Publicada en el Diario Oficial No.45.952 del 27 de junio de 2005
Publicada en la Página WEB de la CREG el día 27 de junio de 2005
RESOLUCIÓN No.069
( 08 JUN. 2005 )
Por la cual se ordena hacer público un proyecto de resolución de carácter general que pretende adoptar la Comisión, por la cual se expide el Marco Regulatorio de Largo Plazo para el Servicio Público Domiciliario de Gas Licuado del Petróleo (GLP).
LA COMISIÓN DE REGULACIÓN DE ENERGÍA Y GAS
En ejercicio de sus facultades legales, en especial de las conferidas por las Leyes 142 de 1994 y en desarrollo de los Decretos 2253 de 1994 y 2696 de 2004,
C O N S I D E R A N D O:
Conforme a lo dispuesto por el artículo 9 del Decreto 2696 de 2004, la Comisión debe hacer público en su página web todos los proyectos de resoluciones de carácter general que pretenda adoptar, con las excepciones que allí se señalan, con antelación no inferior a treinta (30) días a la fecha de su expedición;
Que la Comisión de Regulación de Energía y Gas, en su sesión No. 258 del 8 de junio de 2005, aprobó hacer público el proyecto de resolución “Por la cual se expiden normas relativas a la actividad de distribución en el Servicio Público Domiciliario de Gas Licuado del Petróleo (GLP).
R E S U E L V E:
ARTÍCULO 1o. Hágase público el proyecto de resolución “Por la cual se expide el Marco Regulatorio de Largo Plazo para el Servicio Público Domiciliario de Gas Licuado del Petróleo (GLP).”
ARTÍCULO 2o. Invítase a los agentes, a los usuarios, a las Autoridades Locales Municipales y Departamentales competentes y a la Superintendencia de Servicios Públicos Domiciliarios, para que remitan sus observaciones o sugerencias sobre la propuesta, dentro de dos (2) meses siguientes a la publicación de la presente Resolución en la página Web de la Comisión de Regulación de Energía y Gas.
ARTÍCULO 3o. Infórmese en la página web la identificación de la dependencia administrativa y de las personas a quienes se podrá solicitar información sobre el proyecto y hacer llegar las observaciones, reparos o sugerencias, y los demás aspectos previstos en el artículo 10 del Decreto 2696 de 2004.
ARTÍCULO 4o. La presente Resolución no deroga disposiciones vigentes por tratarse de un acto de trámite.
PUBLÍQUESE Y CÚMPLASE
Dada en Bogotá, D.C., el día 08 JUN. 2005

ANEXO
PROYECTO DE RESOLCUIÓN
Por la cual se expide el Marco Regulatorio de Largo Plazo para el Servicio Público Domiciliario de Gas Licuado del Petróleo (GLP).
LA COMISIÓN DE REGULACIÓN DE ENERGÍA Y GAS
En ejercicio de sus facultades legales, en especial las conferidas por la Ley 142 de 1994 y de acuerdo con los Decretos 2253 de 1994, y
C O N S I D E R A N D O :
Que de conformidad con lo establecido en el Artículo 14.28 de la Ley 142 de 1994 el Servicio Público Domiciliario de Gas Combustible "es el conjunto de actividades ordenadas a la distribución de gas combustible, por tubería u otro medio, desde un sitio de acopio de grandes volúmenes o desde un gasoducto central hasta la instalación de un consumidor final, incluyendo su conexión y medición. También se aplicará esta ley a las actividades complementarias de comercialización desde la producción y transporte de gas por un gasoducto principal, o por otros medios, desde el sitio de generación hasta aquel en donde se conecte a una red secundaria";
Que de acuerdo con lo estipulado en el Artículo 74.1 de la Ley 142 de 1994, es función de la CREG "regular el ejercicio de las actividades de los sectores de energía y gas combustible para asegurar la disponibilidad de una oferta energética eficiente, propiciar la competencia en el sector de minas y energía y proponer la adopción de las medidas necesarias para impedir abusos de posición dominante y buscar la liberación gradual de los mercados hacia la libre competencia. La Comisión podrá adoptar reglas de comportamiento diferencial, según la posición de las empresas en el mercado”;
Que el Artículo 73.4 de la Ley 142 de 1994 faculta a la CREG para “fijar las normas de calidad a las que deben ceñirse las empresas de Servicios Públicos en la prestación del servicio”;
Que el Artículo 73.5 de la Ley 142 de 1994 determina que corresponde a la CREG "definir en qué eventos es necesario que la realización de obras, instalación y operación de equipos de las empresas de servicios públicos se someta a normas técnicas oficiales, para promover la competencia o evitar perjuicios a terceros, y pedirle al ministerio respectivo que las elabore, cuando encuentre que son necesarias";
Que el Artículo 67.1 de la Ley 142 de 1994 establece que es función del Ministerio de Minas y Energía “Señalar los requisitos técnicos que deben cumplir las obras, equipos y procedimientos que utilicen las empresas de servicios públicos del sector, cuando la comisión respectiva haya resuelto por vía general que ese señalamiento es realmente necesario para garantizar la calidad del servicio, y que no implica restricción indebida a la competencia”;
Que el inciso final del Artículo 73 de la Ley 142 de 1994 confiere a la CREG la “facultad selectiva de pedir información, amplia, exacta, veraz y oportuna a quienes prestan los servicios públicos a los que esta Ley se refiere”;
Que en relación con el contrato de suministro, el Código de Comercio, Artículo 978, establece que “cuando la prestación que es objeto del suministro esté regulada por el Gobierno, el precio y las condiciones del contrato se sujetarán a los respectivos reglamentos”, y en su Artículo 979 que “las personas que presten servicios públicos o tengan un monopolio de hecho o de derecho no podrán suspender el suministro a los consumidores que no estén en mora, ni aún con preaviso, sin autorización del Gobierno”;
Que de conformidad con el Artículo 9.1 de la Ley 142 de 1994, los usuarios de los servicios públicos tienen derecho a “Obtener de las empresas la medición de sus consumos reales mediante instrumentos tecnológicos apropiados, dentro de plazos y términos que para los efectos fije la comisión reguladora”;
Que la CREG expidió la Resolución CREG-074 de 1996 “por la cual se regula el Servicio Público Domiciliario de gases licuados de petróleo GLP, y se dictan otras disposiciones”;
Que la CREG por Resolución CREG-009 de febrero de 2000, “somete a consideración de los agentes y terceros interesados el marco regulatorio para el Servicio Público de Gases Licuados de Petróleo – GLP y sus actividades complementarias”
Que la CREG por Resolución CREG 086 de 20 de noviembre de 2000, “somete a consideración de los agentes y terceros interesados, el marco regulatorio para el Servicio Público Domiciliario de Gas Licuado del Petróleo y sus actividades complementarias”;
Que mediante Resolución CREG 066 de 26 de septiembre de 2002, se sometió a consideración de los agentes, usuarios y terceros interesados las bases sobre las cuales se definirá la fórmula aplicable a las diferentes actividades de la prestación del Servicio Público Domiciliario de GLP, en la cual se proponen algunas modificaciones al marco regulatorio vigente;
Que la CREG estudió las observaciones generales formuladas a las Resoluciones CREG-009 y CREG-086 de 2000 y CREG-066 de 2002 las cuales han sido consideradas en el proceso de análisis para la definición del marco regulatorio.
