    Para la preparación del Plan de Expansión Preliminar y del Plan de Expansión de Referencia los Transmisores Nacionales, los Generadores, los Transmisores Regionales, los Distribuidores Locales y los Comercializadores, deberán entregar a la UPME la información de planeamiento estándar y la información de planeamiento detallada según la lista de los Apéndices I y II. Esta información se deberá entregar a más tardar en el mes de marzo de cada año y deberá cubrir un horizonte de por lo menos diez (10) años.

    Así mismo para los primeros cinco (5) años del plan de expansión, cada Transmisor Nacional, deberá preparar y remitir para la misma fecha y a la misma entidad, un informe detallado donde se indiquen las oportunidades disponibles para conectarse y usar el sistema, señalando aquellas partes de dicho sistema con mayor factibilidad técnica para nuevas conexiones y transporte de cantidades adicionales de potencia.

    7.1. Plan de Expansión Preliminar (STN)
        La UPME elaborará un Plan de Expansión Preliminar, utilizando como criterios en su definición, la minimización de los costos de inversión y de los costos operativos y las pérdidas del STN. El Plan de Expansión en todo caso deberá cumplir con las disposiciones que en materia de confiabilidad se encuentren vigentes.
        Una vez elaborado el Plan de Expansión Preliminar, la UPME lo hará público y lo someterá a consulta del Comité Asesor de Planeamiento, a más tardar en el mes de junio de cada año. La UPME recibirá conceptos sobre el Plan de Expansión Preliminar, así como planes de expansión alternativos que sean propuestos por los agentes interesados. El pronunciamiento que se derive de la consulta efectuada al Comité Asesor de Planeamiento deberá producirse antes del 15 de agosto del año respectivo y en todo caso no será obligatorio.

        La UPME en caso de no aceptar las recomendaciones del Comité Asesor de Planeamiento, deberá explicar las razones que tuvo para el efecto.

    7.2. Plan de Expansión de Referencia (STN)
        Con base en las observaciones y consideraciones remitidas a la UPME antes del 15 de agosto siguiente, por parte del Comité Asesor de Planeamiento y de los terceros interesados, y tomando nuevamente como criterio la minimización de los costos de inversión y de los costos operativos y las pérdidas del STN, la UPME definirá el Plan de Expansión de Referencia, el cual previa aprobación del Ministerio de Minas y Energía, se pondrá a disposición de los Transmisores Nacionales y de terceros interesados, a más tardar el 15 de octubre del mismo año.

    El Plan de Expansión de Referencia debe ser flexible en el mediano y largo plazo, de tal forma que se adapte a los cambios que determinen las condiciones técnicas, económicas, financieras y ambientales, cumpliendo con los requerimientos de calidad, confiabilidad y seguridad definidos en este Código de Planeamiento y en el Código de Operación. Los proyectos propuestos en este Plan deben ser técnica y económicamente factibles y la demanda deberá ser atendida cumpliendo con criterios de uso eficiente de los recursos energéticos. La viabilidad ambiental será aprobada por las autoridades competentes.”


    Artículo 4o. Introducción de Elementos de Eficiencia en la Ejecución del Plan de Expansión de Referencia (STN).


    Para garantizar la ejecución del Plan de Expansión de Referencia a mínimo costo, el Ministerio de Minas y Energía o la entidad que éste delegue, elaborará los Documentos de Selección, para la ejecución de los proyectos del Plan de Expansión de Referencia cuya pre-construcción deba iniciarse el siguiente año al de la definición del Plan.

    No será obligación del Ministerio de Minas y Energía o la entidad que éste delegue, incluir las condiciones ambientales del proyecto, las cuales deberán ser evaluadas por los proponentes.

    En los Documentos de Selección se incluirá la información básica de cada proyecto (nivel de tensión, número de circuitos, capacidad de transporte, puntos de conexión, nivel máximo de pérdidas, estándares de operación, fecha requerida de puesta en servicio, costo máximo aproximado de la interventoría y demás elementos que se consideren convenientes), así como los requisitos y condiciones que deberán cumplir los interesados para participar en la ejecución, administración, operación y mantenimiento de las obras.

