| Publicación Diario Oficial No.: | 46.881, el día:24/January/2008 |
| Publicada en la WEB CREG el: | 28/December/2007 |
| RESOLUCIÓN No. 091 ( 26 OCT. 2007 )
Por la cual se establecen las metodologías generales para remunerar las actividades de generación, distribución y comercialización de energía eléctrica, y las fórmulas tarifarias generales para establecer el costo unitario de prestación del servicio público de energía eléctrica en Zonas No Interconectadas.
LA COMISIÓN DE REGULACIÓN DE ENERGÍA Y GAS
En ejercicio de las atribuciones legales, en especial las conferidas por las Leyes 142 de 1994 y 143 de 1994, y en desarrollo de los decretos 1524 y 2253 de 1994, 2696 de 2004 y
C O N S I D E R A N D O:
Que según el Artículo 74.1 de la Ley 142 de 1994 la Comisión de Regulación de Energía y Gas es competente para regular el ejercicio de las actividades de los sectores de energía y gas combustible;
Que la Comisión de Regulación de Energía y Gas tiene la función de regular los monopolios en la prestación del servicio público domiciliario de energía eléctrica, cuando la competencia no sea, de hecho, posible; y en los demás casos, la de promover la competencia entre quienes presten servicios públicos, para que las operaciones de los monopolistas o de los competidores sean económicamente eficientes, no impliquen abuso de la posición dominante y produzcan servicios de calidad;
Que de conformidad con lo establecido en el artículo 3 de la Ley 143 de 1994 corresponde al Estado regular las situaciones donde el monopolio natural no permita la prestación eficiente del servicio de energía en condiciones de libre competencia;
Que el Artículo 73.11 de la Ley 142 de 1994 y 20 de la Ley 143 de 1994, atribuyeron a la Comisión de Regulación de Energía y Gas la facultad de establecer las fórmulas para la fijación de las tarifas del servicio público domiciliario de electricidad y definir la metodología para el cálculo de las tarifas aplicables a los usuarios regulados de este servicio;
Que de acuerdo con el Artículo 73.20 de la Ley 142 de 1994, la Comisión de Regulación de Energía y Gas determina cuándo se establece el régimen de libertad regulada o libertad vigilada o señalar cuándo hay lugar a la libre fijación de tarifas;
Que el Artículo 87 de la Ley 142 de 1994, estableció que el régimen tarifario estará orientado por los criterios de eficiencia económica, neutralidad, solidaridad, redistribución, suficiencia financiera, simplicidad y transparencia;
Que el artículo 87.9 de la Ley 142 de 1994, modificado por la Ley 1151 de 2007, establece que: “….. las entidades públicas podrán aportar bienes o derechos a las empresas de servicios públicos domiciliarios. En estos casos, el valor de dichos bienes y/o derechos no podrán incluirse para los efectos del cálculo de las tarifas que hayan de cobrarse a los usuarios. Las Comisiones de Regulación establecerán los mecanismos para garantizar la reposición de estos bienes.
Que según lo dispuesto por el Artículo 88.1 de la Ley 142 de 1994, la Comisión Reguladora podrá establecer topes máximos y mínimos tarifarios, de obligatorio cumplimiento por parte de las empresas;
Que según lo dispone el Artículo 90 de la Ley 142 de 1994, las comisiones de regulación al definir sus tarifas pueden implementar varias alternativas y siempre podrán plantear y hacer públicas diversas opciones tarifarias que tomen en cuenta diseños óptimos de tarifas;
Que de conformidad con lo establecido en el Artículo 90.2 de la Ley 142 de 1994, podrá incluirse dentro de las fórmulas tarifarias un cargo fijo que refleje los costos económicos involucrados en garantizar la disponibilidad permanente del servicio para el usuario, independientemente del nivel de uso;
Que el Artículo 91 de la Ley 142 de 1994 dispuso que para establecer las fórmulas tarifarias se calculará por separado, cuando sea posible, una fórmula para cada una de las diversas etapas del servicio;
Que el Artículo 6 de la Ley 143 de 1994, entre otros aspectos, establece que las actividades relacionadas con el servicio de electricidad se regirán por el principio de adaptabilidad que conduce a la incorporación de los avances de la ciencia y la tecnología que aporten mayor calidad y eficiencia en la prestación del servicio al menor costo económico;
Que de conformidad con el artículo 74 de la Ley 143 de 1994, las empresas prestadoras del servicio público de energía eléctrica localizadas en las Zonas No Interconectadas podrán desarrollar en forma integrada las actividades de generación, distribución y comercialización;
Que según lo previsto en la Ley 142 de 1994, Artículo 18, todas las personas jurídicas están facultadas para hacer inversiones en empresas de servicios públicos;
Que mediante documento CONPES 3453, el Consejo Nacional de Política Económica y Social recomendó a la Comisión adelantar las siguientes acciones: Que en el término de un año diseñe un esquema tarifario apropiado para las ZNI, que contemple: i) los costos reales de la generación de energía eléctrica en las ZNI; ii) los costos de administración, operación, mantenimiento y reposición de redes según las características particulares de las zonas; iii) rentabilidad coherentes con los riesgos inherentes a la gestión de un servicio de energía eléctrica en estas zonas; iv) las características demográficas de las diferentes localidades; y v) el costo de mantener el Centro Nacional de Monitoreo como una unidad independiente para el sector;
Que de conformidad con lo establecido en el artículo 24 de la Ley 143 de 1994 la construcción de plantas generadoras está permitida a todos los agentes económicos;
Que la gran mayoría del parque instalado de generación en las ZNI funciona con combustibles fósiles y que para asegurar la continuidad del servicio los cargos regulados deben reflejar los costos reales de prestación del servicio;
Que conforme a lo establecido en el artículo 71 de la Ley 143 de 1994, le corresponde al Gobierno Nacional ejecutar directamente o a través de terceros, las actividades relacionadas con la generación, transmisión y distribución de energía en Zonas no Interconectadas del país, para lo cual deberá promover inversiones eficientes con los recursos del presupuesto nacional;
Que de conformidad con lo establecido en el Artículo 35 de la Ley 142 de 1994, las Comisiones de Regulación podrán exigir, por vía general, que las empresas adquieran el bien o servicio que distribuyan, a través de licitaciones públicas o cualquier otro procedimiento que estimule la concurrencia de oferentes;
Que el Artículo 40 de la Ley 142 de 1994 permite a las entidades territoriales competentes la creación de Áreas de Servicio Exclusivo, por motivos de interés social y con el propósito de que la cobertura de los servicios públicos de distribución domiciliaria de energía eléctrica, se pueda extender a las personas de menores ingresos, mediante invitación pública;
Que de conformidad con el Parágrafo 1° del Artículo 40 de la Ley 142 de 1994 la comisión de regulación respectiva definirá, por vía general, cómo se verifica la existencia de los motivos que permiten la inclusión de áreas de servicio exclusivo en los contratos, así como los lineamientos generales y las condiciones a las cuales deben someterse ellos; y, antes de que se abra una licitación que incluya estas cláusulas dentro de los contratos propuestos, verificará que ellas sean indispensables para asegurar la viabilidad financiera de la extensión de la cobertura a las personas de menores ingresos;
Que el Artículo 65 de la Ley 1151 de 2007 estableció que “El Ministerio de Minas y Energía diseñará esquemas sostenibles de gestión para la prestación del servicio de energía eléctrica en las Zonas no Interconectadas. Para este propósito, podrá establecer áreas de servicio exclusivo para todas las actividades involucradas en el servicio de energía eléctrica”;
Que de acuerdo con lo establecido en el Artículo 978 del Código de Comercio, cuando la prestación de un servicio público está regulada por el Gobierno, las condiciones de los contratos deberán sujetarse a los respectivos reglamentos;
Que el Artículo 11 de la Ley 143 de 1994, derogado por el Artículo 1° de la Ley 855 de 2003 define las Zonas No Interconectadas como: “Para todos los efectos relacionados con la prestación del servicio público de energía eléctrica se entiende por Zonas No Interconectadas a los municipios, corregimientos, localidades y caseríos no conectadas al Sistema Interconectado Nacional, SIN.”;
Que la Ley 697 de 2001, establece que el Ministerio de Minas y Energía formulará los lineamientos de las políticas, estrategias e instrumentos para el fomento y la promoción de las fuentes no convencionales de energía, con prelación en las zonas no interconectadas;
Que por lo anterior, la Comisión de Regulación de Regulación de Energía y Gas consideró conveniente incluir un incentivo a tecnologías que utilicen fuentes de energía renovables que se desarrollen en las Zonas no Interconectadas del país;
Que según el Artículo 1° de la Ley 855 de 2003 aquellas áreas geográficas que puedan interconectarse al SIN en condiciones ambientales, económicas y financieras viables y sostenibles, se excluirán de las Zonas No Interconectadas, cuando empiecen a recibir el servicio de energía eléctrica del SIN, una vez se surtan los trámites correspondientes y se cumplan los términos establecidos en la regulación vigente establecida por la Comisión de Regulación de Energía y Gas;
Que mediante el Decreto 3537 de 2003, el Gobierno Nacional reglamentó los Artículos 63 y 64 de la Ley 812 de 2003, en relación con el programa de normalización de redes eléctricas y los esquemas diferenciales de prestación del servicio público domiciliario de energía eléctrica;