Que la Comisión en adición a los estudios realizados por el grupo técnico y económico, y del estudio de Fase II, contrató diferentes asesorías con el objetivo de conformar esta propuesta regulatoria, como son Desarrollo de los Estándares de Calidad del Producto y del Servicio Público Domiciliario de GLP, Alternativas de Suministro de GLP a las Islas de San Andrés y Providencia, Alternativas para la Penetración de GLP en zonas rurales, entre otros.
Que el Artículo 21 de la Ley 689 de 2001, establece que “las empresas productoras, Distribuidoras, comercializadoras y Transportadoras del GLP serán responsables por la calidad y seguridad del servicio al consumidor final”;
Que es necesario efectuar ajustes al marco regulatorio vigente para promover la competencia entre las empresas prestadoras del Servicio Público Domiciliario de GLP y para que sus operaciones “sean económicamente eficientes, no impliquen abuso de la posición dominante y produzcan servicios de calidad” de conformidad con lo dispuesto en el Artículo 73 de la Ley 142 de 1994,;
Que el Artículo 74.1 literal a) de la Ley 142 de 1994 asigna a la CREG la función de “Regular el ejercicio de las actividades de los sectores de energía y gas combustible para asegurar la disponibilidad de una oferta energética eficiente, propiciar la competencia en el sector de minas y energía y proponer la adopción de las medidas necesarias para impedir abusos de posición dominante y buscar la liberación gradual de los mercados hacia la libre competencia. La comisión podrá adoptar reglas de comportamiento diferencial, según la posición de las empresas en el mercado.”
Que el Artículo 67.2 de la Ley 142 de 1994 establece que es función de los Ministerios en relación con los servicios públicos: “Elaborar máximo cada cinco años un plan de expansión de la cobertura del servicio público que debe tutelar el ministerio, en el que se determinen las inversiones públicas que deben realizarse, y las privadas que deben estimularse.”
Que la CREG, en su sesión No. 226 del 13 de noviembre de 2003 acordó someter a consideración de los agentes, usuarios y terceros interesados la Resolución CREG 109 de 2003 que contiene la propuesta de marco regulatorio para el Servicio Público Domiciliario de Gas Licuado del Petróleo (GLP), con fundamento en los análisis que se indican en el Documento CREG-084 de 2003;
Que durante el año 2004 la CREG realizó cinco talleres de discusión de la propuesta regulatoria, con la industria, usuarios y terceros interesados, y recibió comentarios, que fueron analizados con el propósito de presentar esta nueva propuesta regulatoria.
Que mediante Resolución CREG 022 de 2005 se ordena hacer público el proyecto de resolución “Por el cual se expiden normas relativas a la actividad de distribución del Servicio Público Domiciliario de GLP” la cual consagra como canales de distribución válidos los expendios y los puntos de venta autorizados.
Que en razón a que el tema que trata la Resolución CREG 022 de 2005 hace parte integral del Marco Regulatorio de Largo Plazo para el Servicio Público Domiciliario de Gas Licuado del Petróleo (GLP), el contenido de la misma se incorpora a la presente Resolución.
Que la CREG, en su sesión No. 257 del 24 de mayo de 2005 decidió hacer público el proyecto de Resolución que contiene la propuesta de marco regulatorio para el Servicio Público Domiciliario de Gas Licuado del Petróleo (GLP), con fundamento en los análisis que se indican en el Documento CREG-040 de 2005;
R E S U E L V E:
CAPÍTULO I
DEFINICIONES
ARTÍCULO 1º. Para efectos de la presente Resolución y de las demás normas regulatorias que desarrollen aspectos relacionados con el Servicio Público Domiciliario de Gas Licuado del Petróleo GLP o sus actividades complementarias, se aplicarán las siguientes definiciones:
Almacenador: Persona que ejecuta la actividad de almacenamiento de GLP.
Almacenamiento: Actividad que consiste en almacenar GLP a granel y al por mayor para respaldar la operación técnica y comercial de los agentes de la cadena a fin de garantizar la entrega oportuna y confiable del producto al Usuario Final.
Cilindro portátil: Recipiente utilizado en la prestación del servicio de Gas Licuado de Petróleo para el envase, traslado y entrega de GLP al Usuario Final y que por su tamaño y peso puede manejarse manualmente, sus características técnicas serán las establecidas en el Reglamento Técnico vigente expedido por el Ministerio de Minas y Energía.
Comercialización de GLP: Actividad consistente en el suministro de GLP al por mayor y a granel, con destino al Servicio Público Domiciliario de Gas Combustible.
Comercializador de GLP: Empresa de servicios públicos, salvo lo dispuesto en el Artículo 15.2 de la Ley 142 de 1994, cuya actividad es la comercialización de GLP, producido y/o importado directamente o por terceros, a distribuidores de GLP, otros comercializadores y usuarios no regulados.
Depósito de cilindros de GLP: Centro de acopio, destinado al almacenamiento de cilindros portátiles de GLP como mecanismo operativo de la actividad de distribución a usuarios finales. Sus características técnicas deben corresponder a las establecidas en el Reglamento Técnico vigente expedido por el Ministerio de Minas y Energía.
Distribución de GLP: Actividad que comprende las sub-actividades de flete, envasado de cilindros o llenado de carrotanques y comercialización a usuario final, en cilindros portátiles o en tanques estacionarios.
Envasado de cilindros de GLP: Actividad que consiste en llenar un cilindro portátil con GLP en una Planta Envasadora. Esta actividad incluye la revisión de los cilindros, con sujeción al Reglamento Técnico vigente del Ministerio de Minas y Energía, y drenaje de los mismos.
Flete: Actividad que consiste en el Traslado de GLP a granel entre terminales de entrega del producto y plantas envasadoras, y el traslado de GLP en cilindros o carrotanques entre la planta envasadora y los municipios atendidos.
Comercialización de GLP a Usuario Final: Actividad que consiste en la entrega de GLP en el domicilio del usuario final en cilindros portátiles y tanques estacionarios. Incluye la medición, facturación, servicio técnico, atención de emergencias y el servicio comercial. Cuando la comercialización de GLP se realiza a través de redes locales de gasoductos está sujeta a la Resolución CREG 011 de 2003, o aquella que la modifique o sustituya.
Distribuidor de GLP: Es la empresa de servicios públicos domiciliarios que realiza la actividad de distribución de GLP a usuarios finales.
Expendio de Cilindros de GLP: Instalación dedicada exclusivamente a la venta de cilindros portátiles de GLP a usuarios finales para garantizar la continuidad en la prestación del Servicio Público Domiciliario de GLP.
Punto de Venta de Cilindros de GLP: Instalación para la venta de cilindros portátiles de GLP a usuarios finales, localizada dentro de los predios de otra instalación no dedicada exclusivamente a esa actividad, y que por sus condiciones técnicas y de seguridad el Ministerio de Minas y Energía lo autoriza.
Gas Licuado del Petróleo (GLP): Mezcla de hidrocarburos livianos constituida principalmente por propano y butanos.
Planta de Almacenamiento de GLP: Infraestructura física de la cual dispone un Almacenador para prestar el servicio de almacenamiento. Sus características técnicas se establecen en el Reglamento Técnico vigente expedido por el Ministerio de Minas y Energía.
Planta de Envasado de GLP: Infraestructura física de la cual dispone un Distribuidor para envasar GLP y/o cargar carrotanques destinados a servir tanques estacionarios de Usuarios Finales y comprendida en un solo perímetro. Sus características técnicas se establecen en el Reglamento Técnico vigente expedido por el Ministerio de Minas y Energía.
