| Publicación Diario Oficial No.: | , el día: |
| Publicada en la WEB CREG el: | |
| RESOLUCIÓN No. 044 ( 24 JUN. 2002 )
Por la cual se resuelve el recurso de reposición interpuesto por GAS NATURAL S.A. E.S.P., contra la Resolución CREG-025 de 2001.
LA COMISIÓN DE REGULACIÓN DE ENERGÍA Y GAS
En ejercicio de las atribuciones constitucionales y legales, en especial las conferidas por la ley 142 de 1994, y los Decretos 1524 y 2253 de 1994, y
CONSIDERANDO:
I. ANTECEDENTES
Que el día 20 de febrero de 2001, la Comisión de Regulación de Energía y Gas expidió la Resolución CREG-025 “por la cual se recalcula el cargo promedio máximo unitario de distribución (Dt) aprobado a la empresa GAS NATURAL S.A. E.S.P.”;
Que dicha Resolución fue notificada personalmente a la empresa GAS NATURAL S.A. E.S.P., por intermedio de su Apoderado el día 9 de abril de 2001;
Que el día 18 de abril de 2001, mediante documento radicado en la CREG con el número 3304 de 2001, la empresa GAS NATURAL S.A. E.S.P., por intermedio de su Apoderado, interpuso recurso de reposición contra la Resolución CREG-025 de 2001, con el fin de que la Comisión de Regulación de Energía y Gas modificara parcialmente dicha Resolución;
II. PRETENSIONES DE LA EMPRESA
Que para justificar la solicitud, la empresa presenta los siguientes argumentos:
“Mediante la Resolución impugnada, la Comisión excluyó de la base de activos utilizada para calcular el Cargo Promedio Máximo Unitario (Dt) de Gas Natural S.A. ESP aprobado por la Resolución CREG 079 de 1996, los activos considerados como de transporte y recalculó el Dt disminuyéndolo de $117.10 a $102.85 por metro cúbico, expresados en valores de 1996.
Como fundamento de la decisión, la CREG expone básicamente lo siguiente: “Que, con base en la información suministrada y la disponible en la Comisión, con la misma metodología utilizada para el cálculo del Dt de la Resolución CREG-079 de 1996, con los gastos proporcionales de AOM y con las mismas demandas presentadas en 1996, se determinó el nuevo valor del Cargo Promedio Máximo Unitario de Distribución (Dt) para la empresa GAS NATURAL S.A. E.S.P., excluyendo los correspondientes activos de transporte, cuyos resultados están contenidos en el Documento CREG-041 de febrero de 2001.”
Dado que el recálculo del Dt realizado por la CREG se basó en la supuesta exclusión de los activos de transporte que habían sido incluidos en el cálculo inicial del Dt y en la disminución de los gastos de administración, operación y mantenimiento, en forma proporcional a la inversión excluida, pero manteniendo los volúmenes de gas presentados por Gas Natural S.A E.S.P. en 1996, la empresa considera necesario formular su inconformidad sobre el tratamiento dado a estos tres aspectos en particular.
1. Exclusión de activos de transporte:
En el parágrafo del artículo 1° de la Resolución CREG 025 de 2001 se establece que “los activos excluidos del cálculo del Dt de GAS NATURAL S.A. E.S.P. son los señalados en el Anexo 1 de esta Resolución, correspondientes a un costo total de $27,333 millones de pesos de 1995 (...)”
Revisado el Anexo 1 al cual remite este artículo, se encuentra que las líneas Briceño-Leona, Funza–Madrid, Leona–Tibitó, Madrid–El Corzo, El Corzo–Facatativá no fueron excluidas de los activos de distribución de Gas Natural S.A. ESP, no obstante que corresponden a activos de transporte y que fueron reportadas como tales en la Tabla 1 adjunta a la comunicación 1000-088-99 del 15 de julio de 1999, remitida por la empresa a la CREG.
Por su parte, en el Documento CREG 041 del 20 de febrero de 2.001 que sirvió de base para la expedición de la Resolución impugnada, se encuentra que el argumento expuesto para adoptar la anterior decisión es el contenido en el párrafo que textualmente señala:
“Se propone entonces a la CREG, que de la relación presentada por GAS NATURAL S.A. E.S.P. se tomen únicamente los activos relacionados con el sistema de transporte para atender el mercado de Bogotá y Soacha, más no así los activos que tengan que ver con transporte a municipios del área de servicio exclusivo del altiplano Cundiboyacense; teniendo en cuenta que a la fecha de solicitud tarifaria de GAS NATURAL S.A. E.S.P. ya se había conformado el área de servicio exclusivo del altiplano Cundiboyacense”.
Como se observa, la Comisión omite excluir unos activos que ella misma reconoce como de transporte, con el único argumento de que están destinados a los municipios del área de servicio exclusivo del altiplano Cundiboyacense, que –según la CREG- ya estaba constituida al momento de presentarse la solicitud tarifaria de Gas Natural S.A ESP.
Al respecto, cabe señalar -en primer término- que el criterio orientador para determinar los activos que actualmente deben excluirse del Dt, no puede ser otro que establecer los gasoductos que van a estar destinados al transporte, independientemente de que esa actividad se vaya a desarrollar en un área de servicio exclusivo, toda vez que el transporte puede ser prestado libremente por cualquier transportador, sin que tenga incidencia el hecho de que existan áreas de servicio exclusivo para la distribución de gas natural.
De otra parte, se tiene que los gasoductos de transporte no excluidos del Dt, fueron –en su mayoría- reconocidos por la propia Comisión en el Programa de Nuevas Inversiones de Transcogas S.A. E.S.P., según lo dispuesto en el Anexo 1 (numeral 1.2.) de la Resolución CREG 017 de 2.001 “Por la cual se establecen los cargos regulados para el Sistema de Transporte de Transcogas S.A. E.S.P.”.
En consecuencia, no resulta coherente y sería contrario al régimen tarifario que los gasoductos antes mencionados con los volúmenes de gas que ellos conllevan, sean tenidos en cuenta simultáneamente por la CREG, tanto para el cálculo de los cargos de transporte de Transcogas S.A. ESP como para el de distribución de Gas Natural S.A. ESP.
En segundo lugar, cabe destacar que no es cierta la afirmación contenida en el Documento CREG 041, en el sentido de que a la fecha de la solicitud tarifaria de Gas Natural S.A. ESP ya se había conformado el área de servicio exclusivo del altiplano Cundiboyacense, toda vez que fue con posterioridad a la expedición de la Resolución CREG 079 del 10 de septiembre de 1.996, por la cual se aprobó el Dt de Gas Natural S.A. ESP, que el Ministerio de Minas y Energía inició –mediante Resolución 8-2821 del 16 de octubre de 1.997- el proceso de selección del contratista para la distribución de gas natural en esta área, el cual se concretó con la suscripción del contrato de concesión celebrado con la empresa Gas Natural Cundiboyacense S.A. E.S.P el 11 de junio de 1.998.
Por lo anterior, Gas Natural S.A. ESP pudo incluir válidamente dentro de sus inversiones, gasoductos destinados a prestar el servicio a usuarios no regulados ubicados en el área de la Sabana de Bogotá, que fueron aprobadas por la CREG en la definición del Dt. Sin embargo, resulta claro que en las condiciones actuales la empresa no podría llevar a cabo tales inversiones, dado que desde 1998 se conformó el área de servicio exclusivo del altiplano Cundiboyacense y que de acuerdo con el artículo 127 de la Resolución CREG 057 de 1.996 (que entró a regir el 30 de agosto de 1.996, después de haber sido presentada la solicitud tarifaria La Resolución CREG 057 de 1.996 fue publicada en el Diario Oficial No. 42.867 del 30 de agosto de 1.996 y de acuerdo con la Resolución CREG 079 del 10 de septiembre de 1.996 que establece el Dt de Gas Natural S.A ESP, la empresa “presentó a consideración de la CREG la respectiva propuesta tarifaria el 8 de agosto de 1.996”.), los grandes consumidores ubicados dentro de esta área no pueden conectarse a un sistema de distribución de un distribuidor distinto del concesionario, aunque sí de un sistema o subsistema de transporte.
Por las razones expuestas, se solicita a la Comisión excluir de los activos que sirven de base para el cálculo del Cargo Promedio Máximo Unitario (Dt) de Gas Natural S.A. ESP, los gasoductos antes mencionados. En consecuencia, se debe modificar el artículo 1º y el anexo 1 de la Resolución CREG 025 de 2.001.
2. Modificación de los volúmenes de gas:
En la Resolución impugnada, la Comisión -pese a que excluye algunos activos considerados como de transporte- mantiene las mismas demandas presentadas por Gas Natural S.A. ESP en 1.996, sin tener en cuenta que la inversión en redes está directamente relacionada con la demanda esperada de gas, que sirve de base para el cálculo de la tarifa, tal como se deriva de la regulación vigente.
En este punto conviene señalar que, de acuerdo con la metodología utilizada para el cálculo de la tarifa de distribución de gas natural, ésta es el resultado de sumar los valores descontados de las inversiones y gastos de administración, operación y mantenimiento, y dividirlas por el valor descontado del volumen de gas proyectado en un horizonte dado. En efecto, el artículo 113 de la Resolución CREG 057 de 1.996 establece que dentro de la información que debe contener la solicitud de fijación de tarifa, la empresa debe incluir en lo relativo a costos, el “nivel y estructura de los costos económicos que varían tanto con la cantidad del consumo, como con la demanda del servicio. Se incluyen aquí los costos de inversión.” y, en lo relativo a proyecciones y expansiones, los “efectos de tales inversiones sobre la cobertura, calidad y costo del servicio.”