    El Ministerio de Minas y Energía o la entidad que éste delegue, elaborará los Documentos de Selección y los someterá a consideración del Comité Asesor de Planeamiento de la UPME y terceros interesados, recibiendo conceptos hasta el 31 de octubre del correspondiente año. Una vez definidos los pliegos, el Ministerio de Minas y Energía o la entidad que éste delegue, abrirá anualmente un Proceso de Selección, antes del 31 de diciembre de cada año, con el objeto de que los Transmisores Nacionales existentes, así como los potenciales, compitan por la construcción, administración, operación y mantenimiento de los proyectos de expansión del STN.

    Los requisitos que deberán cumplir las propuestas y los criterios que deben ser tenidos en cuenta tanto para proponer, como para efectuar la selección, se describen a continuación:


    a) PROPUESTAS

    Los proponentes propondrán un Ingreso Anual Esperado, en pesos constantes del 31 de diciembre del año anterior al año en el cual se efectúe la propuesta, para cada uno de los primeros veinticinco (25) años de entrada en operación del proyecto. Este Ingreso deberá reflejar los costos asociados con la pre-construcción (incluyendo diseños, servidumbres, estudios y licencias ambientales) y construcción (incluyendo la interventoría de la obra y las obras que se requieran para la viabilidad ambiental del proyecto), el costo de oportunidad del capital invertido y los gastos de administración, operación y mantenimiento del equipo correspondiente, teniendo en cuenta las siguientes consideraciones:

    I. Las propuestas serán comparadas calculando el Valor Presente del Ingreso Anual Esperado para cada uno de los veinticinco (25) primeros años de entrada en operación del proyecto. Estimación que se realizará aplicando una tasa de descuento del 9.0% en pesos constantes.
      En ningún caso el Valor Presente del Ingreso Anual Esperado para los cinco (5) primeros años de entrada en operación del proyecto, valorado a la misma tasa, podrá representar más del 40% del Valor Presente del Ingreso Anual Esperado para los veinticinco (25) primeros años de entrada en operación del proyecto.
      En ningún caso el Valor Presente del Ingreso Anual Esperado para los diez (10) primeros años de entrada en operación del proyecto, valorado a la misma tasa, podrá representar más del 70% del Valor Presente del Ingreso Anual Esperado para los veinticinco (25) primeros años de entrada en operación del proyecto.
      Así mismo, en ningún caso el Ingreso Anual Esperado para cada uno de los veinticinco (25) primeros años, podrá ser inferior, en pesos constantes, al 5% del Valor Presente de los Ingresos Anuales Esperados para todo el proyecto.

    II. El Ingreso Anual que percibirá el proponente seleccionado para el proyecto, durante los primeros veinticinco (25) años de su puesta en operación, será igual al Ingreso Anual Esperado propuesto por el proponente. La liquidación y pago mensual del Ingreso correspondiente, se efectuará actualizando dicho Ingreso, con el Indice de Precios al Productor Total Nacional (IPP) a la fecha respectiva.

    III. El Ingreso Anual que percibirá el proponente seleccionado para el proyecto, a partir del año vigesimosexto (26) de su puesta en servicio, será el resultado de aplicar la siguiente fórmula genérica:


      donde:

      IA Ingreso Anual

      CAEA Costo Anual Equivalente del Activo Bruto Eléctrico valorado a Costo de Reposición (aplicando “Costos Unitarios por Unidad Constructiva”), incrementado este Activo en un porcentaje %ANE reconocido por concepto de Activo No Eléctrico.

      El Costo de Reposición del Activo Bruto Eléctrico se calcula mediante la expresión:

      UCu.c Unidad Constructiva del Activo Bruto (Ver Anexo No 1).

      CUu.c Costo Unitario de cada Unidad Constructiva

      %ANE = 5%. Corresponde al margen por concepto de Activo No Eléctrico Reconocido.

      El Costo Anual Equivalente se obtiene de la anualización del Valor Presente del Costo de Reposición del Activo Bruto, incrementado este último en un porcentaje %ANE reconocido por concepto de Activo No Eléctrico, proyectado a veinticinco (25) años y descontado al 9.0% en pesos constantes.