Punto de Recibo del Transportador: Punto físico en el cual se realiza la transferencia de custodia del producto del Comercializador al Transportador. Este punto está provisto de una válvula de corte y un equipo de medición.
Punto de Entrega del Transportador: Punto físico en el cual existe una válvula de corte y un equipo de medición y se realiza la transferencia de custodia del producto del Transportador al Distribuidor.
Infraestructura de Importación: Infraestructura física requerida para la importación de GLP, respecto de la cual se debe garantizar el libre acceso.
Remitente: Distribuidor, Comercializador o Usuario No Regulado que utiliza el servicio de transporte, responsable de la nominación del producto y de la coordinación para la transferencia de custodia.
Sistema de Transporte: Conjunto de ductos adecuados y equipados debidamente para realizar el transporte de GLP entre un Punto de Recibo y un Punto de Entrega del Transportador.
Tanque Estacionario: Recipiente utilizado en la prestación del servicio público domiciliario de Gas Licuado del Petróleo, llenado en el sitio de consumo y que permite abastecer uno o más usuarios finales. Sus características técnicas se establecen en el Reglamento Técnico vigente expedido por el Ministerio de Minas y Energía.
Terminal. Punto físico en el cual el Distribuidor recibe el producto, localizado en los puntos de producción y/o importación de un Comercializador, o en el Punto de Entrega de un Transportador.
Transportador de GLP: Empresa de servicios públicos domiciliarios, salvo lo dispuesto en el Artículo 15.2 de la Ley 142 de 1994, que realiza la actividad de transporte de GLP.
Transporte de GLP: Actividad complementaria del Servicio Público Domiciliario de GLP que consiste en movilizar grandes cantidades de GLP a granel a través de un Sistema de Transporte, entre un Punto de Recibo y un Punto de Entrega del Transportador.
Usuario no Regulado: Persona natural o jurídica cuyo consumo promedio aritmético mensual de los últimos doce meses es igual o superior a 20.000 galones (40.000 kilogramos), y que por esta razón puede comprar GLP, para su propio consumo, a Comercializadores o Distribuidores a precios pactados libremente.
Usuario Regulado: Persona natural o jurídica usuaria del Servicio Público Domiciliario de GLP, cuyo costo de prestación del servicio está regulado por la CREG.
CAPÍTULO II
ASPECTOS GENERALES
ARTÍCULO 2º. Ámbito de Aplicación. Esta Resolución se aplica a todas las personas que desarrollan las actividades de la cadena de prestación del Servicio Público Domiciliario de Gas Licuado del Petróleo y a los usuarios del mismo.
ARTÍCULO 3º. Inicio de Actividades. De conformidad con el Artículo 11.8 de la Ley 142 de 1994, todas las personas que vayan a prestar el Servicio Público Domiciliario de GLP deben informar el inicio de sus actividades a la CREG, para lo cual deberán aportar, sin perjuicio de las demás obligaciones de registro que deban cumplir, la siguiente información en medio impreso:
a) Copia de los estatutos sociales.
b) Original del Certificado de Existencia y Representación Legal.
c) Copia de los Estados Financieros al momento de su constitución.
d) Composición accionaria de la empresa de acuerdo con los formatos establecidos para tal fin.
e) Listado de instalaciones y activos asociados con la prestación del servicio, reportados de acuerdo con los formatos establecidos para tal fin en el Sistema Único de Información.
f) Copia de los permisos otorgados por las autoridades municipales o distritales para cada instalación reportada, de conformidad con lo dispuesto en el Artículo 22 de la Ley 142 de 1994.
g) Copia de las Certificaciones de Gestión de la Calidad en las que se incluyan específicamente los procesos que determine la regulación de la CREG y
h) Copia de la certificaciones exigidas por el Ministerio de Minas y Energía en su reglamento técnico o demás Ministerios competentes.
Parágrafo 1º. Para efectos del pago de la contribución especial de que trata el Artículo 85 de la Ley 142 de 1994, las empresas deberán reportar toda la información solicitada a través de los aplicativos del SUI diseñados para tal fin.
Parágrafo 2º. Las modificaciones de la información solicitada en este Artículo, deberán ser reportadas de manera inmediata a la CREG.
ARTÍCULO 4º. Libre Acceso a los Sistemas de Transporte y a la Infraestructura de Importación. De conformidad con el Artículo 11.6 de la Ley 142 de 1994 y el Artículo 13 de la Ley 681 de 2001, es obligación de los propietarios y/o operadores de los sistemas de transporte, almacenamiento e infraestructura de importación de GLP, facilitar el libre acceso de otros agentes a tales bienes, mediante el pago de los cargos por uso de las redes de transporte, almacenamiento y de la infraestructura de importación establecidos por la CREG, según sea el caso.
Parágrafo 1o. Los cargos por uso de la infraestructura de importación serán acordados libremente entre las partes y estarán bajo el régimen de libertad vigilada, para lo cual deberán tener en cuenta lo establecido en el Artículo 7º. de esta Resolución sobre prevención de abuso de posición dominante y protección a la competencia, o aplicarán los que establezca el Ministerio de Minas y Energía para la importación de combustibles líquidos. En todo caso, en los contratos que se celebren para el acceso a la infraestructura de importación deberá incluirse una cláusula de ajuste regulatorio.
ARTÍCULO 5º. Separación de Actividades y Concentración del Mercado. A partir de la vigencia de esta Resolución, las empresas que realicen una actividad de la cadena de prestación del Servicio Público Domiciliario de GLP no podrán desarrollar de manera integrada las demás actividades de la cadena de prestación del servicio. Por otra parte, ninguna empresa que realice una actividad de la cadena puede poseer de manera directa, ni a través de sus empresas subordinadas o controlantes, más del 25% del capital social de otra empresa que realice otra actividad de la cadena.
Parágrafo 1º. Las empresas que a la fecha de entrada en vigencia de esta Resolución no cumplan con las condiciones establecidas en este artículo, de manera inmediata deben ajustar sus procedimientos para llevar contabilidad separada para cada una de las actividades que se desarrollen integradamente.
Parágrafo 2º. En Resolución aparte, la CREG establecerá las condiciones y límites de concentración del mercado.
ARTÍCULO 6º. Prevención de Abuso de Posición Dominante y Protección a la Competencia. De conformidad con los Artículos 11.1 y 11.2 de la Ley 142 de 1994, las empresas prestadoras del Servicio Público Domiciliario de GLP tienen la obligación de asegurar que el servicio se preste sin abuso de la posición dominante que puedan tener frente a usuarios o terceros o frente a otros prestadores, y abstenerse de prácticas restrictivas de la competencia.
Las empresas no restringirán, distorsionarán o evitarán la competencia en las actividades del Servicio Público Domiciliario de GLP de conformidad con lo dispuesto en la Ley 155 de 1959, Decreto 2153 de 1992, y en las leyes 142 de 1994 y 256 de 1996, o aquellas que las modifiquen, complementen o sustituyan. Las empresas no podrán restringir la competencia ni abusar de su posición dominante, en la celebración de contratos, de acuerdo con lo previsto en los Artículos 34 y 133 de la Ley 142 de 1994.
ARTÍCULO 7º. Información. De conformidad con el Artículo 73 de la Ley 142 de 1994, la Resolución CREG-064 de 1998 y demás normas que la modifiquen o sustituyan, las empresas prestadoras del Servicio Público Domiciliario de GLP deberán reportar de manera completa, veraz y oportuna la información que se solicite por medio del SUI, circulares generales o solicitudes individuales, a través de los aplicativos que se diseñen para tal fin.
