| Publicación Diario Oficial No.: | , el día: |
| Publicada en la WEB CREG el: | |
| Resolución 076 de 1996
(10 de septirmbre)
Por la cual se establecen las tarifas que podrá cobrar ISSESA a los usuarios del servicio de energía eléctrica que atiende en San Andrés y Providencia.
LA COMISION DE REGULACION DE ENERGIA Y GAS
en ejercicio de sus facultades legales, en especial las conferidas por las Leyes 142, 143 de 1994 y 286 de 1996, y en desarrollo de los Decretos 1524 y 2253 de 1994, y
CONSIDERANDO:
Que la Ley 142 de 1994 definió las reglas para la aplicación de subsidios y contribuciones;
Que la resolución CREG 037 de 1996 estableció los costos de referencia para las diferentes etapas de prestación del servicio de electricidad, correspondientes a CORELCA, APL e ISSESA. Contra esa resolución no se interpuso recurso alguno, razón por la cual los costos previstos en esa resolución han quedado en firme;
Que ISSESA desarrollará la actividad de comercialización en San Andrés y Providencia;
Que es conveniente realizar los ajustes tarifarios gradualmente para los usuarios de estratos 1, 2 y 3, de acuerdo con lo dispuesto en la ley 286 de 1996;
Que esta resolución se expide de acuerdo con los las normas de las Leyes 142 y 143, en especial artículos 124 a 127 de la Ley 142 de 1994 que establecen que la Comisión debe aprobar las fórmulas tarifarias;
Que la Ley 286 del 3 de julio de 1996 autorizó un período de transición en materia de tarifas, subsidios y contribuciones, hasta el 31 de diciembre del año 2.000.
RESUELVE:
ARTÍCULO 1o. COSTOS DE REFERENCIA. A partir del 1o. de octubre de 1996, se utilizarán como costos de referencia de prestación del servicio para San Andrés y Providencia, los consignados en siguiente tabla:
Costos de Referencia en pesos de diciembre de 1995.
(Energía y Equivalente $ /kWh , Potencia $/kW-mes)
Nivel de Tensión | Costo por
Energía | Costo por
Potencia | Costo Equivalente (Con) |
| Nivel II (1-30 kV) | $90.55 | $18971.46 | $127.00 |
| Nivel I (menor a 1kV) | $97.82 | $20239.03 | $136.51 |
PARAGRAFO. Los costos de referencia establecidos en el artículo No. 1, de la resolución CREG 037 de 1996, tendrán efectos tarifarios a partir del 1o. de octubre de 1996.
ARTÍCULO 2o. DEFINICIÓN DE VARIABLES. Para efectos de la aplicación de las fórmulas que se establecen a continuación, se adopta la notación consignada en el ANEXO I de la presente resolución.
ARTÍCULO 3o. TARIFAS DE REFERENCIA ISSESA. Para efectos de la aplicación de las fórmulas que se establecen a continuación, ISSESA adoptará como propias las tarifas y la estructura tarifaria que actualmente están autorizadas para San Andrés y Providencia.
PARÁGRAFO. Para efectos de aplicación de esta resolución, se adoptará como estructura tarifaria para el estrato Bajo-Bajo (1), la vigente en agosto de 1996 para el estrato Bajo (2).
ARTÍCULO 4o. TARIFAS RESIDENCIALES PARA LOS ESTRATOS 4, 5 Y 6. A partir del 1o de Octubre de 1996 para la liquidación de los consumos de los estratos Medio (4), Medio-Alto (5) y Alto (6), se aplicará en todos y cada uno de los rangos de consumo la siguiente tarifa:
Tarifati=(1+ i )* C0n * IPPt /IPPo
PARÁGRAFO. Los factores i aplicables para los estratos 5 y 6, serán iguales a 0.20 para ambos casos; mientras que para el estrato 4 será igual a cero (0).