A su turno, el artículo 120 de la misma Resolución establece que la Comisión debe tener en cuenta al fijar la fórmula tarifaria para cada empresa, entre otros aspectos, el “Cargo promedio esperado por unidad de consumo, que reflejará tanto el nivel y estructura de los costos económicos que varían con la cantidad del consumo, como la demanda por el servicio, desagregando los componentes definidos por esta Resolución”.
En este orden de ideas se tiene que, al excluir las inversiones de los activos que fueron considerados de transporte para el recálculo del Dt, la CREG necesariamente tendría que haber excluido los volúmenes asociados con tales inversiones.
En el caso que nos ocupa se encuentra que en la Resolución CREG 079 de 1.996, la Comisión al establecer el Dt de Gas Natural S.A. ESP. acogió –sin ninguna exclusión- el plan de inversiones propuesto por la empresa y contenido en la solicitud tarifaria. Sobre el particular, el artículo primero de la citada Resolución señala que “El cargo Dt que se aprueba por medio de esta Resolución, estará sujeto al plan de inversiones que sirvió de base para aprobarlo, el cual fue presentado por la empresa ante la CREG (...)”.
En la solicitud de tarifa, Gas Natural S.A ESP presentó en el cuadro 5.18 el plan de inversiones que proyectaba ejecutar dentro de los cinco (5) años de vigencia de la tarifa y, en lo relativo al ensanche del gasoducto (que incluía tanto activos de distribución como otros que actualmente se consideran de transporte) contempló lo siguiente:
AÑO | INCREMENTO LONGITUD
(m) |
1996 | 64.629 |
1997 | 70.500 |
1998 | 70.500 |
1999 y sgts. | 0 |
Este plan de inversiones quedó reflejado en lo señalado en el numeral 2.3.3 del estudio presentado por la empresa, en algunos de cuyos apartes se lee lo siguiente:
“2.3.3 Proyecto Modificado
“(...) Tomando en consideración la factibilidad de contar con una mayor oferta de gas para Santa Fe de Bogotá procedente de la Guajira (ver mapa 3), una eventual interconexión con Venezuela o los nuevos yacimientos de Cusiana, que en todos los casos llegaría por el norte de la ciudad, se decidió modificar el diseño inicial, de manera que las tres líneas de 14” se convirtieran en una troncal entre Usme y la calle 122, la cual se interconectará en el futuro próximo con la línea de abastecimiento a Santa Fe de Bogotá por el sector norte de la ciudad, con lo cual se asegura el suministro al sur de la ciudad.
“La troncal de 14” ya construida en su primera fase, funciona como un gran pulmón para disminuir el efecto de los consumos pico, y permite además el almacenamiento de gas para atender una contingencia de pocas horas. La máxima funcionalidad y utilización de esta línea se logrará cuando se asegure un mayor suministro de gas a la Capital del país, continuando el trazado hasta la estación City Gate de Cogua.
“Durante el período 1.996 – 1.997 se llevará a cabo la construcción de la segunda fase de la troncal de 14” hasta la Localidad de La Caro y el anillo externo a la Capital de la República, en tubería de 20” que permitirá en el futuro el suministro de gas a las poblaciones vecinas, consolidando de esta manera el área de servicio de Gas Natural S.A ESP para algo más de 1’500.000 usuarios en el año 2.010 (ver mapas 5 a 10)”.
A su turno, en el mapa No. 5 denominado “Estudio Tarifario 1.997–2.001. Red Troncal de Acero”, cuya copia se anexa, se observa que el gasoducto fue diseñado de manera tal que pasaba por distintos municipios de la Sabana de Bogotá, tales como Facatativa, Madrid, Mosquera, Funza, Cota, Chía, Cajicá, Briceño y Cogua. En consecuencia, el gasoducto diseñado por la empresa y cuya inversión fue reconocida por la CREG al fijar la tarifa, estaba en capacidad de llevar gas natural a usuarios no regulados localizados en estas áreas.
Lo anterior se corrobora con la relación de inversiones que Gas Natural S.A. ESP presentó posteriormente a la CREG, cuya copia se anexa, en la que las cifras globales previstas en el cuadro 5.18 del estudio presentado se discriminan por tramos de gasoducto, incluyendo –entre otros- los siguientes: (i) para el año 1.995, un gasoducto de 20” que aunque no tiene denominación corresponde a Zipalandia-Estación I; (ii) para el año 1.996, los tramos de Zipalandia–Estación II, Chía–Cajicá, Guacari–Briceño y Cajicá-Zipalandia; (iii) para el año 1.997, los tramos de Suba-Cota, Chía-Cota, Cota-Siberia, Siberia-Funza, Briceño-Leona, Leona-Tibito I; (iv) para el año de 1.998, los tramos de Leona-Tibito II, Funza-La Granja, La Granja-El Corzo, El Corzo-La Magdalena, Briceño-La Caro y La Caro-Calle 170.
En concordancia con las inversiones propuestas, la empresa presentó en el cuadro 5.17 del estudio, las proyecciones totales de volúmenes de gas para un horizonte de 25 años, incluyendo en ellas, sin discriminar, el consumo proyectado de los usuarios no regulados ubicados en la Sabana de Bogotá, cuyos valores en Mbtu se presentan en la siguiente tabla con su equivalente en metros cúbicos (m3):
AÑO | CONSUMO TOTAL
(Mbtu) | CONSUMO TOTAL
(m3) |
1996 | 5.974.875,2 | 144,715,419 |
1997 | 9.342.988,2 | 231,346,539 |
1998 | 12.388.023,4 | 313,525.895 |
1.999 | 15.575.976,8 | 400,424,176 |
2.000 | 18.842.156,0 | 489,251,180 |
2.001 | 21.823.342,7 | 570,303,968 |
2.002 | 24.173.362,0 | 634,151,002 |
2.003 | 26.166.078,5 | 684,580,029 |
2.004 | 27.927.629,5 | 726,756,607 |
2.005 y sgts. | 29.577.265,6 | 766,315,781 |
Atendiendo la solicitud de la Comisión contenida en el oficio MMECREG-0820 del 20 de mayo de 1.999, en el sentido de discriminar los activos de transporte de los de distribución, Gas Natural S.A. ESP presentó en la tabla 2 de la comunicación del 15 de julio de 1.999, cuya copia se anexa, el impacto que sobre los flujos de demanda tenía la separación de tales activos, así:
AÑO | TOTAL VOLUMEN
(m3) | VOLUMEN DISTRIBUCION | VOLUMEN
USUARIOS NO REGULADOS |
1.996 | 144,715,489 | 140,554,829 | 4,260,660 |
1.997 | 231,346,552 | 213,995,551 | 17,350,990 |
1.998 | 313,525,906 | 290,011,464 | 23,514,442 |
1.999 | 400,424,177 | 370,392,365 | 30,031,812 |
2.000 | 489,251,188 | 444,225,188 | 45,000,000 |
2.001 | 570,303,960 | 502,303,960 | 68,000,000 |
2.002 | 634,150,994 | 558,150,994 | 76,000,000 |
2.003 | 684,580,032 | 598,980,032 | 85,600,000 |
2.004 | 729,756,609 | 631,456,609 | 95,300,000 |
2.005 y sgts. | 766,315,795 | 648,215,795 | 118,100,000 |
Resulta claro entonces que, aunque en la propuesta presentada inicialmente por Gas Natural S.A. ESP no se discriminaron los volúmenes de gas con destino a los usuarios no regulados de la Sabana de Bogotá, la magnitud de los volúmenes era tal, que no podía ser subsumida por la actividad de distribución en Bogotá y Soacha exclusivamente; lo que se corrobora si se revisan los volúmenes que en la práctica ha distribuido la empresa en estas ciudades, así: en 1996 un total de 117,1 Mm3; en el año de 1997, 160 Mm3; en 1998, 227,7 Mm3; en 1999, 307 Mm3 y, en el año 2000, 408 Mm3. Cifras tomadas de los Informes de Gestión.
Por el contrario, del plan de inversiones presentado por la empresa y reconocido por la CREG se deriva que, el gasoducto no se diseñó sólo para atender a los usuarios de Bogotá y Soacha, sino también para llegar a los usuarios no regulados ubicados en los otros municipios de la Sabana de Bogotá, tal como quedó registrado en la tabla 2 anexa a la comunicación 1000-088-99 del 15 de julio de 1.999.
En este sentido se tiene que, mediante comunicación 1000-009-00 del 8 de febrero de 2.000 -a la cual se omite hacer referencia en el Anexo 3 del Documento CREG 041 de 2.001- la empresa manifestó a la Comisión lo siguiente: “Dentro de los gasoductos presentados por Gas Natural S.A. ESP como inversiones para su solicitud de Dt se encontraban contempladas infraestructuras claramente destinadas a atender la demanda de los grandes consumidores de la Sabana de Bogotá, adicionales a la línea troncal Cogua-Funza (que evidentemente fue dimensionada para estos consumos), tales como el Anillo Briceño-Leona-Tibitó o la línea Funza-Facatativá, las cuales no tienen físicamente la posibilidad de dar suministro de gas a Santafé de Bogotá, y no se entendería entonces que hubieran sido aceptadas por el regulador como parte de la tarifa de Gas Natural S.A. ESP si no tenían consumos asociados”.