ARTÍCULO 8º. Control. Las empresas prestadoras del Servicio Público Domiciliario de GLP están obligadas a facilitar el acceso a sus instalaciones de los funcionarios de los organismos oficiales de inspección, control y vigilancia, así como otras autoridades municipales o distritales, con el fin de comprobar el cumplimiento de lo establecido en la presente Resolución y demás normas expedidas por autoridades competentes.
ARTÍCULO 9º. Sanciones. El incumplimiento de las normas contenidas en esta Resolución y demás resoluciones relacionadas con la prestación del Servicio Público Domiciliario de GLP, se sancionará por parte de la autoridad competente, conforme a las previsiones establecidas en la legislación aplicable.
CAPÍTULO III
DE LAS OBLIGACIONES DE LOS AGENTES
ARTÍCULO 10º. Obligaciones Generales. Los agentes que realicen alguna de las actividades de la cadena de prestación del Servicio Público Domiciliario de GLP, además del cumplimiento de las normas vigentes que les apliquen deberán:
a. Estar debidamente registrados ante la Superintendencia de Servicios Públicos Domiciliarios y ante la CREG.
b. Contar con los permisos otorgados por las autoridades competentes, de conformidad con lo dispuesto en el Artículo 22 de la Ley 142 de 1994.
c. Prestar el correspondiente servicio en forma continua, eficiente y segura.
d. Llevar registros contables que reflejen en forma confiable y fidedigna sus operaciones, de acuerdo con las normas expedidas por las autoridades competentes.
e. Cumplir con las normas establecidas por las autoridades competentes para la protección, la conservación o recuperación de los recursos naturales o ambientales que sean utilizados en sus actividades, especialmente en el manejo y disposición de residuos líquidos.
f. Cumplir con las reglamentaciones técnicas y de seguridad para la prestación del servicio, expedidas por las autoridades competentes.
g. Cumplir con la regulación de calidad del producto y del servicio definida por la CREG.
h. Abstenerse de discriminar entre clientes y/o usuarios con características similares.
i. Aplicar el régimen tarifario establecido por la CREG para determinar los precios máximos de suministro y entrega de GLP.
j. Utilizar sistemas de medición confiables para la entrega de GLP, haciendo las correcciones por presión y temperatura en caso de ser necesarias.
k. Reportar de manera completa, oportuna y veraz la información requerida por las autoridades de regulación, control y vigilancia a través de los aplicativos que se diseñen para tal fin.
l. Obtener las certificaciones exigidas en la reglamentación vigente.
ARTÍCULO 11º. Obligaciones Específicas de los Comercializadores. Los Comercializadores, además de las obligaciones generales establecidas en el Artículo 10o de esta Resolución, deberán cumplir las siguientes obligaciones específicas:
a) Vender el GLP, a granel y al por mayor, únicamente a otros Comercializadores, a Usuarios No Regulados y a Distribuidores, a través de mecanismos que garanticen la transparencia, el libre acceso y la no discriminación de compradores.
b) Para sus transacciones comerciales, verificar que los agentes Comercializadores se encuentren debidamente constituídos como empresas de servicios públicos y registrados ante la Superintendencia de Servicios Públicos Domiciliarios; que los distribuidores, además del requisito anterior, cuenten con las certificaciones de gestión de calidad que les exige la regulación y las certificaciones exigidas por el Ministerio de Minas y Energía en su Reglamento Técnico y demás autoridades competentes; y que los usuarios no regulados demuestren su condición en los términos exigidos en la presente resolución.
c) Implementar un sistema de información electrónico a través de Internet, en línea, de acceso libre y de carácter permanente a distribuidores y a usuarios No regulados, con el objeto de ofertar el volumen de GLP disponible para comercialización en cada punto de producción y/o importación para los seis meses siguientes a la fecha de reporte. Este sistema debe disponer además de información relacionada con el volumen de GLP contratado y demás información que disponga la CREG en el Reglamento de Comercialización.
d) Celebrar contratos escritos de suministro con los Distribuidores, , de acuerdo con lo dispuesto en el Capítulo V de esta Resolución.
e) Celebrar contratos escritos de transporte, de acuerdo con lo dispuesto en el Capítulo V de esta Resolución, en el caso de que en el contrato de suministro se acuerde la entrega del producto en un punto de entrega de un transportador.
f) Vender GLP a Usuarios No Regulados y otros Comercializadores a precios y condiciones acordadas libremente entre las partes.
g) Entregar de manera oportuna y confiable los volúmenes de GLP, de acuerdo con las condiciones pactadas en los contratos de suministro.
h) Disponer de los equipos de medida necesarios para realizar la entrega del producto a distribuidores y/o transportadores, y permitirles el acceso a sus procedimientos de medición y calibración en caso de que así lo soliciten.
Parágrafo 1. Para demostrar la condición de Usuario No Regulado, éste último debe identificar la planta de almacenamiento mediante la cual se servirá para su proceso industrial demostrando el cumplimiento de la reglamentación técnica vigente en los términos que establezca el Ministerio de Minas y Energía, y demostrar además que sus procesos industriales requieren el GLP combustible en cantidades iguales o mayores a las establecidas en esta resolución.
Artículo 12º. Obligaciones Específicas de los Transportadores. Además del cumplimiento de las normas vigentes aplicables y de las obligaciones contenidas en el Artículo 10o de la presente Resolución, los Transportadores deberán cumplir con lo siguiente:
a) Celebrar contratos escritos de transporte con los Remitentes, de conformidad con las disposiciones previstas en el Capítulo V de esta resolución.
b) Entregar de manera oportuna y confiable los volúmenes de GLP, de acuerdo con las condiciones de tiempos y cantidades de entrega pactadas en los contratos de transporte, garantizando flujo continuo de producto en cada terminal de tal manera que los volúmenes equivalentes a una entrega diaria y permanente del producto contratado permanezcan disponibles en cada terminal.
c) Respaldar contractualmente la entrega de GLP en Terminales a través de la capacidad de transporte o capacidad de almacenamiento.
d) Implementar un sistema de información electrónico a través de Internet, de acceso libre, en línea y de carácter permanente a Distribuidores, Comercializadores y Usuarios No Regulados Este sistema debe disponer de información relacionada con:
· Capacidad de transporte total por tramo
· Capacidad de transporte contratada por tramo
· Capacidad de transporte disponible por tramo.
· Volumen total transportado diariamente por tramo.
· Solicitudes del servicio, incluyendo volúmenes y tramos.
· Y demás información que establezca la CREG.
e) Disponer de los equipos de medida necesarios para realizar la entrega del producto a distribuidores y/o usuarios no regulados, y permitirles el acceso a sus procedimientos de medición y calibración en caso de que así lo soliciten.