ARTÍCULO 5o. TARIFAS RESIDENCIALES PARA LOS ESTRATOS 1, 2, 3, PARA CONSUMOS ENTRE EL CONSUMO DE SUBSISTENCIA (CS) Y EL CONSUMO DE NIVELACIÓN (CN). Para la liquidación de los consumos en los estratos Bajo-Bajo(1), Bajo(2) y Medio-Bajo(3), que sean mayores al Consumo de Subsistencia (CS) y hasta el Consumo de Nivelación (CN), definido para cada Período de Consumo, y consignados en el ANEXO II de la presente resolución, se aplicará la siguiente fórmula:
Tarifati(CS-CN)= Tarifa(t-1)i(CS-CN) * (1+ a ) , donde CN >CS
PARÁGRAFO. a es la meta de inflación mensualizada, correspondiente al año a y definida por el Gobierno. Para el año de 1996 _a=1.32% .
ARTÍCULO 6o. TARIFAS RESIDENCIALES PARA LOS ESTRATOS 1, 2 y 3, PARA CONSUMOS MAYORES AL CONSUMO DE NIVELACIÓN (CN). Para la liquidación de los consumos de los estratos Bajo-Bajo(1), Bajo(2), Medio-Bajo(3), que sean mayores al Consumo de Nivelación (CN), definido para cada Período de Consumo, y consignados en el ANEXO II de la presente resolución, se aplicará la siguiente fórmula:
Tarifati(>CN)= C0n * IPPt / IPP0
ARTÍCULO 7o. TARIFA RESIDENCIAL PARA LOS ESTRATOS 1, 2 y 3 APLICABLE A CONSUMOS DE SUBSISTENCIA (0-CS). A partir del 1o. de Octubre de 1996 para la liquidación de los consumos de los estratos 1, 2 y 3, que sean iguales o inferiores al Consumo de Subsistencia (CS), se aplicará la siguiente fórmula:
Tarifati(0-CS)= i * ti * IPPt /IPPo ,donde i=1,2 o 3
PARÁGRAFO. Los valores ti reflejan los incrementos uniformes en términos reales, en el periodo t, necesarios para alcanzar las metas de ley definidas para el estrato i, y se calculan como se señala en el ANEXO II de la presente resolución. En el mismo ANEXO se presenta la forma de cálculo de los i , que corresponde a la tarifa del rango de subsistencia aplicada a los usuarios del estrato i, para los consumos de agosto de 1996, deflactada a diciembre de 1995.
ARTÍCULO 8o. TARIFAS BINOMIAS RESIDENCIALES. A partir del 1o. de Octubre de 1996, los consumos de los usuarios residenciales de estratos Medio (4) Medio-Alto (5) y Alto (6) con contador binomio, serán facturados con las tarifas binomias que se establecerán de acuerdo con las fórmulas consignadas en el ANEXO III de la presente resolución.
A partir de la facturación correspondiente a los consumos del mes de octubre de 1996, para los estratos 5 y 6 con contador binomio, los valores i para aplicar las fórmulas tarifarias del ANEXO III de la presente resolución serán iguales a 0.2; mientras que para el estrato 4, 4 será igual a cero (0).
A los usuarios de los estratos 1, 2 y 3, con contador binomio solo se les liquidará el consumo de energía. La tarifa aplicable en el periodo t, del estrato i, de la, conforme a las definiciones del ANEXO I de la presente resolución, será:
Para el consumo de subsistencia:
Tarifati(0-CS)= (1+ i )* C0n * IPPt /IPPo
Por encima del consumo de subsistencia:
Tarifati (>CS)= C0n * IPPt /IPPo
PARÁGRAFO. Los valores i que reflejan el subsidio otorgado a los estratos 1, 2 y 3, son respectivamente:
| Estrato | i |
| Bajo-bajo (i=1) | -0.50 |
| Bajo (i=2) | -0.40 |
| Medio-Bajo (i=3) | -0.15 |
ARTÍCULO 9o. TARIFAS MONOMIAS NO-RESIDENCIALES. A partir del 1o. de Octubre de 1996, las tarifas monomias se establecerán de acuerdo con las fórmulas consignadas en el ANEXO III, sujetas a las reglas del artículo 11o. de la presente resolución.
ARTÍCULO 10o. TARIFAS BINOMIAS NO-RESIDENCIALES. A partir del 1o. de Octubre de 1996, las tarifas binomias se establecerán de acuerdo con las fórmulas consignadas en el ANEXO III, sujetas a las reglas del artículo 11o. de la presente resolución.
