D651C206E178624B0525785A007A646C Resolución - 2002 - CREG082-2002
Texto del documento


RESOLUCIÓN No.082
( 17 DIC. 2002 )

donde:

n : Nivel de Tensión 4, 3 ó 2

CAj,n: Costo anual por uso de los activos del Nivel de Tensión n, para el Operador de Red j.

CAAEj,n: Costo anual equivalente de los Activos de Uso en el Nivel de Tensión n, para el Operador de Red j.

CAANEj,n: Costo anual equivalente de los activos no eléctricos asignable al Nivel de Tensión n, para el Operador de Red j.

AOMj,n: Gastos anuales de Administración, Operación y Mantenimiento asignables al Nivel de Tensión n, para el Operador de Red j.

Cada uno de los componentes que conforman los costos anuales, se determinará de conformidad con las siguientes disposiciones:

1.1 Costo Anual Equivalente de Activos de Uso (CAAEj,n):

El Costo Anual Equivalente de los Activos de Uso se determinará a partir de:

· Los inventarios de activos eléctricos que reporten los OR a la CREG con la solicitud de cargos, clasificados según el listado de unidades constructivas que se presentan en el Anexo No. 3 de la presente Resolución y las Unidades Constructivas especiales sometidos a consideración de la Comisión, en cumplimiento de las Circulares CREG No. 019, 025, 027, 029, 038 de 2002, o en aquellas que las adicionen, modifiquen o sustituyan.

· La valoración de las unidades constructivas reportadas, utilizando los costos de reposición a nuevo que se establecen en el Anexo No. 3 de la presente Resolución.

· Las vidas útiles que se reconocen a cada una de las unidades constructivas, las cuales se presentan en el Anexo No. 3 de la presente Resolución.

· El listado de terrenos asociados con cada subestación del OR, el cual debe ser reportado por el OR a la CREG, conjuntamente con la solicitud de aprobación de que tratan los Artículos 3 y 5 de la presente Resolución, indicando para cada terreno su área (m2) y su valor catastral total ($ colombianos de diciembre de 2001).

Utilizando las siguientes expresiones:

a. Nivel de Tensión 4

El costo anual equivalente de los activos de uso para este nivel se determina así:



NRj,4: Numero total de unidades constructivas de líneas radiales, del Nivel de Tensión 4, reportadas por el OR j. No se deben considerar las unidades constructivas asociadas con líneas “normalmente abiertas”.

CREi: Costo Unitario de Reposición a Nuevo Eficiente (luego de aplicar criterios de eficiencia contenidos en el numeral 1.1. del Anexo No. 8), reconocido para la Unidad Constructiva i, reportada por el OR j. Esta variable se determina así:


donde:
CRi: Costo de Reposición a nuevo para la unidad constructiva i.

Fefi : Factor de Eficiencia correspondiente al tramo de línea radial al que pertenece la Unidad Constructiva i. Este factor se determina según lo dispuesto en el numeral 1.1. del Anexo No. 8 de la presente Resolución.

r: Tasa de Descuento reconocida, en términos constantes y antes de impuestos, para remuneración por la Metodología de Ingreso Máximo. Su valor es 14.06%

Vi: Vida útil en años, reconocida para la unidad constructiva i.

Costo anual equivalente de activos de uso correspondientes a unidades constructivas diferentes a líneas radiales (CALNRj,4):


donde:

Nj,3: Número total de Unidades Constructivas del Nivel de Tensión 3, reportadas por el OR j. No se deben considerar las unidades constructivas asociadas con líneas “normalmente abiertas”, o con activos que usualmente no son utilizados en la prestación del servicio.

CRi: Costo de Reposición a nuevo para la unidad constructiva i.

PUi: Fracción del costo de la Unidad Constructiva i, que es remunerada vía cargos por uso de los STR o SDL.

r: Tasa de Descuento reconocida, en términos constantes y antes de impuestos, para remuneración por la Metodología de Precio Máximo. Su valor es 16.06%.

Vi: Vida útil en años, reconocida para la unidad constructiva i.