      %AOM Porcentaje reconocido de gastos de Administración, Operación y Mantenimiento.

    El %AOM reconocido es el siguiente:

    Año
    %AOM1
    %AOM2
    2000
    3.00%
    3.50%
    2001
    2.75%
    3.25%
    2002 y posteriores
    2.50%
    3.00%
1 "Unidad Constructiva” en zona sin contaminación salina.
2 "Unidad Constructiva” en zona con contaminación salina.

      El Comité Asesor de Planeamiento de la UPME propondrá a la CREG antes del 31 de agosto de 1998, una desagregación de los activos del STN que permita su tratamiento como “Unidades Constructivas”. Así mismo efectuará propuestas sobre los “Costos Unitarios por Unidad Constructiva” a aplicar y una metodología para la revisión de los mismos (Ver Anexo No 1 de la presente Resolución).
        Los “Costos Unitarios” finalmente aplicables, serán adoptados mediante resolución por la CREG. Estos valores serán sujetos de revisión cada cinco (5) años, a partir de su primera adopción oficial, la cual deberá tener lugar antes de que se abra la primera convocatoria.

        El IA correspondiente al año t+1, se expresará en pesos constantes del 31 de diciembre del año t y su valor solo se ajustará cuando se produzcan cambios en la “Unidad Constructiva” o en los “Costos Unitarios” vigentes.

        Para efectos de la liquidación y pago mensual del Ingreso correspondiente, el IA se actualizará con el Indice de Precios al Productor Total Nacional (IPP) a la fecha respectiva.
      IV. Interconexión Eléctrica S.A. E.S.P. deberá efectuar una propuesta para cada uno de los proyectos definidos en las convocatorias, en cumplimiento del Artículo 32 de la Ley 143 de 1994.


      b) SELECCION

      Todos los proponentes efectuarán su propuesta en sobre cerrado, seleccionándose la propuesta con el menor Valor Presente de los Ingresos Anuales Esperados durante los primeros veinticinco (25) años de operación del proyecto. Estimación que se realizará aplicando una tasa de descuento del 9.0% en pesos constantes. El Ministerio de Minas y Energía o la entidad que éste delegue, deberá publicar los resultados de la calificación por lo menos cinco (5) días hábiles previos a la selección, que se efectuará en audiencia pública; los proponentes deberán manifestar por escrito las observaciones que tengan a la calificación dos (2) días antes a la realización de la audiencia pública. El Ministerio de Minas y Energía o la entidad que éste delegue podrá suspender y/o posponer la audiencia cuando así lo considere necesario por una sola vez.

      Como requisito para ser sujetos de calificación, los proponentes deberán adjuntar a la propuesta económica una póliza de seriedad expedida por una entidad debidamente acreditada para el efecto, de acuerdo con la legislación colombiana, la cual deberá cubrir como mínimo el 10% del Valor Presente del Ingreso Anual Esperado para los primeros veinticinco (25) años de operación del proyecto, descontados al 9.0% en pesos constantes. La póliza, otorgada a favor del Ministerio de Minas y Energía o la entidad delegada por éste para tal fin, deberá tener una vigencia mínima de sesenta (60) días posteriores a la presentación de la propuesta. En caso de requerirse, el Ministerio de Minas y Energía o la entidad que éste delegue, podrá solicitar la prórroga de la vigencia de la póliza hasta por treinta (30) días más.

      La propuesta técnica deberá cumplir con los requisitos exigidos en los Documentos de Selección, y deberá contener un cronograma de desarrollo de la etapa de construcción del proyecto respectivo.

      El procedimiento a seguir y los requisitos a cumplir, una vez se efectúe la selección se describen a continuación:

      I. El proponente que se gane la convocatoria deberá constituirse en Empresa de Servicios Públicos, en el caso de que aún no lo sea (Transmisor Nacional E.S.P). En los estatutos de constitución de dicha empresa se deberá estipular que la misma tendrá una vigencia mínima de veintiseis (26) años.