Así las cosas, de no excluirse los volúmenes expresamente solicitados por la empresa, mediante las comunicaciones del 15 de julio de 1.999 y del 8 de febrero de 2.000 antes mencionadas, se tendría que la CREG aprobó unas inversiones que por no tener volúmenes de gas asociados, resultarían altamente ineficientes, lo cual, constituiría un desconocimiento de los principios establecidos en el artículo 87 de la Ley 142 de 1.994 que informan el régimen tarifario. Razón por la cual, no se encuentra el fundamento para que la Comisión, no obstante haber excluido algunos activos que sirvieron de base para el cálculo del Dt, haya omitido excluir los volúmenes de gas correspondientes.
En este punto, cabe señalar que en el Documento CREG 041 que sirvió de base a la Resolución impugnada, se sostiene lo siguiente:
“No es claro por qué GAS NATURAL S.A. E.S.P. menciona que incluyó demandas de consumidores del Área Exclusiva si en ese momento ya conocía de la creación de dicha zona según lo manifiesta en el documento de Estudio de Costos.
“En efecto, la necesidad de utilizar la modalidad contractual de Área de Servicio Exclusivo en el altiplano Cundiboyacense se verificó en la Resolución CREG 081 de 1.995, y en el literal b) del artículo 127 de la Resolución CREG 057 de 1.996 se establece que: ‘Los grandes consumidores ubicados dentro de un área de servicio exclusivo podrán conectarse libremente a un sistema o a un subsistema de transporte, pero no podrán conectarse a un sistema de distribución de un distribuidor distinto al contratista del área de servicio exclusivo.
“Con base en lo anterior, no se considera aceptable la solicitud de Gas Natural S.A E.S.P. para excluir de las proyecciones de demanda utilizadas en 1.996, las reportadas por ellos como correspondientes al área de servicio exclusivo y se propone que dichos valores se mantengan iguales a los tomados en esa ocasión”.
Las afirmaciones parcialmente transcritas carecen de fundamento, por cuanto no es cierto que al momento de la presentación de la solicitud de Gas Natural S.A ESP ni al de la aprobación de la tarifa, ya se hubiera creado el área de servicio exclusivo del altiplano cundiboyacense, como tampoco lo es, que tal situación se hubiera reconocido en el Estudio de Costos y Tarifas presentado por Gas Natural S.A ESP.
Precisamente, en este estudio la empresa advirtió que aunque aún no se había iniciado el trámite para la adjudicación del área exclusiva, se abstenía de adelantar proyectos de distribución de gas en los municipios, al señalar lo siguiente: “El Ministerio de Minas y Energía revocó la invitación pública para la construcción y operación del Gasoducto Urbano para los municipios del área de influencia de Bogotá, tales como Zipaquirá, Tocancipá, Gachancipá, Briceño, Sopó, Cajicá, Tabio, Tenjo, Chía, Cota, Funza, Mosquera, Madrid, Bojacá, Zipacón y Factatativá. Ante esta circunstancia, Gas Natural ESP ha suspendido temporalmente los proyectos de distribución de gas en los citados municipios, que le permitirían consolidar su presencia, y ofrecer a la población un servicio con las más altas especificaciones técnicas de seguridad y confiabilidad, a las tarifas vigentes para la Capital del país.” (Negrilla fuera de texto).
Lo anterior, no quiere decir que Gas Natural S.A. ESP dentro de sus proyecciones no hubiera contemplado el suministro de gas a los usuarios no regulados de estas áreas, lo que resultaba perfectamente viable, toda vez que como ya se advirtió el Ministerio de Minas y Energía no había iniciado el trámite para la adjudicación del área de servicio exclusivo del altiplano cundiboyacense y, en ese sentido no se había creado la exclusividad de la zona, pues aunque la CREG había verificado mediante Resolución 081 del 27 de diciembre de 1.995 que algunos de los municipios de la zona podían integrar un área de servicio exclusivo, el Ministerio sólo inició el trámite de adjudicación casi dos años después, al expedir la Resolución 8-2821 del 16 de octubre de 1.997, previa modificación de la Resolución CREG 081 de 1.995 por la 097 de 1.997, en el sentido de excluir algunos municipios del área exclusiva.
Sobre el alcance de la facultad de la CREG, el parágrafo del artículo 40 de la Ley 142 de 1.994 es claro al establecer que se limita a verificar la existencia de los motivos para el establecimiento de las áreas de servicio exclusivo, como paso previo a la conformación de las mismas por parte del Ministerio, cuando señala: “La comisión de regulación respectiva definirá, por vía general, cómo se verifica la existencia de los motivos que permiten la inclusión de áreas de servicio exclusivo en los contratos; definirá los lineamientos generales y las condiciones a las cuales deben someterse ellos; y, antes de que se abra una licitación que incluya estas cláusulas dentro de los contratos propuestos, verificará que ellas sean indispensables para asegurar la viabilidad financiera de la extensión de la cobertura a las personas de menores ingresos”. Por su parte, el artículo 174 de la misma ley, establece que la potestad para otorgar las áreas de servicio exclusivo para la distribución de gas natural radica en cabeza del Ministerio de Minas y Energía, al señalar que “Por motivos de interés social y con el propósito de que la utilización racional del recurso gas natural, permita la expansión y cobertura del servicio a las personas de menores recursos, por un término de veinte (20) años, contados a partir de la vigencia de esta ley, el Ministerio de Minas y Energía podrá otorgar las áreas de servicio exclusivo para la distribución domiciliaria de gas combustible por red, de acuerdo con las disposiciones contenidas en el artículo 40 de esta ley.” (Negrillas fuera de texto).
En este sentido, el Ministerio de Minas y Energía en la comunicación del 15 de marzo de 1.996, cuya copia se anexa, aclaró a Gas Natural S.A ESP lo siguiente:
“La CREG, por medio de Resolución No. 081 de diciembre 27 de 1.995 dispuso en su artículo primero, que la zona geográfica de Cundinamarca y Boyacá puede ser establecida por la Nación – Ministerio de Minas y Energía, como área de servicio exclusivo para la prestación del servicio público de distribución de gas natural por red, por reunir los requisitos generales previstos en la Resolución 014 de 1.995 de la misma CREG.
“(...)
“Bajo el amparo de la actual ley de servicios públicos domiciliarios, existe libertad de empresa para distribuir gas combustible por red, siempre y cuando dicha actividad no se realice en una zona que haya sido establecida como área exclusiva de distribución, caso en el cual, para que una empresa pueda distribuir gas combustible por red, debe ostentar la calidad de concesionario de la Nación, de conformidad con los artículos 40 y 174 de la Ley 142 de 1.994.
“Teniendo en cuenta que este Ministerio va a ejercer la facultad de establecer la zona geográfica de Cundinamarca-Boyacá como área exclusiva en los términos en que lo conceptuó la CREG, me permito manifestarle que una vez se adjudique la distribución en dicha área, sólo la empresa de servicios públicos que resulte favorecida en la invitación pública podrá realizar la actividad de distribución de gas combustible por red.
“(...)
“Así las cosas, este Ministerio entiende que las empresas que resuelvan iniciar la construcción de redes con el propósito de distribuir gas en zonas para las cuales la CREG conceptuó que pueden ser establecidas como exclusivas y que van a ser adjudicadas por la Nación, lo hacen bajo su propia responsabilidad y riesgo”. (Negrillas fuera de texto).
Tal como lo advierte el Ministerio, al momento de expedir la comunicación parcialmente transcrita, no se había afectado el área del altiplano cundiboyacense para el servicio exclusivo de distribución y, en consecuencia, esta actividad podía ser desarrollada libremente por cualquier empresa de servicios públicos domiciliarios; sin embargo, dado que el Ministerio informó que proyectaba iniciar el trámite de adjudicación, la empresa se abstuvo de incluir en sus proyecciones, la distribución de gas para los usuarios regulados de los municipios que conformarían el área exclusiva, pero no así para los usuarios no regulados frente a los cuales no existía en ese momento ningún impedimento para prestar el servicio, toda vez que la Resolución CREG 014 de 1.995 –por la cual se determinaban los criterios generales para la contratación de áreas de servicio exclusivo para la distribución de gas- que estaba vigente el 8 de agosto de 1.996 cuando fue presentada la solicitud tarifaria, establecía en su artículo 3º lo siguiente:
“Normas aplicables. Los contratistas serán Empresas de Servicios Públicos y estarán sometidos a la Ley 142 de 1.994, a las disposiciones que la modifiquen y a las cláusulas contractuales. En lo no previsto por ellas, a las Resoluciones expedidas por la Comisión sobre el servicio público de gas combustible, en particular las que contienen las disposiciones generales, las referentes al transporte y la distribución y las que la modifiquen, complementen o adicionen.