CAETj,3: Costo Anual de Terrenos para el Nivel de Tensión 3 del OR j. Aplica exclusivamente a las Unidades Constructivas de Subestaciones, y se calcula según lo dispuesto en el literal d de este numeral.

CASNj: Costo Anual de Unidades Constructivas que no se asocian con un Nivel de Tensión específico. Este costo se determina según lo establecido en el literal e. de este numeral.

Nsj: Número Total de Niveles de Tensión distintos al Nivel de Tensión 1 (máximo 3), para los cuales el OR j reporta activos de uso.

Dsj,3: Variable que toma los valores 1 ó 0. Su valor es 1 cuando el OR j reporta activos de uso para el Nivel de Tensión 3.

Euj,3: Energía útil del Nivel de Tensión 3 del Operador de Red j. Esta energía se estima según lo establecido en el numeral 2 del Anexo No. 7 de la presente Resolución.

CME3: Cargo Máximo eficiente a reconocer para el Nivel de Tensión 3. Este cargo se determina según lo dispuesto en el numeral 2 del Anexo No. 8 de la presente Resolución.

c. Nivel de Tensión 2

El costo anual de los activos de uso para el Nivel de Tensión 2 se determina así:



donde:

NLUj,2: Número total de Unidades Constructivas correspondientes a líneas urbanas del Nivel de Tensión 2, reportadas por el OR j. No se deben considerar las unidades constructivas asociadas con líneas “normalmente abiertas”.

CRi: Costo de Reposición a nuevo para la unidad constructiva i.

r: Tasa de Descuento reconocida, en términos constantes y antes de impuestos, para remuneración por la Metodología de Precio Máximo. Su valor es 16.06%.

Vi: Vida útil en años, reconocida para la unidad constructiva i.

Euuj,2: Energía útil urbana del Nivel de Tensión 2 del Operador de Red j. Esta energía se estima según lo establecido en el numeral 2 del Anexo No. 7 de la presente Resolución.

CMEU2: Cargo Máximo eficiente a reconocer para activos de uso correspondientes a líneas urbanas del Nivel de Tensión 2. Este cargo se determina según lo dispuesto en el numeral 3 del Anexo No. 8 de la presente Resolución.

Costo Anual Equivalente de Activos de uso correspondientes a Unidades Constructivas de líneas rurales (CARj,2):




donde:

NLRj,2: Número total de Unidades Constructivas correspondientes a líneas rurales del Nivel de Tensión 2, reportadas por el OR j. No se deben considerar las unidades constructivas asociadas con líneas “normalmente abiertas”.

CRi: Costo de Reposición a nuevo para la unidad constructiva i.

r: Tasa de Descuento reconocida, en términos constantes y antes de impuestos, para remuneración por la Metodología de Precio Máximo. Su valor es 16.06%.

Vi: Vida útil en años, reconocida para la unidad constructiva i.

Eurj,2: Energía útil rural del Nivel de Tensión 2 del Operador de Red j. Esta energía se estima según lo establecido en el numeral 2 del Anexo No. 7 de la presente Resolución.

CMER2: Cargo Máximo eficiente a reconocer para activos de uso correspondientes a líneas rurales del Nivel de Tensión 2. Este cargo se determina según lo dispuesto en el numeral 3 del Anexo No. 8 de la presente Resolución.

Costo Anual Equivalente de Activos de uso correspondientes a Unidades Constructivas diferentes a líneas rurales y urbanas (CAOj,2):


donde:

NNLj,2: Número total de Unidades Constructivas correspondientes a activos de uso diferentes a líneas urbanas y rurales, del Nivel de Tensión 2, reportadas por el OR j. No se deben considerar las unidades constructivas asociadas con líneas “normalmente abiertas” o con activos que usualmente no son utilizados en la prestación del servicio

CRi: Costo de Reposición a nuevo para la unidad constructiva i.

PUi: Fracción del costo de la Unidad Constructiva i que es remunerada vía cargos por uso de los STR o SDL.

r: Tasa de Descuento reconocida, en términos constantes y antes de impuestos, para remuneración por la Metodología de Precio Máximo. Su valor es 16.06%.