      II. El proponente seleccionado deberá otorgar a favor del Ministerio de Minas y Energía o la entidad delegada por éste para tal fin, una póliza de cumplimiento expedida por una entidad financiera debidamente acreditada, que cubra el 10% del Valor Presente del Ingreso Anual Esperado para los primeros veinticinco (25) años de operación del proyecto, descontados al 9.0% en pesos constantes. La póliza deberá mantenerse vigente hasta la fecha de puesta en servicio del respectivo proyecto.
        El Ministerio de Minas y Energía o la entidad que éste delegue, podrá hacer efectiva la póliza de cumplimiento, cuando el retraso del proyecto en su etapa de construcción sea superior al 25% con respecto al cronograma de ejecución propuesto en la respectiva propuesta.
        Así mismo, y frente a los activos que existieren en el momento de hacer efectiva la póliza, la CREG podrá hacer uso de sus facultades legales para imponer las servidumbres a que hubiere lugar.

      III. El Ministerio de Minas y Energía o la entidad que éste delegue solicitará a la Comisión de Regulación de Energía y Gas (CREG), la expedición de una resolución que oficialice los Ingresos Anuales Esperados con los cuales se hubiere seleccionado el proponente en el respectivo Proceso de Selección. La CREG podrá exigir copia auténtica de la póliza a la que se hace mención en el Numeral anterior, para expedir la Resolución correspondiente, y cualquier otro documento que considere conveniente.

      IV. El Ministerio de Minas y Energía o la entidad delegada por éste, contratará servicios de interventoría durante la ejecución del proyecto, a fin de que certifique el cumplimiento de los requisitos técnicos y de los solicitados en los pliegos de la respectiva convocatoria. El costo de esta interventoría será pagado por el proponente seleccionado para el proyecto.

      El Proceso de Selección podrá resultar en la no selección de ninguno de los proponentes, cuando los mismos no cumplan con los requisitos especificados en los Documentos de Selección, o no cumplan con lo dispuesto en el Numeral I. del Literal a) del presente Artículo, o por razones de inconveniencia. En cualquier caso el Ministerio de Minas y Energía o la entidad que éste delegue deberá reiniciar el proceso de convocatoria.

      Cuando en un Proceso de Selección solamente resulte como único proponente Interconexión Eléctrica S.A., ya sea por ser el único que cumple con los requisitos técnicos o financieros o por ser el único que se presente, no se tendrá en cuenta la propuesta presentada por ésta empresa. Para efectos de determinar el ingreso correspondiente al proyecto, se aplicará lo dispuesto en el Numeral III, del Literal a) del presente Artículo. Los activos involucrados tendrán el tratamiento dispuesto para activos existentes.


      Parágrafo 1o.
      Cuando se trate de obras relacionadas con solicitudes de conexión de usuarios del STN que ingresarán al Sistema y que no estén previstas dentro del Plan de Expansión de Referencia, si la respectiva solicitud es técnica y económicamente factible y en consecuencia ha sido aprobada por la UPME, el Ministerio de Minas y Energía o la entidad que éste delegue, elaborará tan pronto como lo estime conveniente, los Documentos de Selección para la ejecución de las obras necesarias adicionales a los activos de conexión y la apertura de la respectiva convocatoria, sin que requiera para ello concepto del Comité Asesor de Planeamiento, aún cuando dicho Comité debe ser informado.


      Parágrafo 2o. Lo dispuesto en el Numeral IV. del Literal a) del presente Artículo, respecto de Interconexión Eléctrica S.A. E.S.P., se entenderá vigente en la medida que tal entidad permanezca como empresa de servicios públicos mixta u oficial.

      Parágrafo 3o. No corresponderá a la CREG evaluar las razones que el Ministerio de Minas y Energía o la entidad que éste delegue exponga, para declarar desierta una convocatoria.


      Parágrafo 4o. Para desarrollar los procedimientos establecidos en la presente Resolución y con el objetivo de realizar la primera convocatoria, la UPME o el Ministerio de Minas y Energía o la entidad que este delegue, según el caso, podrán por una sola vez, redefinir los plazos previstos para la ejecución de las siguientes actividades:

      · Entrega de información estándar para la preparación del Plan de Expansión (a más tardar en el mes de marzo de cada año).