Que de conformidad con lo establecido en el Artículo 3 de la Ley 1117 de 2006, la aplicación de subsidios al costo de prestación del servicio público domiciliario de energía eléctrica de los usuarios de los estratos socioeconómicos 1 y 2 a partir del mes de enero de 2007 hasta diciembre del año 2010, deberá hacerse de tal forma que el incremento tarifario a estos usuarios en relación con sus consumos básicos o de subsistencia corresponda en cada mes como máximo a la variación del Índice de Precios al Consumidor;
Que el Artículo 2 de la Ley 1117 de 2006 adicionó un numeral al Artículo 99 de la Ley 142 de 1994, así: “99.10.- Los subsidios del sector eléctrico para las zonas no interconectadas se otorgarán a los usuarios en las condiciones y porcentajes que defina el Ministerio de Minas y Energía, considerando la capacidad de pago de los usuarios en estas zonas”;
Que para dar cumplimiento a lo anterior, la Comisión de Regulación de Energía y Gas expidió la Resolución CREG-001 de 2007 adicionada y aclarada por la Resolución CREG-006 de 2007, las cuales tienen aplicación en las Zonas No Interconectadas;
Que el Artículo 65 de la Ley 1151 de 2007, estableció “Adicionalmente, en las Zonas no Interconectadas la contribución especial en el sector eléctrico de que trata el Artículo 47 de la Ley 143 de 1994, no se aplicará a usuarios no residenciales y a usuarios no regulados”;
Que mediante la Ley 1118 de 2006, el Gobierno Nacional autorizó la emisión y enajenación de acciones de ECOPETROL S.A. y estableció que en adelante la entidad no estará obligada a asumir cargas fiscales diferentes a las derivadas del desarrollo de su objeto social;
Que lo anterior implica que el costo de combustibles fósiles utilizado en las Zonas No Interconectada no incluirá subsidios en su precio de venta al público;
Que el Instituto de Planificación y Promoción de Soluciones Energéticas mediante comunicación con radicado CREG E-2007-003208 envió a la Comisión costos estimados de inversión y gastos de Administración, Operación y Mantenimiento (AOM) correspondientes al Centro Nacional de Monitoreo;
Que la Comisión de Regulación de Energía y Gas, mediante comunicación CREG S-2007-001480 solicitó aclaraciones y ajustes a la propuesta formulada por el IPSE para establecer la remuneración del Centro Nacional de Monitoreo;
Que la actividad de monitoreo de la calidad y continuidad del servicio se considera esencial para la verificación de las condiciones de prestación del servicio;
Que la Comisión de Regulación de Energía y Gas expidió la Resolución CREG-077 de 1997 por medio de la cual se aprobó la Fórmula General que permite determinar el costo de prestación del servicio y la fórmula tarifaria para establecer las tarifas aplicables a los usuarios del servicio de electricidad en las Zonas No Interconectadas del territorio nacional;
Que con base en la Fórmula general se aprobó la Resolución CREG-082 de 1997 mediante la cual se fijaron los costos máximos de prestación del servicio en cada uno de los departamentos que conforman las Zonas No Interconectadas del territorio nacional;
Que de conformidad con lo establecido en el Artículo 126 de la Ley 142 de 1994, vencido el período de vigencia de las fórmulas tarifarias, éstas continuarán rigiendo mientras la Comisión no fije las nuevas;
Que por lo anterior, mediante Resolución CREG-093 de 2003, la Comisión de Regulación de Energía y Gas sometió a consideración de los agentes, usuarios y terceros interesados, los principios generales conceptuales sobre los cuales se efectuará el estudio para establecer la fórmula tarifaria y la remuneración de las actividades de generación, distribución y comercialización del servicio de energía eléctrica en las Zonas No Interconectadas, en cumplimiento del Artículo 127 de la Ley 142 de 1994;
Que a partir de las observaciones y sugerencias recibidas y de los análisis internos efectuados, la Comisión de Regulación de Energía y Gas elaboró la propuesta regulatoria que contiene la metodología para el cálculo de la fórmula tarifaria para establecer el costo de la prestación del servicio de electricidad en las Zonas No Interconectadas;
Que el día 13 de junio de 2005 se publicó en la página Web de la Comisión el proyecto de resolución “Por la cual se establecen los criterios generales para remunerar las actividades de generación, distribución y comercialización de energía eléctrica, y las fórmulas de costo unitario de prestación del servicio público de energía eléctrica en Zonas No Interconectadas;
Que la CREG llevó a cabo consultas públicas en distintos municipios, a las cuales fueron invitados los vocales de control social, la Superintendencia de Servicios Públicos, los prestadores del servicio público de energía eléctrica en zonas no interconectadas, las autoridades departamentales y municipales, la academia, y los usuarios en general;
Que el Comité de Expertos analizó las memorias escritas de las consultas públicas, los comentarios y las informaciones allegadas en las audiencias públicas, las cuales están contenidas en el Documento CREG 075 de 2007;
Que en Sesión No. 346 del 26 de octubre de 2007, la Comisión de Regulación de Energía y Gas aprobó las metodologías generales para remunerar las actividades de generación, distribución y comercialización de energía eléctrica, y la fórmula tarifaria general para determinar el costo de prestación del servicio público domiciliario de energía eléctrica en Zonas No Interconectadas;
R E S U E L V E:
Artículo 1. Objeto. La presente Resolución tiene como objeto establecer las metodologías generales para remunerar las actividades de generación, distribución y comercialización de energía eléctrica, y la fórmula tarifaria general para determinar el costo unitario de prestación del servicio público domiciliario de energía eléctrica en Zonas No Interconectadas del territorio nacional.
CAPÍTULO I
DEFINICIONES Y AMBITO DE APLICACION
Artículo 2. Definiciones. Para la interpretación y aplicación de esta Resolución se tendrán en cuenta, además de las definiciones contenidas en las Leyes 142 y 143 de 1994 y en las resoluciones vigentes de la CREG, las siguientes:
Acceso al Sistema de Distribución: Es la utilización de los Sistemas de Distribución de energía eléctrica, por parte de Agentes y usuarios, a cambio del pago de cargos por uso de la red y de los cargos de conexión correspondientes.
ACPM (Diesel Corriente): Aceite Combustible para Motores, corresponde al Fuel Oil No. 2D y se referencia por las normas ASTM D 975 y NTC 1438.
Actividad de Monitoreo: Actividad consistente en la recolección, administración y procesamiento centralizado de la información de calidad y continuidad del servicio de generación de energía eléctrica en las Zonas No Interconectadas, a través de equipos y sistemas de información.
Área de Servicio Exclusivo: Es el área geográfica correspondiente a los municipios, cabeceras municipales y centros poblados sobre las cuales la autoridad competente otorga exclusividad en la prestación del servicio mediante contratos.
Cargo Máximo de Distribución: Es el cargo máximo unitario de distribución en pesos por kWh ($/kWh), aprobado por la Comisión, aplicable a los Sistemas de Distribución de Energía Eléctrica en las Zonas No Interconectadas.
Biocombustible: Es un combustible obtenido a partir de biomasa, que para efectos de la presente Resolución: i) funciona en motores de combustión interna, sin que sea necesaria ninguna modificación en los mismos, o ii) a través de combustión externa provee energía a un proceso de producción de energía eléctrica.
Comercialización Minorista en las ZNI: Actividad que consiste en la intermediación comercial entre los agentes que prestan los servicios de generación, transmisión y distribución de energía eléctrica y los usuarios finales de dichos servicios, bien sea que esa actividad se desarrolle o no en forma combinada con otras actividades del sector eléctrico, según lo dispuesto por la regulación y la ley.
Comercializador minorista en ZNI: Persona natural o jurídica que desarrolla la actividad de Comercialización Minorista en las ZNI.
Conexiones de Acceso al Sistema de Distribución (Conexión): Activos de uso exclusivo, que no hacen parte del Sistema de Distribución, que permiten conectar un Comercializador, un Generador, o un usuario a un Sistema de Distribución. La conexión de un usuario se compone básicamente de los equipos que conforman el centro de medición y la acometida, activos que son propiedad de quien los hubiere pagado, si no fueren inmuebles por adhesión.
Costo Unitario de Prestación del Servicio de Energía Eléctrica (CU): Es el costo económico eficiente de prestación del servicio al usuario final regulado, expresado en pesos por kilovatio hora ($/kWh) que resulta de aplicar la fórmula tarifaria general establecida en la presente resolución, y que corresponde a la suma de los costos eficientes de cada una de las actividades de la cadena eléctrica.
Distribución de Energía Eléctrica con Red Física en ZNI: Es el transporte de energía eléctrica a través de redes físicas, desde la barra de entrega de energía del Generador al Sistema de Distribución, hasta la conexión de un usuario, de conformidad con la definición del numeral 14.25 de la Ley 142 de 1994.
Distribución de Energía Eléctrica sin Red Física en ZNI: Es el suministro del servicio de disponibilidad de energía eléctrica o de potencia, a través de redes humanas de servicio, para ser generada o estar disponible en el domicilio del usuario.
Distribuidor de Energía Eléctrica: Persona encargada de la administración, la planeación, la expansión, la operación y el mantenimiento de todo o parte de la capacidad de un Sistema de Distribución. Los activos utilizados pueden ser de su propiedad o de terceros.
Empresas de Servicios Públicos: Las definidas en el Título I, Capítulo I, de la Ley 142 de 1994.
Fecha Base: Es la fecha a la cual se refieren los cargos de Generación, Distribución y Comercialización aprobados por la CREG para las ZNI. Para la presente Resolución corresponderán al mes de diciembre de 2006.