ARTÍCULO 11o. CONTRIBUCIONES. A partir del 1o. de Octubre de 1996, el valor de las fórmulas consignadas en el ANEXO III de la presente resolución, será el menor valor entre ’ del ANEXO III y los valores o de la siguiente tabla, según sector de consumo:
| Fecha |  | o |  |
Sector | Industria, Comercio, Provisional, Estratos 5 y 6 | Oficial, Especial, Estrato 4 | Alumbrado Público |
| Sep/96-Dic/96 | 1.40 | 1.20 | 1.00 |
| Ene/97-Dic/97 | 1.35 | 1.15 | 1.00 |
| Ene/98-Dic/98 | 1.30 | 1.10 | 1.00 |
| Ene/99-Dic/99 | 1.25 | 1.05 | 1.00 |
| Ene/2000 en Adelante | 1.20 | 1.00 | 1.00 |
ARTÍCULO 12o. BOMBEO DE AGUA. A los consumos de energía y potencia originados exclusivamente en Bombeo de Agua para servicio público de acueducto, se les aplicará como Tarifa Plena (Monomia o Binomia) la Tarifa Oficial calculada de acuerdo con lo estipulado en los Artículos 9o. y 10o. de la presente resolución .
PARÁGRAFO. Se mantendrá vigente, únicamente hasta el 30 de noviembre de 1996, la modalidad de Tarifa Reducida para el Bombeo de Agua del servicio público de acueducto. Esta Tarifa será equivalente a un 80% de la respectiva Tarifa Plena, y será aplicable siempre y cuando la empresa de servicio público se encuentre a paz y salvo por concepto de pago de servicio de energía eléctrica con la empresa que suministra el servicio, o haya suscrito con tal empresa un convenio de pago de las sumas adeudadas.
ARTÍCULO 13o. ENERGÍA REACTIVA. Cuando la energía reactiva registrada, sea mayor o igual al 50% de la energía activa consumida durante el mismo período de facturación, las empresas liquidarán los excedentes sobre este 50% de esta energía reactiva con la tarifa de la respectiva energía activa.
ARTÍCULO 14o. ÁREAS COMUNES. A partir de la facturación correspondiente al mes de Octubre de 1996 la liquidación de los consumos de áreas comunes en el periodo t, del estrato i, conforme a las definiciones consignadas en el ANEXO I de la presente resolución, se liquidarán con la siguiente fórmula:
TarifaAreaComúnti=(1+ i )* C0n * IPPt /IPPo
donde i es el factor que refleja la contribución por encima del rango de subsistencia en el estrato i.
PARÁGRAFO 1o. Los factores i aplicables, para los estratos 5 y 6 serán iguales a los valores i, es decir 0.2
PARÁGRAFO 2o. Los factores i aplicables, para los estratos 1, 2, 3 y 4 serán iguales a cero (0).
PARÁGRAFO 3o. Los consumos de las áreas comunes de los sectores No-Residenciales se liquidarán conforme a lo dispuesto en los artículos 9o. y 10o. de la presente resolución.
ARTÍCULO 15o. CARGO MINIMO A FACTURAR POR EL SERVICIO. El cobro mínimo a facturar (CMF) a cualquier usuario, residencial o no-residencial, por concepto de costos fijos de atención de clientela, será igual, en pesos de diciembre de 1995, a:
$/usuario
PARÁGRAFO 1o. Este cargo mínimo se actualizará con el IPP, según la siguiente fórmula :
PARÁGRAFO 2o. El CMFt se cobrará únicamente cuando la liquidación de los consumos de energía y/o de potencia del usuario, sea inferior a dicho cobro mínimo, caso en el cual la aplicación de este cobro reemplaza la liquidación de los consumos de energía y/o potencia del usuario.
PARÁGRAFO 3o. A partir del 1o. de Octubre de 1996 el cargo fijo establecido en la estructura tarifaria actual de los usuarios residenciales, será igual a cero ($0).
