| Publicación Diario Oficial No.: | 48.686, el día:27/January/2013 |
| Publicada en la WEB CREG el: | 14/January/2013 |
| República de Colombia Ministerio de Minas y Energía
COMISIÓN DE REGULACIÓN DE ENERGÍA Y GAS
RESOLUCIÓN No. 138 DE 2012
( 30 NOV. 2012 )
Por la cual se modifican las normas de las pruebas de disponibilidad contenidas en la Resolución CREG 085 de 2007 y se dictan otras disposiciones.
LA COMISIÓN DE REGULACIÓN DE ENERGÍA Y GAS
En ejercicio de sus atribuciones constitucionales y legales, en especial las conferidas por las Leyes 142 y 143 de 1994, y en desarrollo de los Decretos 1524 y 2253 de 1994.
C O N S I D E R A N D O Q U E:
La Ley 143 de 1994, artículo 20, definió como objetivo fundamental de la Regulación en el sector eléctrico, asegurar una adecuada prestación del servicio mediante el aprovechamiento eficiente de los diferentes recursos energéticos, en beneficio del usuario en términos de calidad, oportunidad y costo del servicio.
Para el cumplimiento del objetivo señalado, la Ley 143 de 1994, artículo 23, le atribuyó a la Comisión de Regulación de Energía y Gas, entre otras, las siguientes funciones:
- Crear las condiciones para asegurar la disponibilidad de una oferta energética eficiente capaz de abastecer la demanda bajo criterios sociales, económicos, ambientales y de viabilidad financiera, promover y preservar la competencia, para lo cual, la oferta eficiente, en el sector eléctrico, debe tener en cuenta la capacidad de generación de respaldo.
- Valorar la capacidad de generación de respaldo de la oferta eficiente.
- Definir y hacer operativos los criterios técnicos de calidad, confiabilidad y seguridad del servicio de energía.
- Establecer el Reglamento de Operación para realizar el planeamiento y la coordinación de la operación del Sistema Interconectado Nacional.
- Determinar las condiciones para la liberación gradual del mercado hacia la libre competencia.
De acuerdo con lo establecido en el literal c) del artículo 74.1 de la ley 142 de 1994 y el literal i) del artículo 23 de la Ley 143 del mismo año, le corresponde a la CREG establecer el Reglamento de Operación, para regular el funcionamiento del Mercado Mayorista.
Mediante resolución CREG 071 de 2006 la Comisión adoptó la metodología para la remuneración del Cargo por Confiabilidad en el Mercado Mayorista de Energía.
En la Resolución CREG 085 de 2007 se modificó la Resolución CREG 071 de 2006 y se establecieron pruebas de disponibilidad para las plantas o unidades de generación.
Con la Resolución CREG 140 de 2009 la CREG adoptó normas sobre las variaciones a la disponibilidad declarada por los agentes generadores.
Teniendo en cuenta la experiencia adquirida durante el período del Fenómeno de El Niño 2009-2010 la Comisión de Regulación de Energía y Gas considera necesario adoptar reglas claras sobre la operación del sistema interconectado nacional y el funcionamiento del mercado mayorista de energía ante condiciones de riesgo de desabastecimiento.
Mediante Circular CREG 080 de 2010 la Comisión publicó un documento de trabajo sobre una propuesta de estatuto para situaciones de riesgo de desabastecimiento y racionamiento en el mercado mayorista de energía, al cual los agentes remitieron comentarios. Donde se propone pruebas de calentamiento y modificación de las pruebas que actualmente se realizan las plantas o unidades de generación.
Mediante la Resolución CREG 146 de 2011 la Comisión publicó un proyecto de resolución para implementar el estatuto para situaciones de riesgo de desabastecimiento y racionamiento en el mercado mayorista de energía, al cual los agentes remitieron comentarios.
Como parte de la propuesta para la adopción de normas del estatuto de riesgo de abastecimiento se identificó la necesidad de reformar las pruebas de disponibilidad que actualmente se realizan a las plantas operan en el SIN, conforme a lo señalado en la Resolución CREG 085 de 2007.
En la Resolución CREG 076 de 2012 la Comisión presentó para comentarios la propuesta para la adopción del Estatuto de Riesgo de Desabastecimiento y la propuesta de modificación de las reglas de pruebas de operación del Cargo por Confiabilidad de la Resolución CREG 085 de 2007.