CAPÍTULO IV
DE LAS OBLIGACIONES ESPECIFICAS DE LOS DISTRIBUIDORES
Artículo 14º. Obligaciones Específicas de los Distribuidores. Además del cumplimiento de las normas vigentes aplicables y de las obligaciones generales contenidas en el Artículo 10º de la presente Resolución, los Distribuidores de GLP deberán cumplir con lo siguiente:
a) Celebrar contratos escritos de suministro con los Comercializadores, de acuerdo con lo dispuesto en el Capítulo V de esta Resolución.
b) Celebrar contratos escritos de transporte, de acuerdo con lo dispuesto en el Capítulo V de esta Resolución, salvo que en el contrato de suministro se acuerde la entrega del producto en un punto de entrega de un transportador.
c) Definir las condiciones uniformes de los contratos de prestación del servicio a usuarios finales
d) Llevar a cabo la actividad de distribución de GLP, desde los terminales hasta el suministro a Usuario Final.
e) Realizar la actividad de flete de GLP con sujeción a lo establecido en la reglamentación vigente sobre manejo y transporte de mercancías peligrosas del Ministerio de Transporte.
f) Contar con una certificación de gestión de calidad para el proceso de envasado de cilindros portátiles, de acuerdo con la reglamentación técnica del Ministerio de Minas y Energía.
g) Abstenerse de envasar y comercializar GLP a usuario final través de cilindros que no cumplan con las normas técnicas y de seguridad vigentes. Estos deberán ser retirados del mercado y enviados para su mantenimiento o destrucción y reposición, de acuerdo con lo establecido por la normatividad vigente.
h) Dar cumplimiento a la regulación específica sobre reposición y mantenimiento de cilindros.
i) Abstenerse de envasar cilindros cuyo peso no coincida con el de su tara grabada. En este caso deberá disponerlo de manera inmediata para su reposición.
j) Drenar los residuos líquidos de cada cilindro antes de llenarlo con GLP.
k) Abstenerse de trasvasar o transferir GLP entre Cilindros, entre Cisternas y entre Cisternas y Cilindros, con excepción de las operaciones de emergencia que haya necesidad de realizar por condiciones de seguridad. En estos casos, el trasvase se hará con el equipo adecuado y de acuerdo con el procedimiento establecido por las normas y reglamentos de la empresa Distribuidora. Estas operaciones sólo se podrán llevar a cabo en las plantas envasadoras.
l) Manejar y disponer de los residuos líquidos recuperados de los cilindros portátiles y de los tanques estacionarios atendidos, con sujeción a las normas técnicas vigentes sobre protección ambiental establecidas por el Ministerio del Medio Ambiente o demás autoridades competentes.
m) Asegurar que todo cilindro que entregue a los usuarios esté provisto de un sello de seguridad en la válvula, que identifique plenamente al Distribuidor, de manera que no se pueda alterar el contenido de GLP envasado sin dañar el sello y de acuerdo con las especificaciones técnicas establecidas en el reglamento técnico vigente expedido por el Ministerio de Minas y Energía.
n) Mantener pólizas vigentes de seguros de responsabilidad civil extracontractual, expedidas por compañías de seguros establecidas legalmente en el país y de acuerdo con los reglamentos y normas de la Superintendencia Bancaria, que cubran los daños a terceros en sus bienes y personas originados por sus actividades. Estas pólizas deberán cubrir como mínimo los siguientes montos expresados en salarios mínimos legales mensuales vigentes a la fecha de tomar o renovar la póliza:
Por Planta Envasadora: 600 S.M.L.M.V
Por Depósito de cilindros: 150 S.M.L.M.V
Por Expendio de cilindros: 150 S.M.L.M.V
En todo caso su cubrimiento real debe responder a la evaluación real del riesgo por parte de la empresa.
Los montos de las pólizas de responsabilidad civil extracontractual para los vehículos dedicados a fletar, trasladar y entregar GLP a usuarios finales, serán los establecidos por el Ministerio de Transporte en su reglamentación de manejo y transporte de mercancías peligrosas.
o) Realizar la comercialización a usuario final a través de mecanismos eficientes y modernos que garanticen que los cilindros en tránsito que se encuentren en un camión repartidor tengan un destinatario final identificado, bien sea un usuario final, un expendio o punto de venta o un depósito predeterminado.
p) Cuando comercializa GLP a usuario final a través de cilindros o a través de cisternas para abastecer tanques estacionarios, realizar el traslado y entrega de GLP con sujeción a lo establecido en la reglamentación vigente sobre manejo y transporte de mercancías peligrosas del Ministerio de Transporte.
q) Cuando se trate de suministro de GLP mediante cilindros, disponer de básculas que permitan al usuario verificar el peso del cilindro entregado.
r) Realizar la comercialización de GLP a usuarios finales únicamente con personal y vehículos plenamente identificados con el nombre de la empresa Distribuidora, el número de teléfono de atención al cliente y el de atención de emergencias
s) Responder ante usuarios finales, por el cumplimiento de las especificaciones técnicas y de seguridad de los cilindros que envasen, así como de la cantidad y calidad del gas suministrado, de acuerdo con lo establecido en el Capítulo VI de esta Resolución.
t) Sustituir, a solicitud de los usuarios y sin costo o recargo de ninguna naturaleza, los cilindros que habiendo sido suministrados por el Distribuidor, no cumplan con las normas técnicas y de seguridad vigentes.
u) Entregar al usuario, con cada suministro de producto, una factura numerada en la cual se relacione como mínimo:
· Número de orden de pedido y fecha de solicitud
· Fecha del suministro del producto,
· Empresa que lo suministra,
· Tipo, cantidad y NIF de cada uno de los cilindros suministrados
· Valor por unidad y total a pagar
· Cargos unitarios que componen el precio aplicado al Usuario Final.
Parágrafo. Para efectos de vigilancia y control, los distribuidores deberán guardar copia de la facturación expedida de por lo menos los últimos tres años.
Artículo 15º. Obligaciones Especiales de los Distribuidores cuando realizan la distribución a través de tanques estacionarios. Además del cumplimiento de las normas vigentes que les apliquen, de las obligaciones generales contenidas en el Artículo 12º de la presente Resolución y las obligaciones especificas contenidas en el Artículo 16 de esta Resolución, los Distribuidores de GLP a través de tanques estacionarios deberán cumplir con lo siguiente:
a) Verificar que se hayan ejecutado por parte de los propietarios de los tanques estacionarios, las inspecciones determinadas en el reglamento técnico vigente expedido por el Ministerio de Minas y Energía.
b) Abstenerse de distribuir GLP a través de tanques estacionarios que no cumplan con las normas técnicas y de seguridad vigentes e informar a los propietarios sobre la obligación de programarlos para su mantenimiento o reposición, aplicando la regulación vigente al respecto.
c) Retirar, mediante la aplicación de procedimientos técnicos que garanticen la seguridad, los residuos no vaporizables acumulados en los tanques estacionarios atendidos por el Distribuidor, cuando las condiciones operativas del mismo así lo requieran.
d) Medir, mediante medidores individuales, el consumo de gas de cada usuario conectado al tanque estacionario.
e) Facturar a cada usuario conectado al tanque estacionario y con base en los consumos reales individuales leídos en el medidor individual. Los períodos de facturación para los usuarios pueden corresponder con la frecuencia de suministro al tanque estacionario correspondiente y deberán estar definidos en el contrato de condiciones uniformes.
f) Entregar una factura numerada a cada usuario conectado al tanque atendido por el Distribuidor, en la cual se relacione como mínimo la siguiente información:
· Empresa prestadora del servicio,
· Nombre del suscriptor y dirección del inmueble receptor del servicio
· Período por el cual se cobra el servicio,
· Consumo correspondiente a ese período,
· Lectura anterior y actual del medidor de consumo,
· Factor de conversión de líquido a gas, Fv, estimado de acuerdo con el procedimiento establecido en el Artículo 40º de la Resolución CREG-011 de 2003 o demás normas que lo modifiquen o sustituyan.
· Fechas máximas de pago oportuno, fecha de suspensión y/o corte del servicio.
· Valor total de la factura.
· Cargos unitarios que componen el precio aplicado al Usuario Final.
· NIF identificador del tanque del cual se sirve el Usuario Final.