Fórmula Tarifaria Específica: Conjunto de criterios y de métodos de carácter particular, sujetos a la Fórmula Tarifaria General, resumidos por medio de una fórmula, en virtud de los cuales cada Comercializador puede modificar periódicamente las tarifas que cobra a sus Usuarios Regulados. Cuando se haga referencia a fórmula tarifaria de una empresa debe entenderse la Fórmula Tarifaria Específica.
Fórmula Tarifaria General: Conjunto de criterios y de métodos de tipo general en virtud de los cuales se determina, a los Comercializadores de energía eléctrica que atienden a Usuarios Regulados, el costo promedio por unidad.
Fuel Oil No. 2D: Es el ACPM definido en la presente resolución.
Fuel Oil No. 6: También conocido como combustóleo No. 6, es un combustible elaborado a partir de productos residuales que se obtienen de los procesos de refinación del petróleo. Tiene un poder calorífico mínimo de 41500 Kj/Kg medido de acuerdo con la norma ASTM D 4868.
Mercado Relevante de Comercialización: Conjunto de usuarios conectados a un mismo Sistema de Distribución Local o atendido sin red física por un Distribuidor.
Niveles de Tensión: Clasificación de los Sistemas de Distribución de las ZNI por niveles, en función de la tensión nominal de operación, según la siguiente definición:
- Nivel 3: Sistemas con tensión nominal mayor o igual a 30 kV.
- Nivel 2: Sistemas con tensión nominal mayor o igual a 1 kV y menor de 30 kV.
- Nivel 1: Sistemas con tensión nominal menor a 1 kV.
Obligación de Prestación del Servicio: Vínculo resultante del Proceso Competitivo que impone a un Agente el deber de prestar el servicio de una o varias actividades de energía eléctrica en un Área de Servicio Exclusivo durante el Período de Vigencia.
Parque de Generación: Conjunto de unidades de generación con el que se atiende un Mercado Relevante de Comercialización.
Pérdidas de energía en Distribución: Es la energía perdida en un Sistema de Distribución y reconocida por la Comisión de Regulación de Energía y Gas.
Periodo de Planeación: Período de tiempo que transcurre entre la fecha de ejecución del Proceso Competitivo y la fecha de inicio del Período de Vigencia de la Obligación de Prestación del Servicio asignada en dicho proceso.
Periodo de Preparación: Período de tiempo que transcurre entre la fecha de anuncio de la ejecución del Proceso Competitivo y el día de realización del mismo.
Periodo de Vigencia: Período de tiempo durante el cual se genera la Obligación de Prestación del Servicio.
Periodo Tarifario: Período por el cual la Fórmula Tarifaria General con sus respectivos componentes tienen vigencia, de acuerdo con lo establecido en el Artículo 126 de la Ley 142 de 1994, o con lo establecido en los contratos de concesión correspondientes.
Proceso Competitivo: Invitación pública abierta para concursar por la asignación de Obligaciones de Prestación del Servicio en un Área de Servicio Exclusivo con reglas definidas por la autoridad competente para la determinación del precio y para asignar la obligación correspondiente.
SIN: Sistema Interconectado Nacional.
Sistema de Distribución: Es el conjunto de redes físicas de uso público que transportan energía eléctrica desde la barra de un Generador hasta el punto de derivación de las acometidas de los inmuebles, sin incluir su conexión y medición. No se incluyen los transformadores elevadores ni servicios auxiliares del Generador.
Zonas No Interconectadas: Para todos los efectos relacionados con la prestación del servicio público de energía eléctrica se entiende por Zonas No Interconectadas a los municipios, corregimientos, localidades y caseríos no conectadas al Sistema Interconectado Nacional, SIN.
Artículo 3. Ámbito de Aplicación. Esta Resolución se aplica a todas las personas que, estando organizadas en alguna de las formas dispuestas por el Título I de la Ley 142 de 1994, desarrollan las actividades de generación, distribución y/o comercialización de energía eléctrica en Zonas No Interconectadas, exceptuando el Archipiélago de San Andrés y Providencia.
Artículo 4. Remuneración de la prestación del servicio. La remuneración de la prestación del servicio en las ZNI se efectuará por una de las siguientes metodologías: i) cargos determinados por competencia a la entrada mediante los procesos competitivos de que tratan los Capítulos II y III de la presente Resolución; o ii) cargos regulados determinados por costos medios, según se indica en los Capítulos IV, V y VI de la presente Resolución .
CAPÍTULO II
AREAS DE SERVICIO EXCLUSIVO
Artículo 5. Reglas para la conformación de Áreas de Servicio Exclusivo. Para verificar el cumplimiento de los motivos que permiten la inclusión de cláusulas de exclusividad en los contratos de prestación del servicio de energía eléctrica, previstas en el Artículo 40 de la Ley 142 de 1994, la Comisión tendrá en cuenta los siguientes criterios:
- La conformación del área geográfica para la prestación del servicio debe asegurar la extensión de la cobertura y el mejoramiento de la calidad en la prestación del mismo.
- La conformación del área geográfica debe buscar los menores costos mediante el aprovechamiento de economías de escala, economías de alcance, economías derivadas de la localización geográfica y la dotación de recursos naturales.
Artículo 6. Intervención de la Comisión previa a la apertura de la invitación. Antes de que la autoridad competente proceda a la apertura de la invitación pública para otorgar un Área de Servicio Exclusivo, la Comisión señalará por medio de una resolución, que las áreas conformadas cumplen con las condiciones a que se refiere el artículo anterior. Adicionalmente, verificará, de conformidad con el parágrafo 1o del artículo 40 de la Ley 142 de 1994, que las cláusulas de exclusividad sean indispensables para asegurar la viabilidad financiera de la extensión de la cobertura a las personas de menores ingresos. La Comisión tendrá un plazo de treinta (30) días desde la fecha de solicitud por parte de la autoridad competente, para expedir la correspondiente resolución.
Artículo 7. Alcance de la exclusividad. En los contratos a que se refiere este capítulo se tendrá en cuenta que únicamente el prestador del servicio adjudicatario del contrato de concesión especial podrá desarrollar una o todas las actividades inherentes a la prestación del servicio público de energía eléctrica dentro del área geográfica objeto de exclusividad.
Artículo 8. Normas aplicables. Los concesionarios de áreas de servicio exclusivo serán Empresas de Servicios Públicos y estarán sometidos a la Ley 142 de 1994, a las disposiciones que la modifiquen y a las cláusulas contractuales. En lo no previsto por ellas, estarán sujetos a las resoluciones expedidas por la Comisión.
Artículo 9. Criterios básicos para la expansión en las áreas de servicio exclusivo. La expansión de la infraestructura de generación y de sistemas de distribución en el Área de Servicio Exclusivo será responsabilidad de las empresas concesionarias de acuerdo con los compromisos asumidos por el Ministerio de Minas y Energía. El concesionario deberá presentar ante el Ministerio de Minas y Energía planes quinquenales con la inversión prevista y dará cuenta de dichos planes a la Superintendencia de Servicios Públicos Domiciliarios, para lo de su competencia.
Artículo 10. Régimen de subsidios. Los subsidios en las Áreas de Servicio Exclusivo, se someterán a lo establecido por las normas vigentes.
Artículo 11. Fórmulas Tarifarias Generales para prestadores en Áreas de Servicio Exclusivo. Las fórmulas tarifarias definidas en la presente Resolución o aquellas que la complementen, modifiquen o sustituyan se aplicarán a los concesionarios de las Áreas de Servicio Exclusivo.
CAPÍTULO III REMUNERACIÓN DE LA PRESTACIÓN DEL SERVICIO EN ÁREAS DE SERVICIO EXCLUSIVO POR COMPETENCIA A LA ENTRADA.
Artículo 12. Proceso Competitivo para la asignación de Obligaciones de Prestación del Servicio en ZNI. La Obligación de Prestación del Servicio en Áreas de Servicio Exclusivo se asignará entre los participantes en las invitaciones públicas que formule la autoridad competente, mediante Procesos Competitivos con los requisitos generales que se establecen en la presente resolución y demás normas concordantes.
Artículo 13. Producto a ofrecer en el Proceso Competitivo. La autoridad competente definirá de manera precisa al inicio del Período de Preparación el Área de Servicio Exclusivo, el Período de Vigencia, el área geográfica objeto de exclusividad, los compromisos de cobertura, las condiciones de calidad, las horas diarias de prestación del servicio y demás condiciones relevantes para la prestación del servicio.
Artículo 14. Periodo de Preparación. El Período de Preparación para la asignación de las obligaciones de que trata la presente resolución no podrá ser inferior a un (1) mes, durante el cual la autoridad competente deberá divulgar las condiciones del Proceso Competitivo y una minuta del contrato correspondiente.
Artículo 15. Proceso Competitivo para la asignación de Obligaciones de Prestación del Servicio. La asignación de Obligaciones de Prestación del Servicio para cada actividad, se llevará a cabo mediante un Proceso Público Competitivo con adjudicatario único en cada área, cuyas reglas serán de conocimiento público con anterioridad a la fecha de inicio del Proceso Competitivo y que garanticen, entre otros, los principios de publicidad, simplicidad, objetividad, concurrencia y transparencia.
Artículo 16. Precio de Reserva. La Comisión de Regulación de Energía y Gas podrá definir un Precio de Reserva por encima del cual no se admitirá trasladar los costos del servicio resultantes de un Proceso Competitivo a los usuarios del servicio.
Artículo 17. Período de Planeación. El Período de Planeación para el cumplimiento de las obligaciones de que trata la presente resolución no podrá ser inferior a tres meses, durante el cual el prestador del servicio a quien se le asigne la Obligación de Prestación del Servicio deberá realizar las obras correspondientes.