Una vez transcurrido el plazo de comentarios se recibieron de: GECELCA E.S.P., radicados E-2012-008660 y E-2012-009826; ANDEG, radicados E-2012-008751, E-2012-009848 y E-2012-009849; Consejo Nacional de Operación, radicados E-2012-008836 y E-2012-009850; ISAGEN E.S.P., radicado E-2012-009218; NATURGAS, radicado E-2012-009295; CAMILO QUINTERO, radicado E-2012-009299; GAS NATURAL E.S.P., radicado E-2012-009821; EPSA E.S.P., radicado E-2012-009823; AES CHIVOR E.S.P., radicado E-2012-009824; ANDESCO, radicado E-2012-009825; ASOCODIS, radicado E-2012-009832; EPM E.S.P., radicado E-2012-009838; CELSIA E.S.P., radicado E-2012-009839; EMGESA E.S.P., radicado E-2012-009845; TERMOTASAJERO E.S.P., radicado E-2012-009853; ENERTOTAL E.S.P., radicado E-2012-009897; XM E.S.P., radicado E-2012-009903, y ANDI, radicado E-2012-010130.
En comunicación CREG S-2012-003976 la Dirección Ejecutiva solicitó al Consejo Nacional de Operación concepto sobre la propuesta de la Resolución CREG 076 de 2012, el cual fue remitido en comunicación con radicado E-2012-009085.
Mediante comunicación S-2012-004562, en cumplimiento de lo establecido en la Ley 1341 de 2010, se informó a la Superintendencia de Industria y Comercio sobre las dos propuestas contenidas en la Resolución CREG 076 de 2012.
En comunicación del 06 de noviembre de 2012, número 12-186265-3-0, la Superintendencia de Industria y Comercio, emitió su concepto sobre las propuestas de la Resolución CREG 076 de 2012, radicado CREG E-2012-010719, en el cual manifestó:
“En consecuencia, esta Superintendencia considera que las medidas contenidas en el proyecto regulatorio no tienden a generar un efecto anticompetitivo en el mercado mayorista de energía teniendo en cuenta que se pretende garantizar la atención de la demanda para que no se afecte al usuario del servicio”.
El análisis y respuesta a los comentarios remitidos a los proyectos contenidos mediante la Resolución CREG 076 de 2012 se presentan en el Documento CREG 078-A de 2012.
La Comisión de Regulación de Energía y Gas, en su Sesión 542 del 30 de noviembre de 2012, acordó expedir esta resolución.
R E S U E L V E:
ARTÍCULO 1. Modificación del artículo 15 de la Resolución CREG 085 de 2007: El artículo 15 de la Resolución CREG 085 de 2007 quedará así:
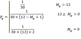
“Artículo 15. PRUEBAS DE DISPONIBILIDAD DE PLANTAS O UNIDADES DE GENERACIÓN. Todos los días, y para cada planta o unidad de generación declarada disponible con períodos consecutivos que por lo menos permita la prueba y que no salga programada para generar en el despacho económico en ningún período, el CND ejecutará un proceso aleatorio que determinará si la planta es o no llamada a prueba de disponibilidad para el día respectivo. La probabilidad de que la planta sea llamada a prueba se calculará conforme a la siguiente fórmula:
Donde:
Probabilidad de que la planta o unidad de generación sea llamada a prueba de disponibilidad. Número truncado a 6 decimales.
Número de meses calendario consecutivos y anteriores a la fecha de cálculo en los cuales la planta no ha tenido generación real, como mínimo, durante 4 horas continuas, sin considerar rampas de entrada y salida.
Para cada planta g el CND obtendrá número aleatorio equiprobable con 6 decimales entre 0 y 1 y si este es inferior o igual al Pg de la planta g, dicha plata quedará seleccionada para prueba de disponibilidad.
El CND al momento de informar el Despacho Económico, informará a los agentes las plantas o unidades de generación elegidas para la realización de las pruebas de disponibilidad, y publicará los resultados una vez estas hayan concluido.
Parágrafo 1. Cuando la Planta o Unidad de generación seleccionada para la realización de la prueba se encuentre aislada del SIN, o cuando por requerimientos de seguridad y confiabilidad del SIN, o por aplicación del Decreto 880 de 2007, no pueda ser despachada en ningún período, el CND cancelará la prueba.
Parágrafo 2. Esta prueba solamente aplica para las plantas con Obligaciones de Energía Firme en el día respectivo.
Parágrafo 3. Esta prueba no se podrá realizar:
a) Desde tres (3) días antes de realización de la Prueba de Calentamiento definida por la regulación y hasta la finalización de la misma.
b) Tres (3) días antes o menos de la finalización de las Obligaciones de Energía Firme.”