Parágrafo. Para efectos de vigilancia y control, los distribuidores deberán guardar registros de la facturación expedida de por lo menos los últimos tres años.
Artículo 16º. Depósitos de Cilindros Portátiles de GLP. Los Distribuidores, bajo su única responsabilidad, podrán instalar y operar depósitos para el almacenamiento de cilindros que hagan más eficiente el traslado y entrega de los cilindros portátiles a usuarios finales y/o expendios. Sus características deben ceñirse a los dispuesto en el Reglamento Técnico vigente expedido por el Ministerio de Minas y Energía.
Los Distribuidores serán responsables por los daños que se puedan ocasionar por la operación de sus depósitos.
ARTÍCULO 17º. Expendios de Cilindros Portátiles de GLP. Únicamente los distribuidores de GLP, bajo su exclusiva responsabilidad, podrán instalar y operar expendios que deben cumplir con las siguientes condiciones:
· Se dedican exclusivamente a la venta del cilindros portátiles de GLP en las cantidades y capacidades que determine el Ministerio de Minas y Energía en el Reglamento Técnico vigente.
· Sus características técnicas y de operación segura son las exigidas por las disposiciones del Reglamento Técnico vigente expedido por el Ministerio de Minas y Energía.
· Cuentan con un Programa de Seguridad Industrial que contiene un Plan de Atención de Emergencias y los demás requisitos establecidos en el Reglamento Técnico vigente expedido por el Ministerio de Minas y Energía
· Previamente a su operación, deben disponer de todas las autorizaciones establecidas por las autoridades competentes.
· El distribuidor responsable del expendio debe trasladar en forma segura el cilindro hasta el domicilio del usuario final.
· La venta de cilindros de GLP a través de expendios no exime al distribuidor de ninguna de las obligaciones especificas que le establece la regulación para la prestación del servicio en cilindros.
Parágrafo. Los expendios de que trata la Resolución CREG 074 de 1996, instalados a la fecha de expedición de esta resolución con el lleno de los requisitos técnicos establecidos en la Resolución 80505-97 del Ministerio de Minas y Energía, tendrán un período de un (1) año para ajustarse a lo dispuesto en la presente Resolución.
ARTÍCULO 18º. Puntos de venta de Cilindros Portátiles de GLP. Únicamente los distribuidores de GLP, bajo su exclusiva responsabilidad, podrán distribuir cilindros en puntos de venta de cilindros de GLP, sin perjuicio de las obligaciones especificas que le corresponden cuando presta el servicio de distribución de GLP a través de cilindros. Estos puntos de venta deberán cumplir con lo dispuesto en el Reglamento Técnico vigente expedido por el Ministerio de Minas y Energía.
Parágrafo. El distribuidor responsable del Punto de Venta debe trasladar en forma segura el cilindro hasta el domicilio del usuario final. La venta de cilindros de GLP a través de Puntos de Venta no exime al distribuidor de ninguna de las obligaciones especificas que le establece la regulación para la prestación del servicio en cilindros.
ARTÍCULO 19º. Pruebas, Revisiones e Inspección de Instalaciones. Cuando el servicio se preste en cilindros entregados en el domicilio del Usuario Final, el Distribuidor deberá verificar, antes de suministrar el servicio, que la conexión del cilindro cumple con la normatividad técnica vigente expedida por el Ministerio de Minas y Energía.
Cuando se preste a través de red interna servida por un tanque estacionario o un cilindro el Distribuidor deberá verificar, antes de suministrar el servicio, que la instalación interna cumple con los requisitos de certificación exigidos por la Superintendencia de Industria y Comercio en la Resolución 14471 de 2002 o aquella que la modifique o sustituya.
ARTÍCULO 20o. Instrucción a Usuarios. Los Distribuidores deben instruir a sus usuarios sobre el manejo y los riesgos que representa el uso del GLP y sobre las medidas que se deben adoptar en caso de una emergencia relacionada con el uso del GLP. La instrucción a usuarios debe comprender como mínimo la elaboración de cartillas instructivas y la inclusión de notas informativas de seguridad en las facturas que se expidan.
ARTÍCULO 21o. Servicio de Atención de Emergencias. Los Distribuidores deberán contar con un servicio de atención de emergencias con acceso 24 horas del día, dotado de líneas telefónicas atendidas por personal calificado para instruir al usuario sobre las medidas inmediatas que debe adoptar en caso de emergencia. El Servicio de Atención de Emergencias deberá estar organizado, de manera que el tiempo transcurrido entre el reporte de la emergencia y la presencia del equipo de atención en el lugar de la misma sea inmediato y cumpla con los requisitos que establezcan las autoridades competentes. Este servicio deberá ser informado a través de las facturas y otros medios de amplia divulgación.
El Servicio de Atención de Emergencias deberá mantener contacto permanente con las autoridades locales, especialmente con el Cuerpo de Bomberos y la Defensa Civil, para actuar en forma coordinada en la atención de emergencias relacionadas con GLP. Por lo menos una vez al año se deberá realizar en cada municipio un simulacro conjunto de atención de emergencias entre los Distribuidores que lo atienden y las mencionadas autoridades y reportarlo a la Superintendencia de Servicios Públicos Domiciliarios.
Este servicio deberá contar con un manual de procedimientos para la atención de emergencias y deberá llevar un registro de las emergencias presentadas, indicando claramente la fecha, tiempo de atención, causa y las medidas adoptadas en cada caso.
Parágrafo. Los Distribuidores podrán establecer servicios de atención de emergencias conjuntos, sin perjuicio de la responsabilidad individual de cada Distribuidor.
ARTÍCULO 22o. Oficina de Peticiones, Quejas y Recursos. Los Distribuidores deberán contar con oficinas de peticiones, quejas y recursos, tal como está establecido en los Artículos 153 y siguientes de la Ley 142 de 1994.
Dichas oficinas deberán llevar un registro detallado de las peticiones, quejas y recursos presentados por los usuarios y del tramite y las respuestas que dieron a las mismas.
ARTÍCULO 23o. Línea de atención al cliente. Los Distribuidores deberán contar como mínimo con una línea de atención inmediata al cliente, en el área de influencia de las regiones atendidas, que garantice su adecuada atención, la cual deberá ser informada a través de las facturas y otros medios de amplia divulgación. Esta línea deberá tener conexión continua con la línea de atención de emergencias.
CAPITULO V
DE LOS CONTRATOS EN EL SERVICIO PÚBLICO DOMICILIARIO DE GLP
ARTICULO 24º. Contrato de Suministro de GLP entre Comercializadores y Distribuidores. El Comercializador deberá celebrar un contrato de suministro escrito con el Distribuidor, que garantice la prestación del servicio en forma eficiente, continua y segura y la no discriminación entre compradores, los cuales deberán estipular, por lo menos:
a) Nombre de las partes contratantes
b) Período de ejecución del contrato
c) Volúmenes diarios de GLP contratados y su equivalente en MBTU
d) Tiempos, sitios y cantidades de entrega
e) Procedimientos de nominación de acuerdo con la forma de entrega
f) Procedimientos de medición
g) Procedimientos aplicables para la verificación de la calidad del producto
h)
i) Precios de suministro
j) Forma de pago
k) Procedimiento de facturación
l) Garantías de pago que sean neutrales frente a una misma valoración del riesgo.
m) Cláusulas y pólizas de cumplimiento.
n) Cláusula de ajuste regulatorio.