Artículo 18. Régimen Tarifario. Para incorporar los precios resultantes del Proceso Competitivo para la asignación de Obligaciones de Prestación del Servicio en las fórmulas tarifarias, en cada uno de sus componentes o en el CU como un total, el diseño del producto y del Proceso Competitivo deberán cumplir con lo dispuesto en la presente Resolución.
Artículo 19. Verificación del cumplimiento de Obligaciones de Prestación del Servicio. Sin perjuicio de las funciones de la Superintendencia de Servicios Públicos Domiciliarios, durante el Período de Vigencia de las Obligaciones de Prestación del Servicio, la entidad contratante establecerá un mecanismo para verificar el cumplimiento de los compromisos de extensión de cobertura y de calidad del servicio. Para esto último podrá apoyarse en la información resultante de la Actividad de Monitoreo.
CAPÍTULO IV CARGOS REGULADOS PARA LA REMUNERACIÓN DE LA ACTIVIDAD DE GENERACION
Artículo 20. Determinación de Cargos Máximos de Generación por Costos Medios. Los Cargos Máximos de Generación, se calcularán a partir de la Inversión de cada tecnología, el Costo de Capital Invertido, los gastos de Administración, Operación y Mantenimiento, y las horas de prestación del servicio.
Parágrafo. Los cargos máximos establecidos por la CREG con base en cálculos de costos medios, para un grupo de localidades, se aplicarán hasta la vigencia de la presente Resolución o hasta el momento en que entren en vigencia los cargos máximos determinados por el concesionario asignado por la autoridad competente en un Área de Servicio Exclusivo.
Artículo 21. Cálculo del Cargo Máximo de Generación. El prestador del servicio determinará para cada tecnología de generación, los cargos máximos por energía generada o por capacidad disponible, como la suma de los costos de inversión y los costos de Administración, Operación y Mantenimiento.
Artículo 22. Remuneración de la componente de inversión y mantenimiento de tecnologías de Generación. La componente de inversión de los Cargos Regulados de Generación, expresada en ($/kWh), incluye los costos de adquisición, transporte, instalación, diseños, permisos ambientales, almacenamiento de combustible, transformadores elevadores, equipos de telemedida y los necesarios para la puesta en operación de una central de generación, y dependerá del tamaño, tecnología, horas de prestación del servicio y el tipo de combustible de cada unidad de generación, como se muestra a continuación:
a) Costos de inversión y mantenimiento de generadores Diesel operando con ACPM.
La componente que remunera los costos de inversión y mantenimiento para unidades de generación Diesel es la siguiente:
TABLA 1. Componente de remuneración de Inversiones y Mantenimiento de unidades Diesel de 1800 rpm ($ de diciembre de 2006)
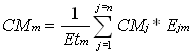
Para un Parque de Generación con dos o más unidades diesel, el procedimiento para la determinación de la remuneración de la inversión y de los costos de mantenimiento será el siguiente:
Donde:
n Número de plantas del parque de generación.
Costo de inversión promedio del conjunto de plantas del Parque de Generación en el mes m.
Costo de inversión aprobado por la CREG para la planta j.
Costo de mantenimiento promedio del conjunto de plantas del Parque de Generación en el mes m.
Costo de mantenimiento aprobado por la CREG para la planta j.
Energía generada en el mes m por la planta j.
Energía total generada en el mes m por el parque de generación.
Parágrafo 1. En aquellos casos en los cuales las capacidades de las plantas no correspondan a las definidas en la presente Resolución, los costos de inversión y mantenimiento serán interpolados linealmente dentro del rango respectivo.
Parágrafo 2. Para proyectos específicos con plantas de media o baja revolución, el prestador del servicio podrá solicitar a la Comisión, con los soportes correspondientes, la definición de los costos de inversión y mantenimiento para estos casos particulares.
Parágrafo 3. El prestador del servicio podrá solicitar a la Comisión, con los soportes correspondientes, la definición de los costos de inversión y gastos de AOM en aquellos casos en los cuales se utilicen combustibles diferentes al ACPM.
b) Costo de inversión de Centrales Hidroeléctricas a Pequeña Escala
La componente que remunera los costos de inversión de Centrales Hidroeléctricas a Pequeña Escala es la siguiente:
TABLA 2. Componente de remuneración de inversiones en PCHs
($ de diciembre de 2006).
Tipo de solución | RANGO kW |  |
 | Mínimo | Máximo | $/kWh |
| Micro Turbinas | 1 | 100 | 270,24 |
| Mini Centrales | 100 | 1000 | 198,18 |
| Pequeñas Centrales | 1000 | 10000 | 108,09 |
Parágrafo 4. El prestador del servicio podrá solicitar a la Comisión, con la justificación correspondiente, la definición de los costos unitarios en aquellos casos en los cuales los establecidos en el presente literal no correspondan a los proyectos específicos que adelanta el prestador del servicio.
c) Costo de inversión para soluciones individuales. Cuando sean empleadas las soluciones individuales los cargos máximos de generación estarán definidos de la siguiente forma:
TABLA 3. Componente de remuneración de inversiones
en Sistemas Solares Fotovoltaicos
($ de diciembre de 2006).
Solución Energética implementada | RANGO kW | $/Wp-mes |
Mínimo | Máximo |
| Individual DC | 0,05 | 0,1 | 386,67 |
| Individual AC | 0,075 | 0,5 | 371,20 |
| Centralizado Aislado | 0,3 | 10 | 260,88 |
d) Costo de inversión de sistemas híbridos y otras tecnologías de generación
Los costos unitarios de inversión para sistemas híbridos y otras tecnologías de generación no definidos en la presente resolución, podrán proponerse a la Comisión quién definirá en Resolución particular los costos correspondientes.
Artículo 23. Remuneración del Parque de Generación de propiedad múltiple. Si en un Parque de Generación existen dos o más propietarios, o cuando un Generador utiliza activos de terceros para uso general, el procedimiento que se aplicará para la asignación de la remuneración de la inversión y para la administración, operación y mantenimiento del respectivo propietario tendrá en cuenta las siguientes reglas generales:
Donde:
n Número de plantas del Parque de Generación.
k Número de plantas del propietario j
Proporción del ingreso del Parque de Generación del propietario j en el mes m.
Componente de inversión aprobado por la CREG para la planta i en el mes m.
Energía generada por la planta i en el mes m.
La Administración, Operación y Mantenimiento de dichos activos será realizada por el Generador y a éste le corresponderá el Cargo de AOM establecido por la CREG.
Parágrafo 1. Cuando sea necesario realizar la reposición de equipos de terceros que sean de uso general, la obligación de reposición corresponde en primer lugar al propietario del activo. Si éste no hace la reposición oportunamente, el Generador que está utilizando dicho activo podrá realizarla. En este caso, el Generador ajustará la remuneración al tercero de conformidad con el esquema regulatorio que esté vigente y con la reposición efectuada.
Parágrafo 2. La enajenación de las obras de infraestructura construidas por un suscriptor o usuario dentro de un Parque de Generación se realizará de común acuerdo entre las partes y en ningún caso podrá ser a título gratuito.
Artículo 24. Remuneración de Gastos de Administración, Operación y Mantenimiento (AOM) para diferentes tecnologías de generación. Los gastos de administración, operación y mantenimiento (AOM) para cada tecnología de generación se determinarán como se indica a continuación:
24.1 Gastos de Administración y Operación de generadores Diesel operando con ACPM.
1.1.1 Gastos de Operación
i) Costo de Combustible (CC):
El costo unitario por consumo de combustible está dado por:
Donde:
CCm = Costo medio de combustible de todo el parque de generación del Mercado Relevante de Comercialización para el mes m ($/kwh).
CECi = Consumo Específico de Combustible del prestador del servicio para el generador i, según los siguientes valores:
0.0974 gal/kWh (capacidad <= 100 kW)
0.0880 gal/kWh (capacidad entre 100 y <=200 kW)
0.0825 gal/kWh (capacidad entre 200 y <=1000 kW)
0.0801 gal/kWh (capacidad entre 1000 y <=2000 kW)
0.0722 gal/kWh (capacidad > 2000 kW)
Eim = Energía entregada al Sistema de Distribución por el generador i del Parque de Generación en el mes m. Esta energía será verificada con la información de la Actividad de Monitoreo (kWh-mes).
Etm = Energía total entregada al Sistema de Distribución por las plantas del Parque de Generación en el mes m. (kWh-mes).
PCim = Precio del Galón de combustible en el sitio para el generador i en el mes m ($/gal), dado por la siguiente expresión:
Donde:
PAmi Precio promedio del combustible para la planta de abasto más cercana al generador i en el mes m ($/gal).
Tmi Costo del transporte de combustible establecido en el parágrafo 2 del presente artículo, desde la planta de abasto más cercana hasta el generador i en el mes m ($/gal).
Calmm Costo de almacenamiento de combustible en el mes m ($/gal) establecido en el parágrafo 3 del presente artículo.
Parágrafo 1. Precio del combustible en planta de abasto, PAmi. Para determinar el precio del combustible en planta de abasto PAmi se tomarán los valores aprobados por Resolución del Ministerio de Minas y Energía en la Planta de Abasto más cercana a cada generador del Parque de Generación. A partir del tercer año de vigencia de la presente Resolución, para aquellas localidades con plantas de capacidad de potencia de más de 2000 kW, el costo de combustible reconocido será el correspondiente a Fuel Oil No. 6.