      · Elaboración del Plan de Expansión Preliminar y puesta a consideración de los interesados (a más tardar en el mes de junio de cada año).

      · Pronunciamiento de los interesados sobre el Plan de Expansión Preliminar (antes del 15 de agosto de cada año).

      · Elaboración del Plan de Expansión de Referencia y puesta a disposición de los interesados (a más tardar el 15 de octubre de cada año).

      · Elaboración de los Documentos de Selección y puesta a consideración de los terceros interesados, recibiendo los conceptos respectivos (hasta el 31 de octubre de cada año).

      · Apertura anual de convocatorias públicas (antes del 31 de diciembre de cada año).

      En todo caso la primera convocatoria deberá ser abierta antes del 28 de febrero de 1999.


      Artículo 5o. Reposición de Unidades Constructivas del STN que se encuentren en servicio.
      Los proyectos consistentes en la reposición de Unidades Constructivas del STN que se encuentren en operación (Líneas (km) y Módulos típicos (Unidad)), deben ser desarrollados por los propietarios de las mismas. En caso de que el propietario no ejecute la reposición requerida, el Ministerio de Minas y Energía o la entidad que éste delegue, abrirá una convocatoria para su ejecución, cumpliendo con las disposiciones establecidas en el Artículo anterior.

      Parágrafo. Frente a los activos que existieren en el momento de efectuar la convocatoria para la ejecución de la reposición en mención, la CREG hará uso de sus facultades legales para imponer las servidumbres a que hubiere lugar.


      Artículo 6o. Ampliaciones de las Instalaciones del STN que se encuentren en servicio. Los proyectos consistentes en la ampliación de las instalaciones del STN que se encuentren en operación (obras de compensación, mejoras en el sistema de medidas o de protecciones, repotenciaciones, montaje de nuevos circuitos sobre estructuras existentes, cambio en la configuración de subestaciones existentes y otras obras similares), hagan o no parte del Plan de Expansión de Referencia y previo concepto de la UPME, serán desarrollados por los propietarios de las mismas. En caso de que el propietario no desee desarrollar el proyecto, el Ministerio de Minas y Energía o la entidad que éste delegue, abrirá una convocatoria para su ejecución, cumpliendo con las disposiciones establecidas en el Artículo 4o de la presente Resolución.

      Parágrafo 1o. Para la remuneración de los activos asociados con la ampliación de las instalaciones del STN que se encuentren en operación y que hayan sido ejecutadas por el respectivo propietario, dichos activos se incorporarán dentro de las “Unidades Constructivas” correspondientes, en desarrollo de la metodología descrita en el Numeral III. del Literal a) del Artículo 4o de la presente Resolución.

      Parágrafo 2o. Las obras de transmisión asociadas a contratos de conexión que se firmen antes de la primera convocatoria, serán ejecutadas por los transportadores que hayan suscrito los respectivos contratos.


      Artículo 7o. Activos a los que se les aplicará la Fórmula de Ingresos Regulados.
      Para establecer los Ingresos por concepto de Uso del STN, se tendrán en cuenta las líneas y/o los equipos asociados componentes de dicho Sistema, que cumplan con los siguientes requisitos y lineamientos:

      a) Líneas y/o equipos asociados que se encuentren en operación o en etapa de pre-construcción o construcción, a la fecha en la cual se efectúe la primera convocatoria. Se consideran en etapa de pre-construcción los siguientes proyectos: Copey - Pailitas – Ocaña, San Felipe - Miel – Purnio y las Líneas y/o equipos asociados, a las que se refiere el Parágrafo 2o del Artículo 6o. de la presente Resolución.

      b) Líneas y/o equipos asociados, construidos con posterioridad a la fecha en la cual se haya efectuado la primera convocatoria y cuya ejecución haya tenido su origen en el Plan de Expansión de Referencia y hayan sido seleccionados en desarrollo del proceso de convocatorias.

      c) Líneas y/o equipos asociados, construidos con posterioridad a la fecha en la cual se haya efectuado la primera convocatoria y cuya ejecución haya tenido su origen en solicitudes de conexión por parte de nuevos usuarios y que hayan sido seleccionados en desarrollo del proceso de convocatorias.

      d) Líneas y/o equipos asociados, que se hayan construidos inicialmente como activos de conexión de un generador y/o un usuario, pero que se hayan convertido en activos de Uso del STN.