ARTÍCULO 16o. OPCIONES TARIFARIAS. La Empresa ofrecerá opciones tarifarias binomias o monomias, horarias o sencillas, para los usuarios residenciales y no residenciales del nivel de tensión I, de forma tal que estos tengan la opción de escoger entre una facturación binomia y una monomia, entre una tarifa de energía sencilla y una horaria.
PARÁGRAFO. Una vez el usuario haya escogido una opción, no podrá cambiarla hasta cuando haya transcurrido un (1) año de facturación. Si los instrumentos de medida que tenga el usuario fueren insuficientes para realizar la medición de su nueva modalidad de facturación, éste tendrá la obligación de adquirir los aparatos de medida apropiados.
ARTÍCULO 17o. El consumo de subsistencia aquí previsto como máximo, se establece únicamente para fines tarifarios, sin perjuicio de la competencia que ostenta el Ministerio de Minas y Energía para efectos de identificación y asignación de subsidios.
ARTÍCULO 18o. VIGENCIA. Esta resolución regirá por cinco (5) años a partir de la fecha en que se encuentre en firme. La presente resolución deberá notificarse a ISSESA y publicarse en el Diario Oficial.
Con la salvedad a que se refiere el 2o considerando de esta resolución, contra lo dispuesto en ella procede el recurso de reposición, el cual podrá interponerse ante la Dirección Ejecutiva de la CREG, dentro de los cinco días (5) hábiles siguientes a su notificación o publicación.
ARTÍCULO 19o. MODIFICACIONES O PRÓRROGAS. Lo dispuesto en esta resolución está sujeto en particular a lo dispuesto por los artículos 126 y 127 de la Ley 142 de 1994.
ARTICULO 20o. Infórmese a CORELCA y a APL que a partir del primero (1o.) de octubre de 1996, pueden aplicar los costos de referencia establecidos en la Resolución CREG-037 del 21 de mayo de 1996.
ARTÍCULO 21o. PUBLICIDAD. Una vez en firme esta resolución, ISSESA deberá publicar por medios masivos de comunicación en San Andrés, la parte resolutiva de esta resolución.
Publicada en el Diario Oficial No. 42.887 de Septiembre 27 de 1996 |
NOTIFÍQUESE, PUBLÍQUESE Y CÚMPLASE
Dado en Santa Fe de Bogotá, D.C., a los 10 días de septiembre de 1996
 | RODRIGO VILLAMIZAR A.
Ministro de Minas y Energía
Presidente | EDUARDO AFANADOR IRIARTE
Director Ejecutivo |
ANEXO I
DEFINICION Y NOTACIÓN DE VARIABLES
| Variable | Descripción |
| t | Mes para el cuál se calculará la tarifa. |
| t = 0 | Diciembre de 1995. |
| s | Sector de Consumo: Industrial, Comercial, Provisional, Oficial, Especial y Alumbrado Público. |
s | Factor a aplicar que refleja la contribución para cada sector de consumo s, dónde: |
 | industria= comercio = provisional = 0.2 |
 | oficial = especial = alumbrado público = 0.0 |
i | Es el factor a aplicar en el estrato i, que refleja el subsidio o la contribución de cada estrato. |
a | Meta de inflación mensualizada, correspondiente al año a y definida por el Gobierno, |
ti | Es el valor que permite ajustar uniformemente, en términos reales, las tarifas del rango de subsistencia para el estrato i (=1, 2 o 3), hasta alcanzar las metas tarifarias de ley en un periodo Ti |
 |  |
 | Valor que permite calcular la contribución que aportará un usuario del sector no residencial, o uno residencial con facturación binomia. |
i | Es el factor que refleja la contribución por encima del rango de subsistencia en el estrato i. |
i | Es la tarifa del mes de agosto de 1996 aplicada al estrato i en el rango de subsistencia, deflactada a diciembre de 1995 con el IPP. |
| C0n | Costo equivalente a diciembre de 1995, en el nivel de tensión n. |
| Ctn | Costo equivalente para el mes t, en el nivel de tensión n. |
| C0ne | Costo binomio por concepto de energía a diciembre de 1995, en el nivel de tensión n. |