“La prestación del servicio por parte de las empresas contratistas a consumidores no residenciales, no hace parte del contrato de exclusividad y se regirá por la Ley 142 de 1.994, las normas que la modifiquen y las resoluciones de la Comisión.” (Negrillas fuera de texto)
Lo anterior en consonancia con lo dispuesto en el artículo 9.2 de la Ley 142 de 1.994, según el cual, el usuario puede elegir libremente el prestador del servicio, no sólo facultaba a Gas Natural S.A. ESP para ofrecer el servicio a los usuarios no regulados ubicados en una potencial área de servicio exclusivo, sino también a los que estuvieran ubicados en un área ya adjudicada por el Ministerio. Por tal razón, la empresa incluyó dentro de las inversiones y demandas de gas presentadas en la solicitud tarifaria, las relativas al cubrimiento de los grandes consumidores de la Sabana de Bogotá que fueron reconocidas en su totalidad por la Comisión al fijar la tarifa de Gas Natural S.A. ESP mediante la Resolución CREG 079 de 1.996.
En este punto cabe señalar que, si bien al momento de fijarse la tarifa de la empresa había entrado a regir la Resolución CREG 057 de 1.996, que modificó -entre otras- la 014 de 1.995, y prohibió a los usuarios no regulados de las áreas de servicio exclusivo conectarse a sistemas de distribución diferentes al del concesionario, la Comisión no excluyó las inversiones contempladas para los usuarios no regulados de la Sabana de Bogotá ni sus volúmenes asociados, por cuanto a esa fecha no se había iniciado el trámite de adjudicación del área de servicio exclusivo del altiplano cundiboyacense, lo cual, sólo ocurrió cuando se hizo pública la invitación con los avisos del 6 y 8 de noviembre de 1.997.
De todo lo expuesto en este acápite se puede concluir lo siguiente:
(i) Que al momento en que Gas Natural S.A. ESP presentó la solicitud tarifaria, así como al momento en que se aprobó el correspondiente Dt por parte de la Comisión, el Ministerio de Minas y Energía no había iniciado el trámite de adjudicación del área exclusiva para la prestación del servicio de distribución de gas natural y, en esa medida, esta empresa o cualquier otra, podía optar por prestar el servicio a los usuarios no regulados ubicados en la Sabana de Bogotá;
(ii) Que al momento de la presentación de la solicitud tarifaria (8 de agosto de 1.996, según consta en la Resolución CREG 079 del 10 de septiembre 1.996) se encontraba vigente la Resolución 014 de 1.995, en virtud de la cual era posible que un distribuidor suministrara gas a los usuarios no residenciales ubicados en las áreas de servicio exclusivo;
(iii) Que dada la regulación vigente al momento de la presentación de la solicitud tarifaria y teniendo en cuenta que se había suspendido la iniciación del trámite de adjudicación del área de servicio exclusivo, resultaba perfectamente viable que la empresa incluyera en sus proyecciones tanto las inversiones, como los volúmenes de gas para atender a los usuarios no regulados de la Sabana de Bogotá; y,
(iv) Que si la CREG consideraba que al momento de la fijación del Dt de Gas Natural S.A ESP ya existía el área de servicio exclusivo del altiplano cundiboyacense y, dado que había entrado a regir la Resolución CREG 057 de 1.996, no ha debido aprobar las inversiones y volúmenes vinculados a la prestación del servicio a los usuarios no regulados de la Sabana de Bogotá; por cuanto si aprobaba las inversiones, sin tener en cuenta los volúmenes correspondientes, estaría propiciando una inversión altamente ineficiente, en perjuicio de los usuarios; y, por el contrario, si reconocía tanto las inversiones como los volúmenes, a sabiendas de que la empresa no los podría ni ejecutar ni distribuir, estaría aprobando una tarifa contraria a los principios que orientan el régimen tarifario, que podía generar subsidios para los usuarios de Bogotá y Soacha.
Por las razones expuestas y como consecuencia de la exclusión de los activos de transporte de la base del cálculo del Dt de Gas Natural S.A ESP, se solicita a la Comisión excluir los volúmenes descontados de gas asociados con dichas inversiones, los cuales fueron reportados en la tabla No. 2 de la comunicación No. 1000-088-99 del 15 de julio de 1.999 y que en total ascienden a trescientos noventa y dos millones de metros cúbicos (392Mm3), así como modificar el artículo 1º de la Resolución recurrida en el sentido de ajustar el Cargo Promedio Máximo Unitario (Dt) de acuerdo con los nuevos volúmenes.
3. Gastos de Administración, Operación y Mantenimiento (AO&M):
En cuanto a los gastos de AO&M que debían excluirse de la base del cálculo del Dt de Gas Natural S.A. ESP como consecuencia de la desagregación de los activos de transporte, se encuentra que en el parágrafo del artículo 1º de la Resolución CREG 025 de 2.001, se señala: “Los activos excluidos del cálculo del Dt de GAS NATURAL S.A. E.S.P. son los señalados en el Anexo 1 de esta Resolución, correspondientes a un costo total de $27,333 millones de pesos de 1.995. Los gastos AOM excluidos son los proporcionales a este valor de activos”. Sin embargo, en la Resolución impugnada, la Comisión no establece cuál es el porcentaje que aplica para determinar el monto de los gastos de AO&M que excluye del cálculo del Dt, ni señala claramente los criterios con base en los cuales se pueda determinar ese porcentaje.
Por su parte, revisado el Documento CREG 041 que sirvió de base a la Resolución, se tiene que éste contiene información incompleta y sesgada que pudo haber inducido a la Comisión a adoptar una desagregación de los gastos de AO&M equivocada, que afecta de manera grave los intereses de Gas Natural S.A. ESP.
En efecto, en el numeral 3.2 del Documento CREG se afirma que:
“En el Estudio de Costos, los valores anuales de AOM equivalían en promedio a un 11% anual de la inversión acumulada. En la solicitud de recálculo, GAS NATURAL S.A. E.S.P. hace una desagregación de los AOM que resulta en: i) para transporte, un valor equivalente al 1% anual del total de los activos de esa actividad; y ii) para distribución, porcentajes entre el 10% y el 21% del valor acumulado de los activos correspondientes. Adicionalmente, en otra comunicación la empresa indica que los gastos administrativos de los activos de transporte se toman con valor cero.
“Se propone entonces, distribuir los AOM tomados para el cálculo del Dt, entre transporte y distribución en forma proporcional a la inversión acumulada para cada año en cada una de estas actividades. Los resultados, vistos nuevamente en valor presente, muestran que los $136,394 millones quedarían así. $17,009 millones para transporte, $119,385 millones para distribución, frente a la solicitud de la empresa que los distribuye en: $2,274 millones y $134,119 millones respectivamente”.
Un análisis completo, y no parcial como el que se expone en el Documento CREG, muestra una realidad distinta de los porcentajes allí mencionados, así:
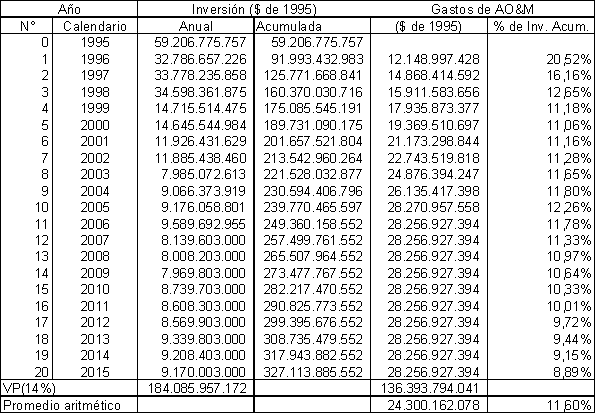
i) Los valores anuales de AO&M presentados por Gas Natural S.A. ESP en la solicitud tarifaria de 1.996, no corresponden a un 11% de la inversión acumulada, como lo sostiene el documento CREG, sino a un 11.6%, tal como se advierte en la siguiente Tabla. Al omitirse el 0.6% se induce a pensar que los AO&M eran inferiores a los aprobados originalmente en el Dt de Gas Natural S.A. ESP.
ii) Como se observa en la Tabla anterior, el 11% a que hace referencia el Documento CREG, oculta el verdadero rango de variación de los porcentajes resultantes de los gastos de AO&M incluidos en el Dt original, el cual oscila entre el 20.52% para el año 1 y el 8.89% para el año 20, y no permite apreciar que los porcentajes más altos sólo ocurren durante los tres primeros años de los 20 del horizonte de análisis, con una reducción significativa a medida que avanza el tiempo.
iii) La referencia que en el Documento CREG se hace al rango de variación de los porcentajes resultantes de la solicitud de desagregación presentada por Gas Natural S.A. ESP (entre el 10% y el 21%), omite presentar el promedio correspondiente a dicho rango, el cual es de 13.97%, y no menciona que los porcentajes altos también ocurren en los primeros tres años, tal como se muestra en la siguiente Tabla:
La situación anterior unida al hecho de que se mencione que Gas Natural S.A ESP sólo asigna a gastos de AO&M en transporte, el 1% del total de activos desagregados, induce a pensar que la solicitud de la empresa es desproporcionada, cuando realmente resulta bastante adecuada, más aún si se tiene en cuenta que el 1% representa los ahorros en gastos de una empresa de distribución (Gas Natural S.A. ESP.), y no los gastos de AO&M de una empresa de transporte (Transcogas S.A. ESP.).