Vi: Vida útil en años, reconocida para la unidad constructiva i.

CAETj,2: Costo Anual de Terrenos para el Nivel de Tensión 2 del OR j. Aplica exclusivamente a las Unidades Constructivas de Subestaciones, y se calcula según lo dispuesto en el literal d. de este numeral. CASNj: Costo Anual de Unidades Constructivas que no se asocian con un Nivel de Tensión específico. Este costo se determina según lo establecido en el literal e. de este numeral.

Nsj: Número Total de Niveles de Tensión distintos al Nivel de Tensión 1 (máximo 3), para los cuales el OR j reporta activos de uso.

Dsj,2: Variable que toma los valores 1 ó 0. Su valor es 1 cuando el OR j reporta activos de uso para el Nivel de Tensión 2.

Euj,2: Energía útil del Nivel de Tensión 2 del Operador de Red j. Esta energía se estima según lo establecido en el numeral 2 del Anexo No. 7 de la presente Resolución.

CMEO2: Cargo Máximo eficiente a reconocer para activos de uso diferentes a líneas urbanas y rurales, del Nivel de Tensión 2. Este cargo se determina según lo dispuesto en el numeral 3 del Anexo No. 8 de la presente Resolución.

d. Costo Anual de Terrenos (CAETj,n)

Este costo se calcula para cada Nivel de Tensión de acuerdo con la siguiente expresión:





donde:

NE: Fracción del Costo Anual Equivalente de los Activos de Uso del Operador de Red, que se reconoce como Costo Anual Equivalente de Activos No Eléctricos. NE es igual a 0.041 para los niveles de tensión 4, 3 y 2.

CAAEj,n: Costo Anual Equivalente de Activos de Uso del Nivel de Tensión n para el OR j.


1.3 Gastos anuales de Administración, Operación y Mantenimiento (AOMj,n):

Los Gastos anuales por concepto de Administración, Operación y Mantenimiento que se reconocerán al Operador de Red j para el Nivel de Tensión n (AOMj,n), se estimarán de acuerdo con la siguiente expresión:


donde:

n : Niveles de tensión 4, 3 ó 2

NTj,n: Número total de unidades constructivas reportadas por el OR j, para el Nivel de Tensión n.

FAn: Fracción máxima del Costo de Reposición que se reconoce como gasto anual de administración, operación y mantenimiento en el Nivel de Tensión n, así:
Si: Fracción adicional del Costo de Reposición de la Unidad Constructiva i, que se reconoce como gasto anual de administración, operación y mantenimiento para activos en zonas de contaminación salina. Su valor es 0.005

CRi: Costo de Reposición a nuevo para la unidad constructiva i.

PUi: Fracción del costo de la Unidad Constructiva i que es remunerada vía cargos por uso de los STR o SDL.

NSNj: Número total de Unidades Constructivas reportadas por el OR j, que no están asociadas con un Nivel de Tensión específico.

Nsj: Número Total de Niveles de Tensión distintos al Nivel de Tensión 1 (máximo 3), para los cuales el OR j reporta activos de uso.

Dsj,n: Variable que toma los valores 1 ó 0. Su valor es 1 cuando el OR j reporta activos de uso para el Nivel de Tensión n.


2. Determinación de los costos anuales de los Activos de Conexión al STN del OR.

Los Costos Anuales de las Conexiones de un OR al STN (CACj), se determinarán de conformidad con la siguiente expresión:


donde:

CAACj: Costo Anual Equivalente Activos Eléctricos asociados con la conexión al STN del OR j.

CATCj: Costo Anual de Terrenos asociados con activos de conexión al STN del OR j.

CANECj: Costo Anual de Activos No Eléctricos asociados con activos de conexión al STN del OR j.

AOMCj: Gastos anuales por concepto de Administración, Operación y Mantenimiento, asociados con activos de conexión al STN, que se reconocen al Operador de Red j.

Cada una de las variables anteriormente mencionadas se calculan a partir de las siguientes expresiones:

Costo Anual Equivalente Activos Eléctricos asociados con la conexión al STN del OR j (CAACj):


donde:

NSTNj: Número total de Unidades Constructivas asociadas con activos de conexión al STN, reportadas por el OR j.