Parágrafo 2. Costo de transporte, Tmi : El costo máximo de transporte de combustible se determinará de la siguiente manera:
- Para transporte terrestre con una matriz de costos de orígenes y destinos que será desplegada en la página web de la Comisión y que forma parte integral de la presente Resolución. La matriz de costos de orígenes y destinos será actualizada con el Índice de Precios al Productor Total Nacional publicado por la autoridad competente, hasta que sea establecido un índice de incremento de costos de transporte terrestre.
- Para transporte aéreo, marítimo y fluvial se reconocerán los costos por regiones del Anexo de la presente Resolución, a precios de la Fecha Base.
- El prestador del servicio podrá solicitar a la Comisión, con la justificación correspondiente, la revisión de los costos máximos establecidos, en aquellos casos en los cuales los costos máximos regulados de transporte de combustibles que se indican en la presente resolución sean inferiores a los costos reales eficientes del mismo.
- La Comisión podrá revisar los costos aquí establecidos cuando se encuentre justificable.
Parágrafo 3. Costo de almacenamiento, Calmm: El costo de almacenamiento reconocido por galón, equivalente a Calm0 = $82,14/Galón ($ de diciembre de 2006). Este valor será actualizado por medio de la siguiente fórmula:
Donde:
Calm0 = Cargo Máximo de Almacenamiento definido por la CREG y expresado en precios de la Fecha Base.
= Índice de Precios al Productor Total Nacional reportado por la autoridad competente para el mes (m-1).
= Índice de Precios al Productor Total Nacional reportado por la autoridad competente para la Fecha Base del cargo de Almacenamiento Calm0.
ii) Costo de Lubricante (CL):
El costo unitario por consumo de lubricante está dado por:
Donde:
CLm = Costo medio de combustible de todo el Parque de Generación del Mercado Relevante para el mes m ($/kwh).
CELi = Consumo Específico de Lubricante, según se indica a continuación:
= 0,00050 gal/kWh para plantas de capacidad <= 2000 kW
= 0,00025 gal/kWh para plantas de capacidad > 2000 kW
PLim = Precio del Galón de lubricante en el sitio para el generador i en el mes m ($/gal). El costo del transporte por galón corresponderá al de transporte de combustible y el precio del lubricante se determinará con base en los precios promedio del mercado.
Parágrafo 4. Gastos Administrativos (CA): Los gastos administrativos para el mes m corresponderán al 10% de la suma de los costos por consumo de combustible y lubricante, más el costo de las pérdidas de transformación de la conexión del generador al sistema de distribución.
CAm ($/kWh) = 0,1 x (CCm + CLm)
Las pérdidas de energía reconocidas en transformación serán las siguientes (de conformidad con la Norma ICONTEC NTC 819):

Parágrafo 5. En caso de utilizarse Biocombustibles para generación eléctrica, hasta que la Comisión no defina los costos máximos regulados, éstos serán como máximo los establecidos para generación eléctrica con base en ACPM.
24.2 Gastos de Administración y Operación de generadores Diesel operando con Fuel Oil No. 6.
Gastos de Operación
i) Costo de Combustible (CC):
El costo unitario por consumo de combustible está dado por:
Donde:
CCm = Costo medio de combustible del Parque de Generación para el mes m ($/kwh)
CECi = Consumo Específico de Combustible = 0.0722 gal/kWh
Eim = Energía entregada al Sistema de Distribución por el generador i en el mes m. Esta energía será verificada con la información de la Actividad de Monitoreo (kWh-mes).
Etm = Energía total entregada al Sistema de Distribución por las n plantas del parque generador en el mes m. (kWh-mes).
PCim = Precio del Galón de Combustible en el sitio para el generador i en el mes m ($/gal). Está dado por la fórmula:
Donde:
PAmi Precio del combustible en la planta de abasto más cercana al generador i en el mes m ($/gal).
Tmi Costo del transporte de combustible desde la planta de abasto más cercana hasta el generador i en el mes m ($/gal).
Calmm Costo de almacenamiento de combustible en el mes m ($/gal).
Parágrafo 6. El Precio del combustible en planta de abasto, PAmi; el Costo de Transporte, Tmi; y el Costo de Almacenamiento, Calmm; se determinarán conforme se establece en los Parágrafos 1, 2 y 3 del presente Artículo.
Parágrafo 7. En caso de utilizarse Biocombustibles para generación eléctrica, hasta que la Comisión no defina los costos máximos regulados, éstos serán como máximo los establecidos para generación eléctrica con base en ACPM.
ii) Costo de Lubricante (CL):
El costo unitario por consumo de lubricante está dado por:
Donde:
CLm = Costo medio de combustible de todo el parque de generación del mercado relevante para el mes m ($/kwh).
CELi = Consumo Específico de Lubricante = 0,00025 gal/kWh
PLim = Precio del Galón de lubricante en el sitio para el generador i en el mes m ($/gal). El costo del transporte por galón corresponderá al de transporte de combustible y el precio del lubricante se determinará con base en los precios promedio del mercado.
Parágrafo 8. Gastos Administrativos (CA): Los gastos administrativos corresponderán al 10% de la suma de los costos por consumo de combustible y lubricante, más el costo de la energía consumida en la central de generación y el costo de las pérdidas de transformación de la conexión del generador al sistema de distribución.
CAm ($/kWh) = 0,1 x (CCm + CLm)
La energía consumida en la central de generación más las pérdidas de transformación reconocidas serán máximo del cinco por ciento (5%) de la energía bruta generada.
24.3 Gastos de Administración, Operación y Mantenimiento de Centrales Hidroeléctricas a Pequeña Escala
El cargo máximo para la remuneración de los gastos de Administración, Operación y Mantenimiento de Centrales Hidroeléctricas a Pequeña Escala será de 44,78 $/kWh ($ de diciembre de 2006).
24.4 Gastos de Administración, Operación y Mantenimiento de Sistemas Solares Fotovoltaicos.
El cargo máximo para la remuneración de los gastos de Administración, Operación y Mantenimiento será de 188,06 Wp-mes ($ de diciembre de 2006).
24.5 Gastos de Administración, Operación y Mantenimiento para otras tecnologías de conversión.
Los costos unitarios de Administración, Operación y Mantenimiento para tecnologías de generación no definidos en la presente resolución, podrán solicitarse a la Comisión, quien los definirá en Resolución particular.
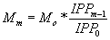
Artículo 25. Fórmula de Actualización de Cargos Máximos de Generación. Los Cargos Máximos de Generación expresados en pesos de la Fecha Base, se actualizarán con las siguientes fórmulas generales:
a) Fórmula de Actualización de Cargos Máximos para Generación Diesel
La fórmula general para el Cargo de Generación con tecnología diesel es la siguiente:
= Cargo Máximo de Generación correspondiente al mes m de prestación del servicio ($/kWh), para cada mercado relevante.
= Costo de Inversión promedio.
= Costo de Mantenimiento promedio.
= Costo de Monitoreo
= Costo promedio de Combustible correspondiente al mes m de prestación del servicio.
= Costo promedio de Lubricante correspondiente al mes m de prestación del servicio.
= Costo del consumo propio y pérdidas de transformación de la conexión del generador al sistema de distribución.
Las componentes de inversión, mantenimiento y de monitoreo se actualizarán de la siguiente manera:
= Costo de Inversión promedio ponderado por la energía generada en cada planta del parque de generación, determinado según lo dispuesto en el Artículo 22, expresado en precios de la Fecha Base.
= Costo de Mantenimiento promedio ponderado por la energía generada en cada planta del parque de generación, determinado según lo dispuesto en el Artículo 22 de la presente Resolución expresado en precios de la Fecha Base.
= Índice de Precios al Productor Total Nacional reportado por la autoridad competente para el mes m-1.
= Índice de Precios al Productor Total Nacional reportado por la autoridad competente para la Fecha Base del cargo por Generación.
M0 = Cargo que remunera la Actividad de Monitoreo, expresado en precios de la Fecha Base y establecido por la CREG en Resolución posterior.
b) Fórmula de Actualización de Cargos Máximos de Generación para Centrales Hidroeléctricas a Pequeña Escala
= Cargo Máximo de Generación correspondiente al mes m de prestación del servicio.
= Cargo Máximo de Generación expresado en precios de la Fecha Base. Resulta de la suma de los componentes correspondientes a cada tecnología, establecidos en el literal b) del Artículo 22 de la presente resolución.
= Cargo Máximo de Administración, Operación y Mantenimiento expresado en precios de la Fecha Base, establecido en el numeral 24.3 de la presente resolución.
= Índice de Precios al Productor Total Nacional reportado por la autoridad competente para el mes m-1.
= Índice de Precios al Productor Total Nacional reportado por la autoridad competente para la Fecha Base.
Mo = Cargo que remunera la Actividad de Monitoreo, expresado en precios de la Fecha Base.
c) Fórmula de Actualización de Cargos Máximos de Generación para Soluciones Fotovoltaicas Individuales
= Cargo Máximo de Generación correspondiente al mes m de prestación del servicio.
= Cargo Máximo de Generación expresado en precios de la Fecha Base. Corresponde a la suma de los componentes correspondientes a la tecnología, establecidos en la Tabla 3 de la presente Resolución.
= Cargo Máximo de Administración, Operación y Mantenimiento expresado en precios de la Fecha Base, establecido en el numeral 24.4 de la presente resolución.
= Índice de Precios al Productor Total Nacional reportado por la autoridad competente para el mes m-1.
= Índice de Precios al Productor Total Nacional reportado por la autoridad competente para la Fecha Base.