En conclusión, la manera en que se presentó la desagregación de los gastos de AO&M en el Documento CREG-041 sesgó completamente el análisis y pudo haber inducido a los miembros de la Comisión a adoptar una decisión injusta para Gas Natural S.A. ESP.
Aparte de las omisiones en la información antes anotadas, la empresa no comparte la decisión de la Comisión, en el sentido de desagregar los gastos de AO&M totales con los cuales se calculó el Dt de Gas Natural S.A. ESP. en 1996, en proporción a la inversión asignable a los activos de los sistemas de distribución y de transporte, por las siguientes razones:
En primer lugar, dado que ni en la Resolución CREG-025 de 2.001 ni en el Documento CREG-041 del 20 de febrero del mismo año, aparecen de manera explícita los gastos de AO&M sustraídos por la CREG, la empresa los calculó con base en el criterio expuesto en dichos documentos, esto es, aplicando a los activos de transporte, el mismo porcentaje de AO&M presentado en la solicitud tarifaria de 1.996. En este sentido, se tomaron porcentajes que varían entre el 20.52% para el año 1 y el 8.89% para el año 20, lo que da un promedio aritmético para los 20 años de 11.6%, tal como se muestra en la siguiente Tabla

El resultado en valor presente así calculado es de $16,684.6 millones, el cual, resulta inferior en $324 millones a los $17,009 millones reportados a la Comisión en el mencionado Documento CREG-041.
Adicionalmente, resulta claro que el hecho de desagregar los gastos de AO&M en proporción a la inversión, conduce a sobrestimar los gastos correspondientes a transporte, y por lo tanto, a restar en el recálculo del Dt de Gas Natural S.A. ESP. una cantidad superior a la debida. En efecto, en la siguiente Tabla se muestran de manera desagregada los ahorros en gastos de AO&M que Gas Natural S.A. ESP. obtiene al excluir de su sistema de distribución, los activos que actualmente se consideran de transporte, los cuales fueron reportados por la empresa mediante comunicación No. 1400-0065-2000 del 4 de julio del 2.000, cuya copia se anexa.

Tal como se anotó en la comunicación mencionada, dado que la magnitud de los requerimientos administrativos asociados a los activos que hoy son de transporte, era significativamente inferior a los requerimientos propios de la distribución, Gas Natural S.A. ESP. estimó en cero los ahorros en gastos administrativos asignables a la exclusión de tales activos.
En otras palabras, el hecho de extraer del sistema de distribución, los activos que hoy son de transporte, no conduce a eliminar (ni a ahorrar) gastos de administración propios de Gas Natural S.A. ESP. como son la Gerencia General, las áreas de apoyo (Planeación, Administrativa, Financiera, Jurídica, Control Interno, Relaciones Externas, etc.), ni las áreas Comerciales que, como es sabido, comprometen cuantiosos recursos de las Empresas de Distribución. Para comprender la verdadera dimensión de este argumento es preciso insistir en que los activos que hoy son de Transporte, cuando en 1996 Gas Natural S.A. ESP. presentó su solicitud de tarifas, no lo eran, y por lo tanto, no se asociaba a ellos actividades propias de las Empresas Transportadoras. Adicionalmente, las actividades comerciales y de clientela de una distribuidora no son comparables con las de una transportadora, pues aquéllas implican el manejo de numerosos clientes (pequeños y atomizados), ubicados en una extensa área de cobertura, que demandan enormes recursos y esfuerzos para su adecuada atención (lectura de medidores, facturación individual, recaudo individual que es retribuido a los bancos, manejo de cartera, atención de emergencias, Oficinas de Peticiones Quejas y Reclamos, etc.).
En cuanto a los gastos de operación y mantenimiento, los otros dos componentes de los AO&M, contenidos en la Tabla anterior, reflejan el ahorro directo en recursos que implica para Gas Natural S.A. ESP. el no tener que operar las redes que hoy son de transporte. Cabe anotar que en estos gastos no es adecuado incluir como ahorro, los costos de los niveles jerárquicos superiores de las áreas operativa y de mantenimiento, dado que éstos se requieren para la actividad de distribución, independientemente de poseer o no las redes de transporte.
Adicionalmente, los gastos de operación y mantenimiento tienen mayor incidencia en las redes de media presión, toda vez que por su longitud, estas líneas no resultan comparables con las destinadas a transporte y por estar ubicadas en la ciudad se encuentran expuestas a una mayor intervención de terceros, lo que implica que pueden ser objeto de daños con más frecuencia que las redes de transporte.
Como se señaló en la comunicación del 4 de julio de 2000, antes citada, los ahorros para Gas Natural S.A. ESP sólo representan el 1% de la inversión de los activos que hoy son de transporte, porcentaje significativamente inferior al que resulta de la asignación realizada por la CREG, que como se vio es superior al 11% en promedio.
En segundo lugar, se tiene que en el caso de las empresas transportadoras a las que recientemente les fueron fijados los cargos regulados de transporte, con base en la metodología establecida en la Resolución CREG 01 de 2.000 y sus modificaciones, la Comisión reconoció como gastos de AO&M unos valores que oscilan entre el dos punto cuarenta y siete por ciento (2.47%) y el cuatro punto dos por ciento (4.2%) del valor de la inversión correspondiente, lo que no se compadece con la asignación realizada por la CREG a los activos que hoy son del Sistema de Transporte de la Sabana de Bogotá. En efecto, el porcentaje más alto sería de sólo el 4.2% (Caso Promigas) frente al 11.6% resultante de la asignación que se comenta, tal como se evidencia en la siguiente Tabla.
FUENTE | EMPRESA | INVERSIÓN
TOTAL (MCol$0) 1/ | AO&M |
 |  |  | (MCOL$) /2%
respecto a inversión |
Resol CREG-015/01 | Transmetano | 148.517,0 | 4.419,7 2,98 |
Resol CREG-017/01 | Transcogas | 107.787,7 | 2.663,9 2,47 |
Resol CREG-016/01 | Transoriente | 51.490,7 | 2.047,6 3,98 |
Resol CREG-018/01 | Promigas | 749.693,6 | 31.489,7 4,20 |
1/ Tasa de cambio a diciembre de 2000= Col$ 2229.18 / US$
2/ Se tomó el valor más alto en el horizonte de proyección. |  |  |  |
En tercer lugar, debe tenerse en cuenta que la CREG reconoció a Transcogas S.A. ESP. la suma de $2,663.9 millones de diciembre del 2000, que equivalen a $1,460.0 Inflaciones consideradas. 1996: 21.63%, 1997: 17.68%, 1998: 16.70%, 1999: 9.23%. millones de diciembre de 1995. Estos costos, que corresponden a todas las redes del Sistema de Transporte de la Sabana y no sólo a las que fueron excluidas del Dt de Gas Natural S.A. ESP., son sustancialmente inferiores a los que presumiblemente la misma CREG asignó a los activos de transporte en el Documento CREG-041, los cuales en pesos de diciembre de 1995, oscilan en un rango entre $2,151 y $3,351 millones, con un promedio de $2,885 millones, tal como se presentó anteriormente.
En consecuencia, la CREG reconoció a Transcogas S.A. ESP un monto de gastos de AO&M de $1,460 millones por unas inversiones de $45,580 millones; relación que no se conserva en el caso de Gas Natural S.A ESP, toda vez que se excluye del Dt, un valor de gastos de AO&M superior (equivalente en promedio a $2,885 millones), frente a unas inversiones significativamente inferiores ($27,333 millones), lo cual resulta incoherente, dado que la empresa transportadora deberá incurrir en gastos administrativos y comerciales para desarrollar su actividad, en los cuales, como se advirtió, no incurría Gas Natural S.A. ESP al tener estos activos.
Y, en cuarto lugar, la asignación de gastos AO&M en una proporción del 11% de las inversiones en activos de distribución y de transporte establecida por la CREG Que como ya se demostró es del 11.6% y no del 11% , resulta del todo desproporcionada si se tiene en cuenta que en la Resolución CREG 102 de 1.998 -por la cual se indicaban las bases sobre las cuales se reglamentaría la metodología para el cálculo del costo medio para el transporte de gas natural- se preveía en el artículo 1.2.3 lo siguiente: “Para el cálculo anual de los gastos de administración, operación y mantenimiento se reconocerá máximo el 2% de la suma de la inversión reconocida en la última revisión tarifaria, actualizada con la inflación certificada por el Bureau Census de los Estados Unidos de América a la Fecha Base, y de las nuevas inversiones en activos propios de la inversión y en otros activos en dólares de la Fecha Base aprobadas por la Comisión. Este porcentaje regirá durante el PRI de los activos y podrá ser superior para aquellas empresas que por su escala así lo requieran”. (Negrilla fuera de texto).
Si bien, esta disposición no se incorporó en la nueva metodología establecida en la Resolución CREG 01 de 2.000, modificada en este punto por la 085 del mismo año, sí resulta indicativa respecto del valor de los gastos de AO&M que se considera aceptable en relación con el valor de la inversión para una empresa transportadora de gas.
En resumen, la CREG al asignar los gastos de AO&M que había reconocido a Gas Natural S.A. ESP en su solicitud de 1996, en proporción a las inversiones en activos de distribución y de transporte, sobrestima los ahorros que para la empresa conlleva el hecho de no tener que operar los activos de transporte, lo cual conduce a reducir los AO&M de Gas Natural S.A. ESP, más allá de lo adecuado.