CRi: Costo de Reposición a nuevo para la unidad constructiva i.

PUi: Fracción del costo de la Unidad Constructiva i que es remunerada vía cargos por uso de los STR o SDL.

r: Tasa de Descuento reconocida, en términos constantes y antes de impuestos, para remuneración por la Metodología de Ingreso Máximo. Su valor es 14.06%.

Vi: Vida útil en años, reconocida para la unidad constructiva i.

Costo Anual de Terrenos asociados con activos de conexión al STN del OR j (CATCj):



donde:

NE: Fracción del Costo Anual Equivalente de los Activos de conexión al STN del Operador de Red, que se reconoce como Costo Anual Equivalente de Activos No Eléctricos. NE es igual a 0.041

CAACj: Costo Anual Equivalente Activos Eléctricos asociados con la conexión al STN del OR j.


Gastos anuales por concepto de Administración, Operación y Mantenimiento, asociados con activos de conexión al STN (AOMCj):


donde:


NSTNj: Número total de Unidades Constructivas asociadas con activos de conexión al STN, reportadas por el OR j.

FACi: Fracción máxima del Costo de Reposición de la Unidad Constructiva i, que se reconoce como gasto anual de administración, operación y mantenimiento de Activos de Conexión al STN. Su valor es 0.02

FASi: Fracción adicional del Costo de Reposición de la Unidad Constructiva i, que se reconoce como gasto anual de administración, operación y mantenimiento para activos de conexión al STN en zonas de contaminación salina. Su valor es 0.005

CRi: Costo de Reposición a nuevo para la unidad constructiva i.

PUi: Fracción del costo de la Unidad Constructiva i que es remunerada vía cargos por uso de los STR o SDL.

En el Anexo No. 3 de esta Resolución se presenta el listado de Unidades Constructivas de Conexión al STN, sus Costos de Reposición a Nuevo y las Vidas Útiles Reconocidas a cada una de ellas.

LUIS ERNESTO MEJÍA CASTRO
JAIME ALBERTO BLANDÓN DÍAZ
Ministro de Minas y Energía
Director Ejecutivo
Presidente
ANEXO No 2
CÁLCULO DE CARGOS POR NIVEL DE TENSIÓN

1. Cálculo de Cargos de los STR.

Los Cargos de los STR serán calculados por el LAC, de acuerdo con la siguiente metodología:

a. Para cada uno de los años del período tarifario, el LAC estimará el Ingreso Anual para remunerar los activos de uso del Nivel de Tensión 4 y las conexiones al STN, de cada OR, así:




El calculo del Ingreso Anual y del cargo de un STR, se realizará a partir del momento en que al menos uno de los Operadores de Red que lo conforman, obtenga aprobación del Costo Anual por uso de los activos del Nivel de Tensión 4 y del Costo Anual de Conexiones al STN. Los Ingresos Anuales y los Cargos de un STR se actualizarán en la medida que se aprueben, por primera vez, los Costos Anuales mencionados a los demás OR que lo conforman, y entrarán a regir a partir del mes siguiente al de aprobación.

2. Cálculo de cargos máximos para los niveles de tensión 3 y 2

Los cargos máximos para los niveles de tensión 3 y 2 se determinarán, para cada uno de los años del período tarifario, a partir de:

· Los Costos Anuales encontrados de acuerdo con la formulación contenida en el numeral 1 del Anexo No.1.

· Las energías útiles de cada Nivel de Tensión estimadas, para cada año del período tarifario, según lo establecido en el numeral 2 del Anexo No. 7 de la presente Resolución.

Los cargos máximos para los niveles de tensión 3 y 2 (CDj,3 y CDj,2 respectivamente) se calculan por medio de las siguientes expresiones:

a) Nivel de Tensión 3



- Se considerarán como activos de conexión al STN las siguientes unidades constructivas: la Bahía de Transformador con tensión mayor o igual a 220 kV, el Transformador con una tensión primaria mayor o igual a 220 kV y, secundaria, cualquier tensión y la Bahía de Transformador del lado de baja.





