ARTÍCULO 2. Modificación del artículo 16 de la Resolución CREG 085 de 2007: El artículo 16 de la Resolución CREG 085 de 2007 quedará así:
“Artículo 16. CARACTERÍSTICAS DE LAS PRUEBAS DE DISPONIBILIDAD. Las pruebas de disponibilidad tendrán las siguientes características:
a. Período: La prueba tendrá una duración de 4 horas consecutivas, sin considerar rampas de entrada y salida. El inicio y la finalización de la prueba deberán ocurrir dentro del mismo día.
b. Generación objetivo: La generación objetivo será igual a la declaración de disponibilidad realizada por el agente que representa la planta para el período de la prueba. El CND programará el valor de la generación objetivo en el despacho económico y en los redespachos, sin embargo podrá modificar la generación objetivo para cumplir con las condiciones de seguridad y confiabilidad del SIN.
c. Desviaciones: Los recursos de generación a los cuales se les programe la prueba no podrán ser autorizados por el Centro Nacional de Despacho, CND, para desviarse horariamente en un margen mayor de +/- 5%. Adicionalmente tampoco prestarán el servicio de Regulación Secundaria de Frecuencia definido en la Resolución CREG 198 de 1997, o aquella que la modifique, complemente o sustituya.
d. Combustible utilizado: Las plantas en pruebas de disponibilidad deberán realizar la prueba con el combustible declarado para el despacho.
e. Calificación de exitosa: Una prueba será considerada como exitosa cuando la planta tenga una generación total durante el período de la prueba, igual o superior a la generación objetivo considerando la máxima desviación permitida.
f. Implicaciones de una prueba de disponibilidad no exitosa: Cuando una prueba de disponibilidad sea declarada como no exitosa, el agente podrá solicitar que se repita la prueba dentro del mismo día o dentro de los tres (3) días siguientes. En caso de que no se solicite la repetición de la prueba, o la repetición no sea exitosa, se producirán las siguientes consecuencias:
1. El ASIC cesará los pagos correspondientes al Cargo por Confiabilidad de las Obligaciones de Energía Firme respaldadas con dicha planta o unidad de generación, hasta el día en que la planta o unidad de generación tenga generación real durante cuatro horas consecutivas, sin considerar rampas de entrada y salida.
2. El ASIC emitirá una cuenta por cobrar al agente respectivo por un monto igual a los pagos por concepto de Cargo por Confiabilidad asociados a las Obligaciones de Energía Firme respaldadas con dicha planta o unidad de generación, realizados desde el día siguiente en que la planta o unidad de generación tuvo generación real durante cuatro horas consecutivas, sin considerar rampas de entrada y salida.
Parágrafo 1. La prueba deberá ser declarada ante el CND, según corresponda, como exitosa o no, por el generador que representa la planta que fue seleccionada para prueba de disponibilidad. Esta declaración deberá realizarse a más tardar en la hora siguiente a la finalización de la prueba. En caso de no realizarse la declaración en el tiempo señalado, se considerará que la prueba no fue exitosa.
Parágrafo 2. Los montos que se deben devolver por el incumplimiento de la prueba de disponibilidad tendrán en cuenta lo siguiente:
i) Se calcularán para días completos.
ii) Se descontarán los montos cubiertos con Anillos de Seguridad registrados ante el ASIC.
iii) Los valores recibidos por concepto de Cargo por Confiabilidad se deberán devolver en un término máximo de tiempo equivalente al período durante el cual los estuvo recibiendo, adicionando a este monto los intereses correspondientes a la tasa de interés bancario corriente, certificada mensualmente por la Superintendencia Bancaria, sobre el saldo adeudado hasta el día en que la deuda sea completamente pagada.
iv) El agente acordará con el ASIC un cronograma de devolución de los valores recibidos, respetando el plazo máximo establecido. De no llegarse a un acuerdo, el ASIC descontará las sumas adeudadas por el agente, con los respectivos intereses, de las notas crédito que resulten a su favor, dentro del plazo máximo establecido.
Los montos de dinero que el ASIC reciba como resultado de la devolución por el incumplimiento de la prueba de disponibilidad y los rendimientos generados por la administración de este dinero, si los hubiere, serán asignados, hasta agotarlos, en la facturación de las transacciones en el mercado de energía mayorista a expedir en los meses calendario siguientes al mes de la ejecución y pago de la garantía, a cada uno de los comercializadores del SIN a prorrata de su demanda comercial, como un menor costo de restricciones que debe ser trasladado a los usuarios finales.”
ARTÍCULO 3. VIGENCIA Y DEROGATORIAS. La presente resolución rige a partir del despacho económico del último día del mes pasados 45 días calendario de su publicación en el Diario Oficial y deroga la Resolución CREG 140 de 2009 y todas las disposiciones que le sean contrarias.
PUBLÍQUESE Y CÚMPLASE
Dada en Bogotá, D.C. a los 30 NOV. 2012
TOMÁS GONZÁLEZ ESTRADA | GERMÁN CASTRO FERREIRA |
Viceministro de Energía
Delegado del Ministro de Minas y Energía | Director Ejecutivo |
Presidente |  |
|
Doble click sobre el archivo anexo para bajarlo(Resoluciones CREG) |
Doble click sobre el archivo anexo para bajarlo(Documento CREG) |
|