De acuerdo con los argumentos expuestos, se solicita a la Comisión fijar los gastos de AO&M que se excluirán del cálculo del Dt de Gas Natural S.A ESP en un 1% del valor total de los activos de transporte desagregados, tal como se presentó en la comunicación de la empresa de fecha 4 de julio del 2000 y, en este sentido, se solicita modificar el artículo 1º de la Resolución impugnada.
Finalmente, cabe destacar que no resulta jurídicamente aceptable el criterio que tuvo en cuenta la Comisión –según se indica en el Documento CREG-041 de 2.001- para no aceptar la propuesta del recálculo del Dt presentada por la empresa, consistente en evitar que la suma del Dt recalculado y la tarifa de transporte asignada a la nueva empresa, superara la actual tarifa de distribución. En efecto, en el Documento se advierte:
“(...) Con base en dicha información, solicitan un Cargo Promedio Máximo de Distribución de gas natural (Dt) para el sistema exclusivo de GAS NATURAL S.A. E.S.P. de $117.57 por metro cúbico (m3) expresado en valores de 1.996.
“Vale decir que dicho cargo, cuyo valor es similar al vigente ($117.10/m3) resultaría para los usuarios del sistema de distribución de Bogotá y Soacha en un incremento en su tarifa, igual al cargo de transporte que se le asigne a TRANSCOGAS S.A. E.S.P. como remuneración para el Gasoducto Cogua-Bogotá.”
En este punto, se hace necesario aclarar –en primer término- que no se encuentra ningún antecedente en la regulación que permita concluir que a las empresas distribuidoras se les pueda supeditar su Dt al valor de la tarifa que se apruebe a la empresa prestadora del servicio de transporte, dado que son actividades diferentes, que por mandato de la regulación deben ser desarrolladas por empresas independientes. En este sentido, aunque la empresa reconoce que existe una relación entre el recálculo del Dt de Gas Natural S.A. ESP y la tarifa de Transcogas S.A. ESP, en la medida en que se deben excluir de la primera, unos activos para ser reconocidos en la segunda, lo cierto es que ninguna de las dos empresas puede tener ingerencia en la estructura de inversiones y costos de la otra y por lo mismo, no se entiende por qué razón el estudio para la fijación de la tarifa correspondiente no se practica atendiendo exclusivamente las características propias de cada empresa, sino que por el contrario se estructura de manera tal, que lo que se le resta al Dt de Gas Natural S.A ESP. -en últimas- es lo que se reconoce en la tarifa de transporte de Transcogas S.A. ESP.
Resulta evidente que una situación como la del caso que nos ocupa, conduce a que se produzca un incremento en la tarifa al usuario final como consecuencia de la pérdida de economías de escala y sinergias, situación que fue analizada anteriormente cuando se demostró que el ahorro para Gas Natural S.A. ESP derivado de la exclusión de los activos de transporte, no es significativo frente a los costos que acarrea la actividad de distribución. Este mayor costo ha sido admitido por los analistas (teóricos y prácticos) de la regulación moderna de los sectores eléctrico y de gas natural, Ver: REGULATORY REFORM – Economic Analysis and British Experience. Mark Amstrong, Simon Cowan, John Vickers. The MIT press, 1994. Capítulos 1 y 2. y se acepta en aras de ganar eficiencia a través de la competencia económica entre los agentes. En este punto vale la pena recordar que Gas Natural S.A. ESP mediante la comunicación 1000-0087-98 del 19 de agosto de 1998, cuya copia se anexa, advirtió a la CREG sobre los mayores costos que generaría el hecho de que esta empresa no pudiera prestar el servicio a los municipios del altiplano Cundiboyacense, sin embargo, la Comisión en oficio MMECREG-2072 del 11 de noviembre de 1998, negó la solicitud aduciendo lo siguiente: “La CREG considera la separación de actividades, dentro del servicio público domiciliario de gas combustible, como elemento fundamental para entre otros, promover la competencia, evitar prácticas restrictivas de la misma, y el abuso de la posición dominante de una empresa en el mercado, que son beneficios de mediano y largo plazo para los usuarios.” (ver copia anexa)
Por tal razón, se solicita a la Comisión aplicar los criterios establecidos en la regulación vigente, teniendo en cuenta exclusivamente las condiciones propias de la empresa Gas Natural S.A. ESP y, en consecuencia, no supeditar el recálculo de su Dt, a la tarifa de transporte que apruebe a Transcogas S.A. ESP.
ANEXOS Y PRUEBAS:
i) Documentales: Para que sean tenidos como pruebas al momento de resolver el recurso, se anexan los siguientes documentos:
1. Certificado de existencia y representación legal de la sociedad.
2. Copia del cuadro 5.18 “Plan de Inversiones en Redes” del Estudio de Costos y Tarifas presentado por Gas Natural S.A. ESP en 1.996.
3. Copia del Mapa No 5 “Red Troncal de Acero” del Estudio de Costos y Tarifas presentado por Gas Natural S.A. ESP en 1.996.
4. Copia de la relación discriminada de inversiones por Tramo de Gasoducto, para cada año (5 folios), presentada en su oportunidad por Gas Natural S.A. ESP.
5. Copia del cuadro 5.17 “Volúmenes y Compras de Gas en City Gate. Resultados del Despacho Económico”, que forma parte integral del Estudio de Costos y Tarifas presentado por Gas Natural S.A. ESP en 1.996.
6. Copia de la comunicación del 15 de julio de 1.999, radicada en la CREG bajo el No. 4075 de 1.999.
7. Copia del oficio sin número del 15 de marzo de 1.996 remitido por el Ministro de Minas y Energía a Gas Natural S.A. ESP.
8. Copia de la comunicación 1000-009-00 del 8 de febrero de 2000
9. Copia de la comunicación 1400-0065-2000 del 4 de julio de 2.000, radicada en la CREG bajo el No.5176 de 2.000.
10. Copia de la comunicación 1000-0087-98 del 19 de agosto de 1998.
11. Copia del oficio MMECREG-2072 del 11 de noviembre de 1998.
(ii) Audiencia. Dada la complejidad del asunto, se solicita fijar fecha y hora para que en audiencia, sean recibidos funcionarios de esta empresa, a fin de exponer a los miembros de la Comisión y el Comité de Expertos de la misma, las razones de inconformidad respecto de la Resolución CREG 025 de 2.001. ”
III. PRUEBAS
Que en desarrollo del proceso, la Dirección Ejecutiva de la CREG dictó, el 13 de junio de 2001, un Auto de Pruebas con el propósito de que GAS NATURAL S.A. E.S.P. identificara los gasoductos incluidos en la solicitud tarifaria y los costos unitarios de dichos gasoductos;
Que GAS NATURAL S.A. E.S.P. respondió dicho Auto con la comunicación radicada en la CREG con el número 6066 del 11 de julio de 2001, y en resumen contiene lo siguiente:
“ ... la información de gasoductos, sitios de conexión y diámetros fue suministrada por la empresa a la Comisión el 18 de abril de 2001 en el anexo 4 del recurso de reposición interpuesto contra la Resolución CREG-025 de 2001 (se anexa copia pág. 37 a 40). Por su parte, la información de costos unitarios está contenida en los cuadros 5.1 (pág. 89) y 5.18 (pág. 111) del Estudio de Costos y Tarifas arriba mencionado, cuyas copias se anexan.”
Que dentro del recurso de reposición y en carta radicada en la CREG con el número 4467 del 18 de mayo de 2001, GAS NATURAL S.A. E.S.P. solicitó una audiencia para exponer ante los miembros de la Comisión y ante el Comité de Expertos, las razones de inconformidad respecto de la Resolución CREG-025 de 2001;
Que mediante comunicación MMECREG-2029 del 4 de julio de 2001, se informó a GAS NATURAL S.A. E.S.P. que la Comisión de Regulación de Energía y Gas en su sesión del 21 de junio de 2001 decidió que la audiencia solicitada se llevara a cabo con el Comité de Expertos, para lo cual se fijaron la fecha y hora respectivas;
Que de acuerdo con el acta suscrita por las personas que participaron, la “Diligencia de Exposición del Recurso del Peticionario” se realizó el 11 de julio de 2001 a las 10:30 a.m.;
Que la CREG solicitó a la UPME una copia del documento entregado por GAS NATURAL S.A. E.S.P. a esa institución en agosto de 1996, con el propósito de dar cumplimiento a lo establecido en el numeral 3.16 del Código de Distribución (Resolución CREG-067 de 1995), y una vez recibido dicho documento se le informó a GAS NATURAL S.A. E.S.P., mediante comunicación MMECREG-3319 del 16 de octubre de 2001, de su inclusión en el expediente del recurso de reposición contra la Resolución CREG-025 de 2001;
Que en respuesta a lo anterior, GAS NATURAL S.A. E.S.P. allegó a la CREG una comunicación, radicada con el número 10815 del 5 de diciembre de 2001, de la cual se extracta el siguiente comentario:
“Tal como se deriva de dicho documento, éste contiene las proyecciones de demanda de gas natural para los usuarios residenciales, comerciales industriales y, para los sectores de gas natural comprimido vehicular y petroquímico ubicados en los municipios de Bogotá y Soacha, exclusivamente. Así, los volúmenes contenidos en el cuadro denominado “PROGRAMA DE EJECUCIÓN DE OBRAS 1.997 – 2.006. CONSUMO DE GAS NATURAL (miles de m3) resultan inferiores a los reportados por la empresa en el estudio tarifario presentado a la CREG en agosto de 1.996, lo que confirma que las proyecciones elaboras por la empresa y aprobadas por la CREG incluían los consumos de los usuarios no regulados de la Sabana de Bogotá.”