Artículo 26. Monitoreo de la calidad y continuidad del servicio. Cada prestador del servicio con capacidad instalada total nominal superior a 100 kW, deberá contar con equipos instalados en las centrales de generación, que permitan realizar las siguientes funciones:
a) Registro de la producción horaria de energía con acumuladores mensuales.
b) Registro de los niveles de voltaje.
c) Envío satelital, telefónico o por cualquier otro medio de la información generada.
Parágrafo 1. La información producida por cada prestador del servicio será enviada al Ministerio de Minas y Energía y formará parte del Sistema Único de Información que administra la Superintendencia de Servicios Públicos Domiciliarios y de la información del Fondo de Solidaridad y Redistribución de Ingresos que administra el Ministerio de Minas y Energía para la definición de subsidios y contribuciones del sector eléctrico.
Parágrafo 2. Una vez se comience a reportar la información del Parágrafo 1 y a partir de la entrada en vigencia del cargo que remunere la Actividad de Monitoreo, se cobrará el componente Mo incluido en las fórmulas del cargo máximo de generación, establecidas en el Artículo 25 de la presente Resolución.
Parágrafo 3. La Comisión de Regulación de Energía y Gas podrá revisar el cargo regulado de la Actividad de Monitoreo, cuando se haga aconsejable extender la cobertura de la misma.
Parágrafo 4. La actividad de Monitoreo es complementaria a la prestación del servicio público domiciliario de electricidad en las ZNI, en consecuencia le aplica lo dispuesto en las Leyes 142 y 143 de 1994 y las demás normas vigentes.
Parágrafo 5. Los prestadores del servicio con capacidad de generación instalada mayor a 100 kW contarán con un plazo de 2 años para la instalación de los equipos de medición a distancia. En el caso de las Áreas de Servicio Exclusivo el plazo será de un año.
Artículo 27. Compra de energía a sistemas eléctricos de otros países. La determinación del costo de energía comprada a otros países seguirá las reglas pertinentes para Procesos Competitivos establecidas en el Capítulo III de la presente Resolución. En todo caso los costos de adquisición de energía eléctrica a otros países no podrán ser superiores al costo de reserva establecido por la Comisión, o en su defecto a los cargos máximos regulados de generación diesel que se establecen en la presente resolución.
Parágrafo. En aquellos casos donde a la fecha de expedición de la presente resolución ya existieran compromisos de compra con otros países, dichos compromisos se honrarán hasta su extinción, momento en el cual se adoptará lo dispuesto en el Capítulo III o IV de la presente resolución, según sea el caso.
CAPÍTULO V
CARGOS POR USO DEL SISTEMA DE DISTRIBUCIÓN
Artículo 28. Principios Generales. La aplicación de los cargos por uso de los Sistemas de Distribución tendrá en cuenta los siguientes principios generales:
a) Los cargos por uso de los Sistemas de Distribución aprobados por la CREG se aplicarán de forma tal que los usuarios de las redes paguen un único cargo por el uso de cada sistema, independientemente del número de propietarios del mismo.
b) Los cargos por uso del Sistema de Distribución remunerarán al Distribuidor la infraestructura necesaria para llevar el suministro desde el Punto de Salida del Generador, hasta el punto de entrega al usuario. Incluyen los costos de conexión del Sistema de Distribución al Generador, pero no incluyen los costos de conexión del usuario al respectivo Sistema de Distribución ni los costos de los equipos auxiliares y transformadores elevadores que requiera el generador para conectarse al Sistema de Distribución.
Artículo 29. Remuneración de la Actividad de Distribución de Energía Eléctrica. La actividad de Distribución de Energía Eléctrica se remunerará utilizando los siguientes Cargos Máximos para los niveles de tensión 1 y 2 ($ de diciembre de 2006):
TABLA 4. Componente de remuneración de inversiones
y de gastos de AOM en Sistemas de Distribución
($ de diciembre de 2006).
Nivel de Tensión | Componente de Inversión | Componente de AOM | Total |
n = 1 | $ 65,17/kWh | $ 12,04/kWh | $ 77,21/kWh. |
n = 2 | $ 10,38/kWh | $ 2,42/kWh | $ 12,80/kWh. |
Parágrafo 1. En caso de requerirse Sistemas de Distribución con niveles de voltaje superiores a los establecidos en el presente artículo, la Comisión establecerá los cargos máximos correspondientes en Resolución particular.
Parágrafo 2. Las inversiones correspondientes a activos tales como conexiones individuales de usuarios, activos para uso particular y activos no requeridos para el desarrollo de la actividad de Distribución de Energía Eléctrica, no serán consideradas en los cargos de distribución de que trata la presente Resolución.
Parágrafo 3. Los Sistemas de Distribución expuestos al efecto de contaminación salina, tendrán derecho a una remuneración adicional de 12.5% por concepto de AOM sobre el valor de la componente de AOM expresados en la Tabla 4 de la presente resolución. Para determinar qué sistemas de distribución están expuestos a contaminación salina, se adoptará la normatividad vigente para el Sistema Interconectado Nacional.
Artículo 30. Fórmula de Actualización de Cargos Máximos de Distribución. Los Cargos Máximos de Distribución expresados en pesos de la Fecha Base, se actualizarán con la siguiente fórmula general:
Donde:
= Cargo Máximo de Distribución en el nivel de tensión n correspondiente al mes m de prestación del servicio.
= Cargo Máximo de Distribución en el nivel de tensión n establecido en el Artículo 29 de la presente Resolución y expresado en precios de la Fecha Base.
= Índice de Precios al Productor Total Nacional reportado por la autoridad competente para el mes (m-1).
= Índice de Precios al Productor Total Nacional reportado por la autoridad competente para la Fecha Base del cargo por distribución D0.
= Nivel de tensión
Artículo 31. Sistemas de Distribución de Propiedad Múltiple. Si en un Sistema de Distribución existen dos o más propietarios, o cuando un Distribuidor utiliza activos de terceros para uso general, el procedimiento que se aplicará para la asignación de la remuneración y para la administración, operación y mantenimiento (AOM) del respectivo sistema tendrá en cuenta las siguientes reglas generales:
a) La asignación de los ingresos que remuneran la Inversión, se efectuará con el porcentaje de participación de cada propietario en la inversión, el cual será definido entre ellos, entre otros criterios, con base en la longitud de red y/o de la capacidad de transformación de cada uno.
b) La Administración, Operación y Mantenimiento de dichos activos será realizada por el Distribuidor y a éste le corresponderá el Cargo de AOM establecido por la CREG.
Parágrafo 1. Cuando sea necesario realizar la reposición de redes de terceros que sean de uso general, la obligación de reposición corresponde en primer lugar al propietario del activo. Si éste no hace la reposición oportunamente, el Distribuidor que está utilizando dicho activo podrá realizarla. En este caso, el Distribuidor ajustará la remuneración al tercero de conformidad con el esquema regulatorio que esté vigente y con la reposición efectuada.
Parágrafo 2. La enajenación, de las obras de infraestructura construidas por un suscriptor o usuario dentro de un Sistema de Distribución se determinará de común acuerdo entre las partes y en ningún caso podrá ser a título gratuito.
Artículo 32. Vigencia de los Cargos. El Cargo Máximo de Distribución aprobado por la Comisión tendrá una vigencia de cinco (5) años, contados a partir de la entrada en vigencia de la presente Resolución. Vencido este período, dichas fórmulas continuarán rigiendo hasta tanto la Comisión no fije las nuevas.
Artículo 33. Calidad del Servicio en las ZNI. Con el propósito de garantizar condiciones mínimas de calidad de la potencia y del servicio a los usuarios, el prestador del servicio deberá cumplir con las siguientes disposiciones:
a) Calidad de la Potencia
- Contar con equipos adecuados para el monitoreo de los valores de frecuencia y magnitud del voltaje
- Mantener la frecuencia dentro de un rango de + ó – el 1% del valor nominal de la frecuencia, en los bornes de generación.
- Mantener la tensión del voltaje dentro de un rango de + ó – el 10% del valor nominal del voltaje.
- Contar con los medios necesarios para obtener registros que permitan observar de manera horaria los valores de frecuencia y magnitud del voltaje, con una antigüedad de por lo menos tres (3) meses, de manera que sea posible su vigilancia por parte de la Superintendencia de Servicios Públicos.
b) Calidad del Servicio Técnico
- Hasta que no se regule lo contrario, para aquellas localidades con servicio las 24 horas, el índice de desconexiones del servicio (DES) no podrá superar los índices vigentes para el grupo 4 de calidad del SIN.
c) Calidad del servicio comercial
- Contar con oficinas o puestos móviles de atención de Peticiones, Quejas y Recursos, los cuales estarán sujetos a las condiciones y términos definidos en la Ley 142 de 1994.
Artículo 34. Compensaciones por deficiencias en la calidad del servicio. Las compensaciones por deficiencias en la calidad del servicio técnico serán compensadas con la metodología vigente para usuarios del Sistema Interconectado Nacional. Hasta tanto no se determine lo contrario dichas compensaciones se efectuarán considerando el valor del primer escalón del Costo de Racionamiento. Para las localidades con servicio menor a 12 horas diarias, las compensaciones deberán realizarse con horas de servicio equivalentes al tiempo de interrupción.
CAPITULO VI
CARGOS DE COMERCIALIZACIÓN DE ENERGÍA ELÉCTRICA EN ZONAS NO INTERCONECTADAS
Artículo 35. Prestadores del Servicio de Comercialización. De conformidad con el Artículo 3 de esta Resolución, sólo podrán prestar el servicio de Comercialización de energía eléctrica en Zonas No Interconectadas las personas de que trata el Título I de la Ley 142 de 1994.