Parágrafo 1o. Transcurridos tres (3) meses a partir de la entrada en vigencia de la Resolución que establezca el Reglamento de Comercialización de GLP, sólo se podrá suministrar éste a Distribuidores cuando exista un contrato celebrado en los términos establecidos en el presente artículo.
ARTÍCULO 25º . Contrato de Transporte. El transporte de GLP deberá estar respaldado mediante un contrato escrito entre el Transportador y el remitente.
El contrato deberá contener como mínimo la siguiente información:
§ Nombre de las partes contratantes
§ Volumen de GLP objeto del contrato de transporte
§ Punto de entrada del producto al sistema de transporte
§ Punto de entrega del producto
§ Volumen equivalentes de entrega diaria de producto
§ Tiempos y cantidades de entrega
§ Procedimientos de medición
§ Procedimientos de facturación
§ Procedimientos de nominación
§ Cláusula de ajuste regulatorio
ARTÍCULO 26º. Contrato de Almacenamiento. El almacenamiento que requiera el Comercializador para garantizar la confiabilidad en el suministro o el Transportador para garantizar la entrega de GLP en Terminal, deberá estar respaldado por un contrato escrito entre el Almacenador y el Comercializador o el Transportador, según corresponda. .
En el contrato de Almacenamiento se deben pactar como mínimo las siguientes condiciones:
§ Nombre de las partes contratantes
§ Fecha de inicio del contrato
§ Fecha de finalización del contrato
§ Capacidad de almacenamiento contratada
§ Tiempos, cantidades y modos de recibo del producto del Comercializador, del Transportador o del Distribuidor
§ Tiempos, cantidades y modos de entrega del producto
§ Precios del servicio de almacenamiento
§ Forma de pago, garantías y pólizas de cumplimiento correspondientes
§ Procedimientos de medición
§ Procedimiento de facturación
§ Cláusula de ajuste regulatorio
ARTÍCULO 27o. Contrato de Servicios Públicos. La relación entre el Distribuidor y el Usuario Final, se regirá por el contrato de servicios públicos, de carácter uniforme y consensual al que hace referencia el Artículo 128 y siguientes de la Ley 142 de 1994. En virtud de este contrato el Distribuidor suministra GLP a un Usuario Final, a cambio de un precio en dinero y de acuerdo con las estipulaciones previamente definidas por el Distribuidor para ofrecerlo a muchos usuarios no determinados. El precio del suministro será el resultante de aplicar el régimen tarifario establecido por la CREG.
El contrato de servicios públicos deberá contener como mínimo lo siguiente: identificación de la empresa oferente, determinación del servicio ofrecido, obligaciones, deberes y derechos de cada una de las partes, niveles de calidad con que se prestará el servicio, tiempos de suministro cuando el servicio sea prestado en el domicilio del usuario final, responsabilidades y derechos de cada una de las partes en caso de incumplimiento de las obligaciones contractuales de la otra parte, causas por las cuales la empresa o el usuario pueden dar por terminado el contrato, trámite que se dará a los recursos que presente el usuario y dependencia encargada de resolverlos. El Distribuidor deberá informar, con tanta amplitud como sea posible en el área donde presta sus servicios, acerca de las condiciones uniformes del contrato que ofrece y deberá disponer siempre de copias para los usuarios que lo soliciten.
Es de la esencia del contrato de servicios públicos que el usuario pueda presentar a la empresa peticiones, quejas y recursos relativos al contrato de servicios públicos.
Parágrafo 1º. Para el caso de suministro de GLP en tanques estacionarios el contrato deberá determinar los períodos de facturación.
Parágrafo 2º. Un incumplimiento en el suministro por parte del Distribuidor se considera como una falla del servicio la cual dará derecho al usuario, desde el momento en que se presente, a la resolución del contrato de servicios públicos con ese Distribuidor.
CAPÍTULO VI
DE LA CALIDAD DEL SERVICIO PÚBLICO DOMICILIARIO DE GLP
ESTÁNDARES DE LA CALIDAD
ARTÍCULO 28º. CALIDAD POR PARTE DEL COMERCIALIZADOR. El Comercializador es el responsable de la calidad del producto hasta el Punto de Recibo del Transportador. También será el responsable de la medición y generación de reportes de calidad del producto inyectado al Punto de Recibo del Transportador. La calidad involucra el contenido de olefinas, diolefinas, pentanos y más pesados presentes en la mezcla promedio, acorde con la metodología general para calcular los Precios Máximos Regulados de suministro de GLP adoptada por la Comisión.
Parágrafo. Lo Comercializadores deberán efectuar diariamente todas las pruebas descritas en la norma NTC 2303 o aquella que la modifique o sustituya, y reportar mensualmente en los formatos y medios que para tal efecto establezca la CREG.
ARTÍCULO 29º. CALIDAD POR PARTE DEL TRANSPORTADOR. El Transportador asume la custodia del producto a partir del Punto de Recibo del Transportador y hasta el Punto de Entrega del Transportador. En el Punto de Recibo el Transportador verifica las condiciones de calidad del producto con base en los reportes generados por el Comercializador. En el Punto de Entrega el Transportador mide y genera reportes de la calidad del producto exigida, acorde con los parámetros de calidad exigida en el precio máximo regulado.
Parágrafo. En el Punto de Entrega, el Transportador deberá efectuar diariamente todas las pruebas descritas en la norma NTC 2303 o aquella que la modifique o sustituya, y reportar mensualmente en los formatos y medios que para tal efecto establezca la CREG.
ARTÍCULO 30º. CALIDAD POR PARTE DEL DISTRIBUIDOR. El distribuidor será el responsable por la calidad del producto y del servicio técnico ante el usuario final. Para medir la calidad en la prestación del servicio técnico y del producto a usuario final se establecen los siguientes estándares:
30.1. Odorización del Producto. El Distribuidor será el responsable de la odorización del producto antes de la entrega a usuario final del servicio público domiciliario.
Parágrafo 1. El Distribuidor debe garantizar que todo el gas comercializado mantenga la mínima concentración de sustancia odorante por unidad de volumen de GLP que recomiende el fabricante de la respectiva sustancia para garantizar que el gas contenga suficiente olor de tal forma que sea detectado a un quinto del límite inferior de inflamabilidad del gas. El Distribuidor debe asegurarse de que los niveles de concentración no excedan estándares aceptables ambientalmente, definidos por la autoridad competente, o aquellos requeridos para no causar deterioro en equipos de usuarios. En todo caso, el Distribuidor se hace responsable por los daños que se ocasionen en los equipos de los usuarios como consecuencia de los niveles de concentración de la sustancia odorante.
Parágrafo 2. El 100% de las mediciones deben cumplir con el parámetro de medida establecido en la presente Resolución.
Parágrafo 3. Los Distribuidores deberán efectuar diariamente, en sus plantas de envasado, mediciones de odorización. Dichas mediciones podrán efectuarse utilizando métodos analíticos o fisiológicos atendiendo las normas nacionales o internacionales aplicables.
Parágrafo 4. Los Distribuidores deberán reportar mensualmente los registros de medición de odorización del producto que será comercializado a usuarios de servicio público domiciliario. Los reportes de la información obtenida de las mediciones y pruebas ordenadas en este numeral, deberán ser realizados en los formatos y medios que para el efecto establezca la CREG.
Parágrafo 5. El Distribuidor asume la función de odorización una vez se implemente un reglamento técnico de envasado sobre el cual se pueda certificar el proceso de envasado. Entre tanto, la odorización la seguirá realizando el Comercializador.