IV. FUNDAMENTOS Y ARGUMENTOS DE LA CREG
Que respecto de los argumentos presentados por GAS NATURAL S.A. E.S.P. para sustentar el recurso la CREG considera:
A. Respecto a la existencia del Área de Servicio Exclusivo
La recurrente informa que el 16 de octubre de 1997 se inició el proceso de selección del contratista para atender el área de servicio exclusivo. Sin embargo, con anterioridad a dicha fecha ya se habían dado pasos para la definición del área:
· Comunicación No. 101973 del 27 de diciembre de 1995, mediante la cual el Ministerio de Minas y Energía solicitó a la Comisión establecer una zona de servicio exclusivo conformada por los 69 municipios indicados en dicha comunicación.
· Expedición de la Resolución CREG 081 de 1995, “Por la cual se verifica la necesidad de utilizar la modalidad contractual de área de servicio exclusivo en el altiplano Cundi-Boyacense”, el 27 de diciembre de 1995, publicada en el Diario Oficial el 3 de enero de 1996.
· Comunicación del 15 de marzo de 1996, donde el Ministerio de Minas y Energía le informa a GAS NATURAL S.A. E.S.P. que va a ejercer la facultad de establecer el área exclusiva en los términos de la Resolución CREG 081 de 1995, y le advierte que la distribución de gas será exclusiva de la empresa seleccionada.
Además, la empresa dentro de su solicitud tarifaria de septiembre de 1996 considera como una amenaza la decisión de política gubernamental “de declarar como Área Exclusiva los municipios vecinos a Santafé de Bogotá junto con otros de Cundinamarca y Boyacá.”
De lo anterior se concluye que, al momento de presentar su solicitud tarifaria, debían ser de conocimiento de la empresa los trámites adelantados para la conformación de un área de servicio exclusivo en el altiplano cundiboyacense que, de acuerdo con la Resolución CREG 081 de 1995, incluía los siguientes municipios: Bojacá, Cajicá, Cogua, Cota, Chía, Facatativá, Funza, Gachancipá, Madrid, Mosquera, Sopó, Tabio, Tenjo, Tocancipá, Zipacón y Zipaquirá, entre otros.
B. Respecto a la vigencia de la Resolución CREG-057 de 1996
De conformidad con los registros que para el efecto lleva la CREG, la solicitud tarifaria fue presentada mediante comunicación radicada en la CREG con el número 3406 del 6 de septiembre de 1996 y la publicación de dicha solicitud se hizo el 7 de septiembre de 1996, en cumplimiento del Artículo 115 de la Resolución CREG 057 de 1996; Artículo citado por GAS NATURAL S.A. en la comunicación donde informa de dicha publicación, radicada en la CREG con el número 3445 del 9 de septiembre de 1996. Esta solicitud incluyó, entre otros, los documentos “Solicitud de Definición de Fórmulas Tarifarias” y “Estudio de Costos y Tarifas. Informe Final” con fecha 4 de septiembre de 1996.
De donde se concluye que la solicitud tarifaria de GAS NATURAL S.A. se presentó cuando estaba en vigencia la Resolución CREG-057 de 1996, aprobada el 30 de julio de 1996 y publicada en el Diario Oficial el 30 de agosto de 1996, lo que se reafirma con la mención de varios de sus Artículos dentro de los documentos entregados con dicha solicitud.
Adicionalmente el Artículo 6o. de la Resolución CREG-079 de 1996 establece:
“ARTÍCULO 6o. NORMAS A LAS QUE ESTA SUJETA LA FORMULA TARIFARIA DE GAS NATURAL E.S.P. En lo no dispuesto expresamente por esta resolución, la fórmula tarifaria de la empresa GAS NATURAL E.S.P. estará sujeta a las normas de la Resolución CREG-057 de 1996, las que la modifiquen o adicionen, las demás resoluciones que regulen la distribución domiciliaria de gas natural por red de ductos, la Ley 142 de 1994 y las demás normas complementarias o sustitutivas.”
Legalmente la empresa tuvo la oportunidad de presentar un recurso de reposición, dentro del plazo establecido en el Artículo 9o. de la Resolución CREG-079 de 1996, si consideraba que la Resolución CREG-057 de 1996, citada en los considerandos y en la parte resolutiva de la Resolución CREG-079 de 1996, no le aplicaba, recurso que no presentó. Por esta razón, la CREG entiende que GAS NATURAL S.A. aceptó que dicha Resolución se expidió siguiendo los procedimientos y teniendo en cuenta la normatividad que le eran aplicables.
C. Respecto a la solicitud de exclusión de activos de transporte
Como al momento de la presentación de la solicitud tarifaria de GAS NATURAL S.A., ya estaba en vigencia la Resolución CREG-057 de 1996 y se tenía información por parte de la empresa de la conformación de un área de servicio exclusivo, a la empresa no le era posible incluir inversiones en transporte a municipios de ésta área y tampoco incluir demandas de usuarios No Regulados correspondientes a dicha área, puesto que el literal b) del Artículo 127 de la Resolución CREG-057 de 1996 establece que:
“b) Los grandes consumidores ubicados dentro de un área de servicio exclusivo podrán conectarse libremente a un sistema o a un subsistema de transporte, pero no podrán conectarse a un sistema de distribución de un distribuidor distinto del contratista del área de servicio exclusivo.”
Apoyados en lo anterior se considera que los activos reportados por GAS NATURAL S.A. en su solicitud tarifaria de 1996 de ninguna manera debían incluir activos destinados a transportar gas a municipios diferentes de Bogotá y Soacha.
La separación o clasificación de algunos activos, dedicados al transporte de gas, sólo la presenta GAS NATURAL S.A., en forma oficial, en su solicitud de recálculo del Dt radicada en la CREG con el número 4075 de julio de 1999. El anexo 4 del recurso, a que se hace referencia en la respuesta al auto de pruebas, no formó parte de la solicitud tarifaria y fue entregado “posteriormente”, como lo manifiesta la empresa en el primer párrafo de la página 6 del recurso:
“Lo anterior se corrobora con la relación de inversiones que Gas Natural S.A. ESP presentó posteriormente a la CREG, cuya copia se anexa, en la que las cifras globales previstas en el cuadro 5.18 del estudio presentado se discriminan por tramos de gasoducto, ... ”
Además, el contenido de dicho anexo no tiene correspondencia con los gasoductos incluidos en los gráficos de las páginas 36 y 37 del “Estudio de Costos y Tarifas”, de fecha 4 de septiembre de 1996, lo que motivó la solicitud de pruebas del 13 de junio de 2001 que tenía el propósito de identificar en detalle los gasoductos, correspondientes a la Red Troncal de Acero existente y proyectada en 1996, mostrados en dichos mapas.
En cuanto a los costos unitarios, dado que en los gráficos mencionados se incluyen tuberías de varios diámetros, el propósito de la Comisión al solicitar dicha información en el Auto de Pruebas, y dado que es indudable suponer que los costos difieran para cada diámetro, era conocer los costos unitarios por diámetro utilizados por la empresa, con el fin de considerarlos en la valoración de los activos a excluir de la base de inversiones de GAS NATURAL S.A. La empresa en la respuesta al Auto hace referencia a la información incluida en el “Estudio de Costos y Tarifas”, donde se encuentra para “Gasoductos” un único costo unitario de $266,094 (cifras de 1995) por metro y es el mismo para todos los diámetros.
La empresa argumenta que de no excluirse los activos solicitados de la base de inversiones de GAS NATURAL S.A., éstos se estarían cobrando doblemente al usuario, porque se están incluyendo dentro del Programa de Nuevas Inversiones de TRANSCOGAS S.A. Lo anterior sería probable si dichos activos hubieran estado incluidos dentro de las inversiones de GAS NATURAL S.A. pero, de acuerdo con la regulación vigente al momento de la solicitud tarifaria, la empresa no los debía incluir y por lo tanto no se consideraron como tales en el momento de la aprobación de la Resolución CREG-079 de 1996.
Se ratifica entonces lo anotado en el Documento CREG-041 de 2001 y en la Resolución CREG-025 de 2001 en el sentido de que únicamente se excluyen de la base de activos, los clasificados por GAS NATURAL S.A. como de transporte y que conducen el gas natural desde Cogua hacia los municipios de Bogotá y Soacha, valorados con el mismo costo unitario presentado en la solicitud tarifaria de 1996. Los activos excluidos se relacionan en el Anexo 1 de la Resolución CREG-025 de 2001.
D. Respecto a la solicitud de modificación de los volúmenes de gas
En igual forma que el punto anterior, dado que la Resolución CREG-057 de 1996 estaba vigente al momento de la presentación de la solicitud tarifaria de GAS NATURAL S.A., el 6 de septiembre de 1996, y a esa fecha se tenía conocimiento por parte de la CREG y de la empresa de la conformación de un Área de Servicio Exclusivo, la empresa no debía incluir demandas de usuarios No Regulados correspondientes a dicha área.