Artículo 36. Aforos de carga. Para efectos de realizar aforos de carga a usuarios que aún no dispongan de medidor individual, se podrán utilizar los valores de potencia instalada por electrodoméstico de la Tabla 5, hasta que se instalen los correspondientes medidores de kWh. La energía correspondiente se determinará teniendo en cuenta los factores de utilización respectivos, los cuales varían con las horas de prestación del servicio:
TABLA 5. Guía para efectuar aforos de carga

Parágrafo. En aquellos casos donde exista medición colectiva, la energía entregada al Sistema de Distribución menos las pérdidas reconocidas, será prorrateada entre los usuarios con base en los aforos individuales de carga. En los casos en que existan usuarios con micromedición, a la energía entregada al Sistema de Distribución menos las pérdidas reconocidas se le restará el consumo de estos usuarios, y la energía resultante será prorrateada entre los usuarios sin medición con base en los aforos individuales de carga.
Artículo 37. Cargo Máximo Base de Comercialización. El Cargo Máximo Base de Comercialización C*0 corresponde a un valor mensual de $3.834 por Factura ($ de diciembre de 2006).
Parágrafo 1. El Cargo Máximo Base de Comercialización de que trata el presente Artículo se variabilizará con el consumo mensual promedio del Mercado Relevante de Comercialización en el último año, expresado en kWh mes. En caso de nuevos mercados o de no existir dicha información se tomará el consumo promedio del Mercado Relevante de Comercialización más cercano del SIN.
Parágrafo 2. Cuando el comercializador con recursos propios instale medidores a los usuarios en los mercados en que no exista medición individual de los consumos, adicionará un cargo mensual de $2.000 a estos usuarios durante un periodo de cinco años.
Parágrafo 3. Los aforos de carga se realizarán cada seis meses. En estos casos el Cargo Máximo Base de Comercialización C*0 corresponderá a un valor mensual de $2.739 por Factura ($ de diciembre de 2006).
Artículo 38. Fórmula de Actualización del Cargo de Comercialización. El Cargo de Comercialización se actualizará utilizando la siguiente fórmula:
Donde,
= Cargo Máximo Base de Comercialización, expresado en pesos por factura, correspondiente al mes m de prestación del servicio.
= Cargo Máximo Base de Comercialización establecido en el Artículo 37 de la presente Resolución, expresado en pesos por factura, a precios de la Fecha Base.
= Índice de Precios al Consumidor reportado por la autoridad competente para el mes (m-1).
= Índice de Precios al Consumidor reportado por la autoridad competente para la Fecha Base del Cargo por Comercialización .
CAPITULO VII
FÓRMULA TARIFARIA PARA EL SERVICIO PÚBLICO DE ENERGÍA ELÉCTRICA EN ZONAS NO INTERCONECTADAS.
Artículo 39. Fórmulas Tarifarias Generales para Usuarios Regulados del Servicio Público de Energía Eléctrica en Zonas No Interconectadas. Las Fórmulas Tarifarias Generales para los Usuarios Regulados del servicio público domiciliario de energía eléctrica en las ZNI, serán las siguientes:
a) La aplicable a usuarios regulados del servicio de energía eléctrica con red
b) La aplicable a usuarios regulados del servicio de energía eléctrica sin red
Artículo 40. Fórmulas Tarifarias Generales para Usuarios Regulados del Servicio Público de Energía Eléctrica con Red. La Fórmula Tarifaria General aplicable a los Usuarios Regulados del servicio público domiciliario de energía eléctrica, tendrá los siguientes componentes de cargos:
Costo Unitario: ($/kWh)
Donde:
CUn,m = Costo unitario de prestación del servicio para los usuarios conectados al nivel de tensión n, correspondiente al mes m.
m = Mes de prestación del servicio
n = Nivel de tensión
p = Fracción (o Porcentaje expresado como fracción) de pérdidas de energía acumuladas hasta el nivel de tensión n. Hasta tanto la Comisión no determine lo contrario, las pérdidas eficientes reconocidas serán del 10%.
Cm = Costo de Comercialización del mes m, expresado en $/kWh, que se calculará de la siguiente forma:
Donde:
C*mt = Cargo Máximo Base de Comercialización para el mes m del año t, expresado en $/Factura.
CFM t-1 = Consumo Facturado Medio en cada mercado en el año t-1. (Total kWh vendidos a los usuarios dividido por el total de facturas expedidas, sin considerar las debidas a errores de facturación).
Artículo 41. Fórmulas Tarifarias Generales para Usuarios Regulados del Servicio Público de Energía Eléctrica sin Red en ZNI. La Fórmula Tarifaria General aplicable a los Usuarios Regulados del servicio público domiciliario de energía eléctrica sin red en Zonas No Interconectadas tendrá los siguientes componentes:
Cargo Fijo: ($/Factura)
Cargo Variable: ($/W)
Donde:
Gm = Cargo Máximo por Capacidad Disponible ($/W-pico disponible) de que trata el literal c) del Artículo 22.
C*m = Cargo Base de Comercialización de que trata el Artículo 37 de la presente Resolución.
W = Capacidad disponible en W-pico por usuario, para el mes m de prestación del servicio.
CAPITULO VIII
DISPOSICIONES GENERALES
Artículo 42. Publicidad. Mensualmente y antes de su aplicación, el Comercializador hará públicas las tarifas que facturará a los usuarios en forma simple y comprensible, a través de un medio de comunicación de amplia divulgación en los municipios donde preste el servicio. Dicha publicación incluirá los valores de cada componente del costo de prestación del servicio. Los nuevos valores deberán ser comunicados por el Comercializador a la Superintendencia de Servicios Públicos Domiciliarios y a la Comisión de Regulación de Energía y Gas.
Artículo 43. Autorización para fijar Tarifas. Dentro del régimen de libertad regulada, previsto en la Ley 142 de 1994, los prestadores del servicio de energía eléctrica a los que se refiere la presente Resolución podrán aplicar las Fórmulas Tarifarias Específicas del Mercado Relevante correspondiente, a partir del mes siguiente a la publicación tarifaria de que trata el Artículo 42 de la presente Resolución.
Artículo 44. Periodo de Transición cuando se realice interconexión al SIN. El prestador del servicio de energía eléctrica en una Zona No Interconectada, cuyo sistema de distribución se integre físicamente al Sistema Interconectado Nacional, tendrá dos opciones para la prestación del servicio:
1) Entrar a formar parte del Sistema de Distribución del Operador de Red al que se conectó, en cuyo caso sus redes se consideran una prolongación de la red de dicho OR y por lo tanto aplicará en su mercado los cargos de distribución y el Costo Base de Comercialización aprobados para ese mercado. El Operador de Red al que se conecta podrá solicitar la revisión de los cargos de distribución.
2) Conformar un mercado de comercialización independiente en cuyo caso el prestador del servicio tendrá un plazo de seis (6) meses, contados a partir de la interconexión, para presentar ante la CREG lo siguiente:
- La solicitud de aprobación del Costo Base de Comercialización, según lo previsto en la Resolución CREG-031 de 1997 o aquellas que la modifiquen o sustituyan.
- La solicitud de cargos de Distribución de acuerdo con la metodología establecida en la Resolución CREG-082 de 2002 o aquellas que la modifiquen o sustituyan.
- Adicionalmente, deberá adelantar los trámites correspondientes para registrar las fronteras comerciales y los contratos de compra de energía ante las entidades competentes, de conformidad con las normas vigentes.
Parágrafo. Hasta tanto la CREG apruebe los anteriores cargos, el prestador del servicio aplicará la fórmula tarifaria general del Sistema Interconectado Nacional, con las siguientes precisiones:
i) El componente que remunera la actividad de generación se sustituirá por los costos de compra de energía en el Sistema Interconectado Nacional.
ii ) Los costos de transmisión corresponderán a los cargos regulados para el Sistema de Transmisión Nacional.
iii) Al cargo de distribución se le adicionará el cobro por concepto de cargos de distribución de niveles superiores que efectúe el Operador de Red al cual se conecta la antigua zona no interconectada. En caso de entrar a formar parte de un STR, el LAC realizará los pagos y cobros correspondientes, de conformidad con lo establecido en la Resolución CREG-082 de 2002 o aquellas que la modifiquen o sustituyan.
iv) El cargo de comercialización corresponderá al aprobado para las ZNI.
v) Los demás cargos de la fórmula tarifaria general del SIN podrán ser aplicados por el prestador del servicio el mes siguiente a la interconexión.
Artículo 45. Costo de Capital Invertido. El costo de capital invertido para remunerar los activos de la actividad de generación y de distribución de energía eléctrica en las ZNI, es de 12,18% en pesos constantes antes de impuestos. Una vez la Comisión defina el costo de capital invertido para la actividad de distribución de energía eléctrica en el SIN para el próximo período tarifario, podrá ajustar la tasa establecida en este artículo.
Parágrafo. Para el caso en el cual los activos correspondan a tecnologías que utilicen fuentes de energía renovables, se reconocerá una prima de riesgo tecnológico equivalente a 3,5 puntos del costo de capital propio (ke), adicional al costo de capital definido en el presente artículo.
Artículo 46. Aportes Públicos en inversión. En caso de existir aportes públicos en la inversión y si así lo dispone la entidad propietaria de tales activos, dicha inversión podrá deducirse de la tarifa aplicada al usuario final beneficiario. Para tal efecto la entidad propietaria de los activos deberá manifestarlo por escrito al prestador del servicio correspondiente.
Artículo 47. Vigencia de la presente Resolución. La presente resolución rige a partir del mes siguiente a la fecha de su publicación en el Diario Oficial, y deroga todas las disposiciones que le sean contrarias, en especial las Resoluciones CREG-077 y 082 de 1997.