      La fórmula para calcular los Ingresos Regulados por concepto de Uso del STN, se presenta en el Anexo No 2 de la presente Resolución.

      Parágrafo. Una vez hayan cumplido veinticinco (25) años de puesta en servicio, las líneas y/o equipos asociados que se encuentren operativas, pero que salgan de uso de manera permanente, dejarán de percibir remuneración. A tal efecto, la UPME mantendrá un inventario de las lineas y/o equipos activos en el STN. La UPME previamente definirá el concepto de “Elementos Activos”.


      Artículo 8o. Pérdidas en el Sistema de Transmisión Nacional. A partir del 1o de enero del año 2000, para efectos comerciales, la demanda de todos los comercializadores, une vez referida a 220 kV, se incrementará en un porcentaje por concepto de pérdidas del Sistema de Transmisión Nacional, que será definido previamente por la CREG.

      Parágrafo. La CREG antes de que entre en vigencia la disposición establecida en el presente Artículo, definirá el tratamiento comercial aplicable a las diferencias que se presenten entre las pérdidas reales en el STN y el porcentaje que sea asignable a los comercializadores.


      Artículo 9o. Distribución de los Ingresos Regulados entre los Transmisores Nacionales.
      Los Ingresos de cada Transmisor Nacional en el año t+1, se calculan como resultado de aplicar la fórmula establecida en el Anexo No 2 de la presente Resolución a los activos que son de su propiedad.

      El pago correspondiente se ajustará a las disposiciones contenidas en la Resolución CREG-012 de 1995 y demás normas que la modifiquen o complementen.


      Articulo 10o. En ejercicio de las facultades legales de la CREG y como mecanismo para prevenir el abuso de posición dominante de las empresas, y para evitar la concentración de la propiedad accionaria de las mismas, establece las siguientes reglas para la participación en la actividad de transmisión nacional que se determina en la presente Resolución:

      a. Las empresas constituidas como E.S.P. que deseen participar en los Procesos de Selección aquí regulados, deberán tener como objeto exclusivo la actividad de Transmisión Nacional en lo relacionado con el sector eléctrico. Así mismo, un proponente que sin ser E.S.P se gane la convocatoria, deberá constituirse como tal, con objeto exclusivo en Transmisión Nacional en lo relacionado con el sector eléctrico.

      b. Con excepción de Interconexión Eléctrica S.A. E.S.P., ninguna empresa o beneficiario real podrá tener una participación superior al 25% del total del STN, para lo cual se tendrá en cuenta el porcentaje de participación de sus activos, valorados a “Costos Unitarios” a 31 de diciembre del año inmediatamente anterior.

      c. No podrán tener vinculación económica entre sí, los proponentes que participen en un mismo Proceso de Selección.

      Para estos efectos se aplicarán los conceptos de grupo empresarial, matriz y subordinada contenidos en el Código de Comercio. En este sentido, se entenderá que existe vinculación económica cuando se supere el 25% del capital accionario o cuando se tenga el control de la empresa. La CREG utilizará el concepto de beneficiario real del que habla el Artículo 37 de la Ley 142 de 1994, y la normatividad que pueda aplicarse para el efecto.

      La CREG podrá pronunciarse sobre aquellas transacciones que impliquen el traspaso de control o de propiedad, que afecten de alguna manera lo dispuesto en el presente Artículo, lo cual será tenido en cuenta por el Ministerio de Minas y Energía o la entidad que este delegue para realizar el respectivo Proceso de Selección. La CREG buscará en todo momento que los Procesos de Selección se realicen con la mayor transparencia posible mediante el cumplimiento del presente Artículo. Para estos efectos podrá solicitar la información que estime conveniente.

      Parágrafo 1o. Lo dispuesto en este Artículo no implica impedimento alguno para que la CREG ejerza sus facultades legales para impedir los abusos de posición dominante, la regulación de la posición dominante de hecho, o la promoción de la competencia.