La empresa manifiesta que las demandas presentadas no correspondían solamente a Bogotá y Soacha y que esto se puede corroborar con las demandas realmente atendidas en el periodo 1996-2000. Cabe precisar, que tanto la elaboración de las proyecciones de demanda, como el riesgo de que esta efectivamente se presente, corresponden totalmente a la empresa, por eso no viene al caso, en lo que respecta a la resolución del recurso, la comparación de las cifras proyectadas con las realmente obtenidas.
La empresa también hace referencia a que la decisión tomada por la CREG constituiría un desconocimiento de lo establecido en el Artículo 87 de la Ley 142 de 1994, al no excluir los volúmenes de gas correspondientes a los activos excluidos. Sobre este particular, la posición en el momento de aprobar la Resolución CREG-025 de 2001 que es igual a la actual, es que los activos excluidos de la base de inversión debe corresponder a los necesarios para el transporte de gas natural desde Cogua hacia Bogotá y Soacha, por lo que la proyección de demanda a atender debe mantenerse igual a la tomada en la Resolución CREG-079 de 1996, dado que sigue perteneciendo a los mismos municipios.
La CREG desconocería lineamientos establecidos en la Ley si dado el conocimiento que tenía, el 10 de septiembre de 1996 cuando se aprobó la Resolución CREG-079 de 1996, sobre la conformación de un área de servicio exclusivo y estando vigente la Resolución CREG-057 de 1996, hubiera aprobado unos cargos de distribución donde la empresa incluyera activos de transporte para atender una demanda que de acuerdo con las normas mencionadas no le estaba permitido.
La empresa manifiesta que al momento de presentación de la solicitud no existía la prohibición de atender usuarios no regulados en áreas exclusivas. Esta afirmación contrasta con el hecho de que el 6 de septiembre de 1996, fecha cuando se radicó en la CREG la solicitud tarifaria de GAS NATURAL S.A. ya estaba en vigencia la Resolución CREG-057 de 1996 donde quedaba claramente establecida la prohibición para un distribuidor de atender usuarios no regulados ubicados dentro de un área de servicio exclusivo. Adicionalmente, tal y como se establece en el Artículo 160 de dicha Resolución, se incorporó y se sustituyó la Resolución CREG-014 de 1995 citada. Por lo tanto no es posible que la solicitud y la aprobación no hayan considerado las normas vigentes al momento de su expedición.
Sobre los argumentos de la página 11 del recurso de reposición se hace el siguiente análisis:
i) Aunque a la fecha de la solicitud tarifaria de GAS NATURAL S.A., el área exclusiva no estaba adjudicada, ya se había recibido solicitud el Ministerio de Minas y Energía y aprobado la Resolución CREG-081 de 1995 que entró en vigencia el 3 de enero de 1996. Sobre estos hechos la empresa tenía conocimiento, tal y como lo expresa dentro del recurso.
ii) La fecha de presentación de la solicitud tarifaria es el 6 de septiembre de 1996 y en ese momento ya se había aprobado la Resolución CREG-057 de 1996 (30 de julio de 1996) y estaba en vigencia, dado que su publicación se hizo en el Diario Oficial del 30 de agosto de 1996. Esta Resolución incorporó y sustituyó la Resolución CREG-014 de 1995.
iii) La empresa no es consistente en su argumentación cuando menciona una suspensión del trámite de adjudicación del área exclusiva, pero tres párrafos antes dice que éste no se había iniciado al citar los avisos de invitación del 6 y 8 de noviembre de 1997.
iv) La CREG al aprobar el Dt no consideró la inclusión de inversiones y volúmenes de usuarios no regulados porque dentro de la solicitud tarifaria no había desagregación de inversiones y/o volúmenes, y en el documento soporte (Documento CREG-070 de 1996) tampoco se menciona la atención a dichos usuarios. Lo que se consideró en su momento era que las inversiones y los volúmenes presentados en la solicitud correspondían al mercado de Bogotá y Soacha.
Sobre el documento presentado por GAS NATURAL S.A. a la UPME, en cumplimiento del numeral 3.16 del Código de Distribución establecido con la Resolución CREG-067 de 1995, y sobre el cuál la empresa hizo comentarios que envió a la CREG mediante comunicación radicada con el número 10815 del 5 de diciembre de 2001, se observa lo siguiente:
i) No es claro por qué si la aprobación por parte de la UPME de la metodología utilizada en la proyección de demandas era requisito para la determinación de las tarifas, la empresa entregó cifras diferentes a las presentadas a la CREG para la estimación de los cargos en 1996.
ii) GAS NATURAL S.A. argumenta que las diferencias entre los escenarios corresponderían a los usuarios no regulados del área exclusiva, pero al compararlas con los valores reportados por GAS NATURAL S.A. para grandes consumidores de la sabana de Bogotá (Tabla 2 de la solicitud de recálculo), se encuentran diferencias que varían entre 0.2 y 89.6 millones de metros cúbicos por año; de donde se deriva que no existe la correspondencia aludida.
De lo expuesto anteriormente se concluye que, de acuerdo con la normatividad vigente al momento de presentación de la solicitud tarifaria, la empresa no debía incluir demandas e inversiones de usuarios no regulados de municipios diferentes a Bogotá y Soacha, y dado que dentro de dicha solicitud no existe una desagregación de tales activos y demandas, la Comisión aprobó los cargos basada en la normatividad vigente y en los datos presentados por la empresa para el cálculo tarifario.
Por lo tanto la demanda sigue correspondiendo a los municipios de Bogotá y Soacha, por lo cual no se deben cambiar los valores de demanda utilizados para la cálculo del Dt.
E. Respecto a gastos de administración, operación y mantenimiento
Al comparar los valores anuales de los gastos de Administración, Operación y Mantenimiento (AOM) con la inversión acumulada, incluidos dentro del cálculo del Dt en 1996, se observa que el promedio de los porcentajes que representan los AOM anuales frente a la inversión acumulada es del 10.5%. De acuerdo con la solicitud de separación, el valor promedio para la parte correspondiente a transporte sería del 0.9%, y para la parte de distribución del 12.8%.
Con respecto a la referencia que hace la empresa sobre los AOM aprobados en las resoluciones donde se fijan cargos de transporte de gas, se precisa que dichos gastos son el resultado de la aplicación de la metodología establecida en la Resolución CREG-001 de 2000 y en las que posteriormente la modifican. Para la aprobación de cargos de distribución no hay explícita una metodología para incluir gastos de AOM y por lo general se han aprobado los valores reportados por los distribuidores.
Por lo anterior, se ratifica lo presentado en el Documento CREG-041 de 2001 y acogido en la Resolución CREG-025 de 2001, en el sentido de descontar de los gastos de AOM presentados en la solicitud tarifaria de 1996, un valor anual tal que al compararlo con el valor acumulado de los activos a excluir, resulte una proporción igual a la calculada al dividir los gastos anuales de AOM reportados en la solicitud tarifaria de 1996, entre los activos acumulados de la misma solicitud. Lo anterior se aplica para los años donde hay activos a excluir, es decir de 1996 a 1998; de 1999 en adelante, los gastos a excluir se toman iguales a los de 1998.
F. Otros
GAS NATURAL S.A. afirma en el recurso, que el criterio que tomó la Comisión para aprobar el recálculo del Dt, fue el de evitar que la suma del Dt recalculado y la tarifa de transporte fijada para Transcogas superara el Dt actual.
La cita aludida del Documento CREG-041 de 2001 no fue un criterio para tomar la decisión sino una comparación para mostrar que, como GAS NATURAL S.A. solicita un valor similar al actual Dt, la tarifa a los usuarios finales de Bogotá y Soacha se incrementaría en un valor igual a la tarifa de transporte que se le fije a Transcogas S.A. Lo cual simplemente corresponde a una comparación entre dos situaciones: antes y después de la aprobación de la Resolución.
Que la Comisión, en sesión No. 187 del día 24 de junio de 2002, decidió confirmar el cargo aprobado a GAS NATURAL S.A. E.S.P. en la Resolución CREG-025 de 2001;
Con fundamento en lo anterior,
RESUELVE:
ARTÍCULO 1o. Confirmar los Artículos 1o. y 2o. de la Resolución CREG-025 de 2001.
ARTÍCULO 2o. Vigencia. La presente Resolución quedará en firme cuando se publique en el Diario Oficial y se notifique a la empresa GAS NATURAL S.A. E.S.P., y se aplicará una vez se surtan las anteriores diligencias y quede en firme la Resolución CREG-043 de 2002. Contra lo dispuesto en la presente Resolución no procede recurso alguno por vía gubernativa.
Dada en Bogotá, a los 24 JUN. 2002
NOTIFÍQUESE, PUBLÍQUESE Y CÚMPLASE
LUISA FERNANDA LAFAURIE | RICARDO RAMÍREZ CARRERO |
Ministra de Minas y Energía | Director Ejecutivo (e) |
Presidente |  |
|
Doble click sobre el archivo anexo para bajarlo(Resoluciones CREG) |
Doble click sobre el archivo anexo para bajarlo(Documento CREG) |
|