| C0np | Costo binomio por concepto de potencia a diciembre de 1995, en el nivel de tensión n. |
| CMFt | Cobro mínimo a facturar en el periodo t. |
| CS | Consumo de Subsistencia, definido actualmente en 200 kWh-mes. |
| CN | Consumo de Nivelación, utilizado para aplicar la gradualidad en el desmonte de subsidios por encima de los autorizados por la Ley, para los consumos superiores al Consumo de Subsistencia, y dentro de las fechas establecidas por la Ley 286 de julio de 1996. |
| T0n | Tarifa monomia sencilla a diciembre de 1995, en el nivel de tensión n. |
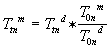
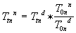
| Ttn | Tarifa monomia sencilla para el mes t, en el nivel de tensión . |
| Ttnd | Tarifa monomia diurna para el mes t, en el nivel de tensión n. |
| Ttnn | Tarifa monomia nocturna para el mes t, en el nivel de tensión n. |
| Ttnm | Tarifa monomia madrugada para el mes t, en el nivel de tensión n. |
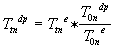
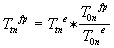
| Ttne | Tarifa binomia por concepto de energía para el mes t, en el nivel de tensión n. |
| Ttnp | Tarifa binomia por concepto de potencia para el mes t, en el nivel de tensión n. |
| Ttndp | Tarifa binomia por concepto de energía en horario de punta para el mes t, en el nivel de tensión n. |
| Ttnfp | Tarifa binomia por concepto de energía en horario fuera de punta para el mes t, en el nivel de tensión n. |
| fcn | Factor de carga para cada nivel de tensión n. |
| IPPo | Indice de Precios al Productor publicado por el Banco de la República en diciembre de 1995 y correspondiente al mes de noviembre de 1995. |
| IPPt | Indice de precios al Productor publicado por el Banco de la República en el mes t y correspondiente al mes (t-1). |
| Tarifati | Tarifa residencial a aplicar al usuario del estrato i, calculada para el mes t. |
| Tarifati(0-CS) | Tarifa residencial a aplicar al estrato i, para el rango de consumo entre cero (0) y el CS, calculada para el mes t. |
| Tarifati(CS-CN) | Tarifa residencial aplicada al estrato i, para el rango de consumo entre CS y CN, calculada para el mes t. |
| Tarifati(>CN) | Tarifa residencial aplicada al estrato i, para el rango de consumo por encima de CN, calculada para el mes t. |
 | RODRIGO VILLAMIZAR A.
Ministro de Minas y Energía
Presidente | EDUARDO AFANADOR IRIARTE
Director Ejecutivo |
ANEXO II
CONSUMO DE NIVELACIÓN
Para los estratos bajo-bajo(1), bajo(2) y medio-bajo(3), los Consumos de Nivelación (CN) serán los siguientes:
Tabla. CN para estratos 1,2 y 3.
Periodo de Consumo | (kWh-mes) |
Oct/96
Nov/96
Dic/96 en adelante | 300
250
200 |
INCREMENTOS UNIFORMES Los valores ti estarán dados por :
ti= 1.0 .............................................................................si t_12 (Diciembre de 1996) ,
ti= ((1+_i )* C0n / i)((t-12)/48) ........................si 12<t< 60 y
ti= (1+_i )* C0n / i)...........................................si t>60
Los valores de i se calculan con base en las tarifas aprobadas y vigentes en agosto de 1996, expresadas en pesos de diciembre de 1995, deflactadas para tal fin con los IPP aplicables para agosto de 1996 y de diciembre de 1995 (IPPo=253.56 y IPP8=227.28 respectivamente) ; esto es :
i= Tarifa(t=8)i(0-CS)* , donde t=8 es Agosto de 1996.
 | RODRIGO VILLAMIZAR A.
Ministro de Minas y Energía
Presidente | EDUARDO AFANADOR IRIARTE
Director Ejecutivo |
 | RODRIGO VILLAMIZAR A.
Ministro de Minas y Energía
Presidente | EDUARDO AFANADOR IRIARTE
Director Ejecutivo |
|
Doble click sobre el archivo anexo para bajarlo(Resoluciones CREG) |
Doble click sobre el archivo anexo para bajarlo(Documento CREG) |
|