      Parágrafo 2o. ISA podrá tener vinculación económica en otras empresas de transmisión, pero éstas no podrán presentar propuestas en aquellos Procesos de Selección en los que participe ISA. Así mismo, no se aplicará el concepto de matriz ni de beneficiario real a la Nación.

      Parágrafo 3o. La CREG solicitará a las empresas del sector toda la información que requiera para determinar la posición de una empresa o persona dentro del mercado.

      Artículo 11o. Vigencia de la presente Resolución. La presente Resolución rige a partir de la fecha de su publicación en el Diario Oficial.


      Publicada en el Diario Oficial No. 43.294 de mayo 07 de 1998

      PUBLÍQUESE Y CÚMPLASE

      Dada en Santa Fe de Bogotá, D.C., el día 14 de Abril de 1998



    ORLANDO CABRALES MARTINEZ
    Ministro de Minas y Energía
    Presidente
    JORGE PINTO NOLLA
    Director Ejecutivo(E)




      ANEXO No 1


      UNIDADES CONSTRUCTIVAS Y COSTOS UNITARIOS POR UNIDAD CONSTRUCTIVA

      Para la definición de Unidades Constructivas y los Costos de las mismas, el Comité Asesor de Planeamiento de la UPME tendrá en cuenta entre otros los siguientes elementos y criterios:

      q Para las líneas de transmisión:

      Kilómetro de línea
      Servidumbres
      Equipo de Compensación

      q Para las subestaciones:

      Bahías de Línea
      Bahías de Transformador
      Transformadores de Potencia
      Equipo de Compensación

      Las Unidades Constructivas deben incluir todos los elementos asociados a cada módulo, tales como:

      q Costos de tableros (Protección, Medida y Control)

      q Costos de equipo común, tales como transformador de tensión, equipos auxiliares AC y DC (Un porcentaje del costo de este equipo común se aplica al costo de cada módulo en proporción al número total de módulos existentes en la subestación).

      q Costo de módulos comunes, tales como: módulo de seccionamiento de barras, módulo de transferencia, módulo de acople de barras (Un porcentaje del costo de estos módulos comunes se aplica al costo de cada módulo en proporción al número total de módulos existentes en la subestación).

      q Costo de otros equipos no considerados en los anteriores (al igual que en los casos anteriores, en proporción al número de módulos)

      q Costo de Áreas Locativas (A cada módulo se debe asignar un costo por este concepto en proporción al número de módulos de la subestación)

      q Costo de la inversión en terrenos (A cada módulo se debe asignar un área de terreno en proporción al número de módulos de la subestación). La Comisión unificará el área de terreno admisible por módulo.

      q Costo de repuestos básicos para la operación confiable.

      Adicionalmente, las “Unidades Constructivas” deben considerar todos los costos asociados al activo montado y en operación, tales como:

      q Flete marítimo
      q Seguros marítimos
      q Gastos portuarios
      q Arancel
      q IVA
      q Transporte terrestre
      q Seguros terrestres
      q Montaje y pruebas
      q Supervisión de montaje
      q Obras civiles
      q Ingeniería y administración
      q Costos financieros (intereses durante construcción)
      q Imprevistos

    ORLANDO CABRALES MARTINEZ
    Ministro de Minas y Energía
    Presidente
    JORGE PINTO NOLLA
    Director Ejecutivo(E)


      ANEXO No 2

      FORMULA REGULATORIA PARA EL CALCULO DEL INGRESO REGULADO ANUAL POR USO DEL STN


      El Ingreso Regulado Anual por concepto del Uso del Sistema de Transmisión Nacional correspondiente al año t+1, se calcula en pesos constantes del 31 de diciembre del año t, a partir de la siguiente fórmula:



      donde:

      Mt+1 : Ingreso de causación regulado permitido por el uso del Sistema de Transmisión Nacional en el año t+1.