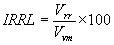
30.2. Índice de Recolección de Residuos Líquidos - IRRL. Es el porcentaje de volumen de residuos líquidos, con respecto al volumen total de GLP vendido en el mes, que ha sido recolectado por el Distribuidor en el proceso de drenaje de cilindros y tanques atendidos, antes del llenado de los mismos. Se estimará de la siguiente forma:
V rr = Volumen de residuos líquidos recolectados durante el Período de Recolección de Líquidos.
Vvm = Volumen de ventas durante el Período de Recolección de Líquidos.
Parágrafo 6. Para efectos de la medición de este índice los Distribuidores deberán tener en cuenta el siguiente procedimiento:
· Cálculo del Porcentaje Promedio de Líquidos (PPL): A partir de las pruebas diarias que realice el Transportador en cada Punto de Entrega correspondiente al mercado que atiende el Distribuidor, durante el respectivo mes calendario, éste último calcula el promedio simple del porcentaje en volumen de líquidos. Dicho cálculo lo debe realizar durante los primeros tres (3) días hábiles de cada mes calendario. El Distribuidor debe verificar que la calidad el producto entregado por el Transportador en el Punto de Entrega no se haya deteriorado con respecto a la calidad medida en el Punto de Recibo del Transportador.
· Período de Recolección de Líquidos: Período comprendido entre el primer y último día calendario del mes anterior.
· Porcentaje de Líquidos a Recolectar: El Distribuidor debe recolectar por lo menos, durante el Período de Recolección de Líquidos, el volumen correspondiente al PPL.
· Reporte de Información: El Distribuidor deberá reportar mensualmente al SUI las cifras correspondientes al PPL (%), el volumen total de GLP vendido durante el respectivo mes y el volumen de líquidos recolectados. El Distribuidor debe estar en condición de demostrar la disposición final dada a los volúmenes de residuos líquidos recolectados de acuerdo con los parámetros técnicos y ambientales vigentes
Parágrafo 7. Los volúmenes de ventas utilizados para al cálculo de este indicador deberán ser demostrados con las facturas correspondientes.
30.3. Índice de Reposición de Cilindros. Porcentaje de cilindros repuestos por el Distribuidor durante cada trimestre en relación con las metas individuales establecidas por la CREG.
Cr = Número de cilindros repuestos en el trimestre.
Cmr = Número de cilindros establecidos en la meta
individual para ese trimestre
Parágrafo 1. Este índice deberá ser mayor o igual a 100%.
Parágrafo 2. El Distribuidor deberá reportar trimestralmente al SUI los valores trimestrales de Cr y Cmr.
30.4. Índice de Respuesta a Servicio Técnico – IRST. Porcentaje de solicitudes, por tipo de evento, cuyo tiempo de atención por parte del Distribuidor está dentro del valor definido por la CREG como parámetro de referencia. Las solicitudes se clasificarán acorde con los siguientes tipos de eventos: escape de gas, incendio, calidad de la llama y solicitud de servicio. La calidad de la llama es cualquier manifestación física que puede observar el usuario en la llama, tal como coloración. La solicitud de servicio corresponde a aquellas solicitudes que se realicen a través de llamadas telefónicas u otros medios de comunicación escrita o electrónica, que tengan por objeto solicitar producto. El tiempo de atención se determina desde el momento de recibir la llamada, o registrar el evento, hasta el momento en el cual la empresa llega al sitio donde ocurrió el evento.
Donde:
NFR = Número total de solicitudes no atendidas, por tipo de evento, durante el trimestre.
Nsr = Número total de solicitudes recibidas, por tipo de evento, durante el trimestre.
Parágrafo 1. Los tiempos máximos de atención serán establecidos por la CREG, para cada tipo evento, dos años después de entrar en vigencia la presente Resolución. Dichos tiempos serán establecidos a partir de la información recolectada desde la entrada en vigencia de la presente Resolución y hasta ese momento.
Parágrafo 2. El 100% de las solicitudes deben ser atendidas dentro del parámetro de medida que establezca la CREG.
Parágrafo 3. El Distribuidor deberá: i) registrar todos los eventos durante el trimestre especificando la fecha y hora; ii) clasificar los registros por tipo de evento y cuando hay más de un registro para el mismo evento; iii) contabilizar el tiempo de atención del respectivo evento desde su registro hasta la atención del mismo; iv) calcular el indicador. Se debe realizar grabación de llamadas para registrar los eventos. El Distribuidor puede registrar los eventos utilizando cualquier otro medio en aquellos casos donde pueda demostrar que se dificulta el uso de comunicación telefónica. Esta información debe ser reportada al SUI.
Parágrafo 4. Los registros y grabaciones de llamadas se deberán conservar por tres (3) años, o el período que establezca la autoridad de vigilancia y control. El Distribuidor deberá organizar los registros de eventos de tal manera que permita a la SSPD, a la CREG y a los usuarios identificar los tiempos de atención.
ARTÍCULO 31º. RESPONSABILIDADES. Cada uno de los agentes de la cadena de prestación del Servicio Público Domiciliario de GLP será responsable por el cumplimiento de los estándares de calidad establecidos. El producto que no cumpla con los requerimientos técnicos no podrá ser comercializado a usuario final de servicio público domiciliario. En caso contrario, el agente que lo comercialice estará sujeto a las sanciones que establezcan las autoridades competentes
ARTÍCULO 32º. INCUMPLIMIENTO. En caso de incumplimiento de los estándares adoptados mediante la presente Resolución, el respectivo Agente estará sujeto a las sanciones que establezcan las autoridades competentes.
ARTÍCULO 33º. RECLAMACIONES. Los usuarios tendrán derecho a presentar reclamaciones por los indicadores reales que ellos puedan contabilizar.
ARTÍCULO 34º. Período de Transición. La entrada en vigencia de los indicadores establecidos en este capítulo para que las empresas adecuen sus sistemas de medición de parámetros y estimación de los respectivos índices, será así:
· El Índice de Respuesta a Servicio Técnico será obligatorio un año después de la entrada en vigencia de esta Resolución.
· El Índice de Disponibilidad Diaria del Producto empezará a regir tan pronto entre en vigencia el nuevo periodo tarifario.
· El Índice de Manejo de Residuos Líquidos empezará a regir tan pronto entre en vigencia esta resolución.
· El Índice de Reposición rige de acuerdo con los términos establecidos en las resoluciones que fijan las metas del Programa de Reposición y Mantenimiento de Cilindros.
CAPÍTULO VII
DE LOS USUARIOS
ARTÍCULO 35º. Derechos de los usuarios. Los usuarios finales del Servicio Público Domiciliario de GLP tienen derecho a:
a) Escoger libremente el prestador del servicio
b) Solicitar y obtener información completa, precisa y oportuna sobre las actividades y operaciones directas o indirectas que se realicen para la prestación de los servicios públicos, siempre y cuando no se trate de información calificada como secreta o reservada por la ley.
c) Recibir de los Distribuidores instrucción sobre el manejo y los riesgos que representa el uso del GLP.
d) Recibir el contenido y calidad del producto y del servicio ofrecidos por el Distribuidor en la prestación del Servicio Público Domiciliario de GLP.
e) Recibir una factura en la que conste como mínimo la información indicada en los Artículos 15º y 16º de esta Resolución y en el contrato de condiciones uniformes.
Parágrafo. Los derechos establecidos en el presente Artículo se reconocerán sin perjuicio de lo dispuesto por la Ley 142 de 1994 y demás normas que la modifiquen, sustituyan o complementen.