PUBLÍQUESE Y CÚMPLASE Dada en Bogotá a los 26 OCT. 2007
MANUEL MAIGUASHCA OLANO | HERNAN MOLINA VALENCIA |
Viceministro de Minas y Energía | Director Ejecutivo |
Delegado del Ministro |  |
Presidente
|  |
ANEXO
COSTOS ADICIONALES DE TRANSPORTE FLUVIAL, MARÍTIMO y AÉREO
Para determinar el costo de transporte de combustible en medio marítimo, fluvial y aéreo, se reconocerá el costo adicional que se indica en la Tabla 6 para cada grupo regional, considerando un costo desde el centro de abasto más cercano hasta las principales cabeceras municipales del grupo regional. A partir de estas cabeceras municipales se reconocerá adicionalmente un costo de $200/gal para transporte marítimo y fluvial y de $2.000/gal para transporte aéreo hacia las áreas rurales de cada municipio (corregimientos, inspecciones y localidades menores) (a pesos de diciembre de 2006).
Los costos adicionales reconocidos hasta las cabeceras principales de cada una de los grupos regionales, son los siguientes a precios de diciembre de 2006:
Tabla 6. Costo adicional de transporte de combustible desde el centro de abasto más cercano hasta las principales cabeceras municipales de la región (pesos de diciembre de 2006).
Los costos de transporte definidos en este Anexo, serán actualizados mensualmente con el Índice de Precios al Consumidor, hasta que sea establecido por la entidad competente un índice de incremento de costos de transporte fluvial y marítimo.
Grupo 1. Chocó-Atrato
Este grupo lo conforman los centros poblados localizados en los municipios ribereños al Río Atrato y Golfo de Urabá, en los departamentos del Chocó y Antioquia, como son:
-Antioquia: Vigía del Fuerte
-Chocó: Acandí, Unguía, Riosucio área rural y Bojayá
El río Atrato constituye el eje de la región, comunica por el norte con Turbo y Cartagena y por el Sur con Quibdó. Las poblaciones de este grupo se abastecen de combustible desde Cartagena.
Grupo 2. Litoral pacífico-Chocó
Este grupo lo conforman los centros poblados localizados en los municipios costeros al mar Pacífico, y del centro del departamento del Chocó, como son:
-Chocó: Juradó, Nuquí, Bahía Solano, Alto Baudó, Bajo Baudó, Litoral del Bajo San Juan, Sipí, Bagadó, Istmina, Lloró, Novita, Condoto, Cantón de San Pablo y Quibdó.
El centro de abastecimiento de combustible para este grupo es Buenaventura y se realiza por el mar Pacífico.
Grupo 3. Litoral Pacífico-Nariño-Cauca
Este grupo lo conforman los centros poblados localizados en los municipios costeros del mar Pacífico, localizados en los departamentos de Nariño y Cauca, como son:
-Nariño: El Charco, La Tola, Francisco Pizarro, Mosquera, Olaya Herrera, Santa Bárbara, Barbacoas, Roberto Payan, Magui Payan y Tumaco (área rural).
-Cauca: Guapi, Lopez de Micay y Timbiquí.
Por el mar Pacífico y desde el centro de abastecimiento de combustible que para este grupo es Buenaventura, se accede a todas las poblaciones.
Grupo 4. Río Meta y Casanare
Este grupo lo conforman los centros poblados localizados en los municipios ribereños a los ríos Meta y Casanare, de los departamentos de Meta, Casanare y Arauca, como son:
-Meta: Puerto Gaitá
-Casanare: Orocué, Paz de Ariporo, Trinidad y Villanueva.
-Arauca: Cravo Norte
-Vichada: La Primavera y Santa Rosalía.
El centro de abastecimiento de este grupo es Mansilla (Cundinamarca).
Grupo 5. Río Guaviare-Meta- Guaviare-Vichada-Guainía
Este grupo lo conforman los centros poblados localizados en los municipios ribereños al río Guaviare, de los departamentos de Meta, Guaviare y Guainía, como son:
-Meta: La Macarena, Vista Hermosa, Puerto Rico, Puerto Concordia y Mapiripán.
-Guaviare: San José del Guaviare (área rural).
-Vichada: San José de Ocune
-Guainía: Barranco Minas.
El centro de abastecimiento de este grupo es Mansilla (Cundinamarca).
Grupo 6. Ríos Caquetá y Caguán-Caquetá-Putumayo-Amazonas
Este grupo lo conforman los centros poblados localizados en los municipios ribereños a los ríos Caquetá y Caguán, en los departamentos del Caquetá, Putumayo y Amazonas, como son:
-Caquetá: Solano, Solita, San José del Fragua, Curillo y Valparaiso.
-Putumayo: municipio de Puerto Guzmán y poblaciones ribereñas al río Caquetá del municipio de Puerto Leguízamo (Identificadas: Tagua, Mecaya, Sensella, Delicias, Nueva Apaya).
-Amazonas: Corregimiento departamental de Puerto Santander.
Los centros de abastecimiento de combustible están en Neiva o Yumbo.
Grupo 7. Río Putumayo-Putumayo-Amazonas
Este grupo lo conforman los centros poblados de las ZNI localizados en los municipios ribereños al río Putumayo, en los departamentos del Putumayo y Amazonas, como son:
-Putumayo: Puerto Asís (área rural) y Puerto Leguízamo (Puerto Leguízamo, Piñuña Negro, Puerto Ospina, Puerto Nariño, refugio).
-Amazonas: Corregimiento de El Encanto.
Los centros de abastecimiento de combustible están en Neiva, Yumbo o en los países vecinos.
Grupo 8. Departamento del Amazonas
Este grupo lo conforman los centros poblados localizados en el departamento de Amazonas, excluyendo las localidades ubicadas en jurisdicción de los corregimientos de El Encanto y Puerto Santander, así:
-Municipios: Puerto Nariño y Leticia
-Corregimientos departamentales: La Chorrera, Tarapacá, La Pedrera y Mirití Paraná,
El combustible es traído de Perú o Brasil a través del río Amazonas, constituyéndose Leticia en el centro de abasto para las demás localidades.
Grupo 9. Departamento del Vaupés
Este grupo lo conforman los centros poblados del departamento de Vaupés, así:
-Municipios: Mitú, Taraira y Carurú
-Corregimientos departamentales: Pacoa, Morichal y Yavaraté.
El centro de abastecimiento de este grupo está en Mansilla (Cundinamarca).
Grupo 10. Departamento del Guainía
Este grupo lo conforman los centros poblados del departamento de Guainía, excluyendo las localidades ubicadas en jurisdicción del corregimiento departamental de Barrancominas, así:
-Municipios: Puerto Inírida
-Corregimientos departamentales: San Felipe, Puerto Colombia, La Guadalupe, Cacahual, Campo Alegre y Morichal nuevo.
El centro de abastecimiento de este grupo está en Mansilla (Cundinamarca).
Grupo 11. Departamento del Vichada
Este grupo lo conforman los centros poblados del departamento del Vichada, excluyendo las localidades ubicadas en jurisdicción de los municipios de Santa Rosalía y La Primavera, y del corregimiento departamental de San José de Ocune, así:
-Municipios: Puerto Carreño
-Corregimientos departamentales: Santa Rita y Cumaribo
El centro de abastecimiento de este grupo está en Mansilla (Cundinamarca).
Grupo 12. Localidades y municipios aislados
En este grupo se encuentran un gran número de localidades que cumplen con una de las siguientes características: Pertenecen a municipios que están aislados geográficamente de los grupos 1 a 11 o sus cabeceras son cubiertas por el SIN. Para este grupo se aplican los costos de transporte terrestre incluidos en la matriz de origen-destinos.
El grupo lo conforman, las localidades pertenecientes a las ZNI de los siguientes departamentos y municipios:
-Arauca: áreas rurales de los municipios de: Arauquita, Arauca y Tame
-Atlántico: área rural del municipio de Juan de Acosta.
-Bolívar: áreas rurales de los municipios de: Achí, Pinillos, Tiquisio, Mompox y San Fernando.
-Caquetá: municipio de Cartagena del Chairá y áreas rurales de los municipios de: Florencia, Doncello, Montañita, Paujil, Puerto Rico, San Vicente del Caguán, Belén de los Andaquíes y Valparaíso.
-Casanare: área rural del municipio de Pore.
-Cauca: área rural de Santa Rosa.
-Cesar: áreas rurales del municipio de Aguachica, y San Martín.
-Guajira: áreas rurales de los municipios de Uribia y San Juan del Cesar.
-Guaviare: municipios de Calamar, Miraflores y El Retorno.
-Magdalena: áreas rurales de los municipios de: Guamal, Pivijay, Plato y santa Ana.
-Meta: Municipio de la Uribe. Áreas rurales de los municipios de: El Calvario, Fuente de Oro, Lejanía, San Juanito, San Juan de Arama y Puerto Lleras.
-Putumayo: municipios de Orito, y Valle del Guamuez. Áreas rurales de los municipios de: Mocoa, La Dorada y Villa Garzón.
-Valle del Cauca: área rural del municipio de Buenaventura.
MANUEL MAIGUASHCA OLANO | HERNAN MOLINA VALENCIA |
Viceministro de Minas y Energía | Director Ejecutivo |
Delegado del Ministro |  |
Presidente |  |
|
Doble click sobre el archivo anexo para bajarlo(Resoluciones CREG) |
Doble click sobre el archivo anexo para bajarlo(Documento CREG) |
|