      REt+1 : Ingreso regulado permitido en el año t+1 para los activos remunerados de acuerdo con lo dispuesto en el Numeral III. del Literal a) del Artículo 4o de la presente Resolución. Corresponde a la sumatoria de los IA asociados con los siguientes activos:
        i. Unidades Constructivas existentes a la fecha en que se efectúe la primera convocatoria y que estarán en operación en el año t+1.
          ii. Unidades Constructivas que entrarán a operar en el año t+1 y cuya pre-construcción o construcción se inició con anterioridad a la fecha en la cual se efectúe la primera convocatoria. En este caso se tendrá en cuenta de manera proporcional, la fecha en la cual estos activos entrarán en operación.
            iii. Unidades Constructivas construidas en desarrollo del proceso de convocatorias, que inicien su vigesimosexto (26) año de entrada en operación durante la vigencia t+1. En este caso se tendrá en cuenta de manera proporcional, la fecha en la cual dichos activos entrarán en su vigesimosexto (26) año de entrada en operación.
              iv. Unidades Constructivas construidas en desarrollo de procesos de convocatorias, en las cuales el único proponente haya sido Interconexión Eléctrica S.A. E.S.P. y que entrarán a operar durante la vigencia t+1. En este caso se tendrá en cuenta de manera proporcional, la fecha en la cual estos activos entrarán en operación.
                v. Unidades Constructivas de Activos de Conexión que se hayan convertido en activos de uso, de acuerdo con lo dispuesto en el Literal d) del Artículo 7o. de la presente Resolución y que operarán como tales durante la vigencia t+1.
                  t inicial = 1999

                  El IA correspondiente a cada Unidad Constructiva se expresa en pesos constantes del 31 de diciembre del año t.

                  RCt+1 : Sumatoria para el año t+1 de los Ingresos Anuales Esperados para los proyectos cuya ejecución se efectuó en desarrollo de procesos de convocatoria, que serán remunerados de acuerdo con las disposiciones establecidas en el Numeral II. del Literal a) del Artículo 4o. de la presente Resolución y que estarán en operación en el año t+1. Hacen parte de la red correspondiente los siguientes activos:

                  vi. Activos que durante la vigencia t+1, aún no exceden los veinticinco (25) primeros años de entrada en operación.

                  vii. Activos que durante la vigencia t+1, excederán los veinticinco (25) primeros años de entrada en operación. En este caso se tendrá en cuenta de manera proporcional, el Ingreso Anual Esperado correspondiente al vigesimoquinto (25) año de entrada en operación.

                  viii. Activos que durante la vigencia t+1 entrarán en operación y que fueron sometidos a procesos de convocatoria. En este caso se tendrá en cuenta de manera proporcional y de acuerdo a la fecha estimada de puesta en servicio, el Ingreso Anual Esperado correspondiente al primer año de entrada en operación.

                  ix. En aquellos casos en que la obra se someta a proceso de convocatoria en el año t+1 y se prevea, inicie su operación en el mismo período, el Ingreso correspondiente será estimado por la entidad que abra la convocatoria, aplicando la metodología establecida en el Numeral III. del Literal a) del Artículo 4o. de la presente Resolución, teniendo en cuenta una fecha estimada de puesta en servicio.

                  t inicial = 1999

                  El Ingreso Anual Esperado de los activos correspondientes se expresa en pesos constantes del 31 de diciembre del año t.

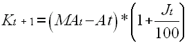
                  Kt+1 : Factor de corrección (positivo o negativo) que se aplica a los Ingresos Regulados Anuales para el año t+1, derivado de acuerdo con la fórmula siguiente:



                          en el primer año.

                  donde:

                  MAt es el Ingreso Regulado Anual Ajustado del año t. El ajuste se efectúa recalculando Mt, de acuerdo con las desviaciones que se produzcan entre los ingresos estimados en desarrollo de los Literales ii), iv), vii) y ix) del presente Anexo y los efectivamente causados.

                  At Ingreso efectivamente causado en el año t.

                  Jt Tasa DTF promedio del año t certificada por el Banco de la República.





                  ORLANDO CABRALES MARTINEZ
                  Ministro de Minas y Energía
                  Presidente
                  JORGE PINTO NOLLA
                  Director Ejecutivo(E)



                Doble click sobre el archivo anexo para bajarlo(Resoluciones CREG)
                Crg51-98.docCr051-98.pdf - Cr051-98.pdf
                Doble click sobre el archivo anexo para bajarlo(Documento CREG)