2. Áreas típicas reconocidas a las Unidades Constructivas









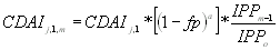
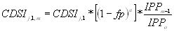
donde:

CDAIj,1,m: Cargo Máximo del Nivel de Tensión 1, por concepto de Inversión, para redes aéreas del OR j en el mes m.

CDAIj,1: Cargo Máximo del Nivel de Tensión 1, por concepto de Inversión, aprobado por la CREG para redes aéreas del OR j.

CDAMj,1,m: Cargo Máximo del Nivel de Tensión 1, por concepto de gastos de Administración, Operación y Mantenimiento, para redes aéreas del OR j en el mes m.

CDAMj,1: Cargo Máximo del Nivel de Tensión 1, por concepto de gastos de Administración, Operación y Mantenimiento, aprobado por la CREG para redes aéreas del OR j.

CDSIj,1,m: Cargo Máximo del Nivel de Tensión 1, por concepto de Inversión, para redes subterráneas del OR j en el mes m.

CDSIj,1: Cargo Máximo del Nivel de Tensión 1, por concepto de Inversión, aprobado por la CREG para redes subterráneas del OR j.

CDSMj,1,m: Cargo Máximo del Nivel de Tensión 1, por concepto de gastos de Administración, Operación y Mantenimiento, aplicable a redes subterráneas del OR j en el mes m.

CDSMj,1: Cargo Máximo del Nivel de Tensión 1, por concepto de gastos de Administración, Operación y Mantenimiento, aprobado por la CREG para redes subterráneas del OR j.

fp: Factor de Productividad Anual. Su valor será 0.0042

a: Número de años transcurridos desde aquel en el que se aprobó por primera vez al Operador de Red j, el respectivo Cargo Máximo del Nivel de Tensión 1. Por ejemplo, para aquellos OR que obtengan aprobación de Cargos en el año 2003, a es igual a cero (0) para ese año.

IPPm-1: Índice de Precios al Productor Total Nacional correspondiente al mes m-1.

IPPo: Índice de Precios al Productor Total Nacional correspondiente al mes de diciembre de 2001.


Liquidación y Recaudo
Los Cargos Máximos del Nivel de Tensión 1, serán liquidados y facturados por el OR a cada uno los Comercializadores que atiendan Usuarios Finales, conectados a su sistema y que no son propietarios de los respectivos Activos de Nivel de Tensión 1.

En el caso de Activos de Nivel de Tensión 1 que no sean propiedad del OR, éste deberá reportar al Comercializador respectivo el listado de Usuarios Finales asociados con dichos Activos. El comercializador dejará de liquidar Cargos Máximos del Nivel de Tensión 1, que remuneran Inversión, a los usuarios respectivos, a partir del mes siguiente a la fecha de recepción de dicha información por parte del OR.

Cuando la propiedad de los Activos de Nivel de Tensión 1 sea compartida con el OR, en el sentido de que un tercero sea propietario del transformador o de la red secundaria, el Operador de Red deberá informar de tal situación al comercializador quien liquidará, a partir del mes siguiente a la recepción de dicha información, el 50% del respectivo cargo Máximo del Nivel de Tensión 1, que remunera Inversión, a los Usuarios Finales respectivos.

En cualquier caso, los cargos que remuneran gastos de administración, operación y mantenimiento continuarán siendo pagados por los usuarios, y trasladados al OR, teniendo en cuenta que éste último es responsable de dichas actividades sobre la totalidad de activos del Nivel de Tensión 1, independientemente de la propiedad.

Para todos los usuarios conectados a Nivel de Tensión 1 deberá suponerse que están conectados a redes aéreas, mientras el OR no pueda establecer lo contrario.

Si un Usuario conectado al Nivel de Tensión 1, está alimentado de una red secundaria que tiene una parte aérea y otra subterránea, el cargo que podrá cobrársele será el correspondiente a redes aéreas.

Los Cargos Máximos del Nivel de Tensión 1 serán facturados por el OR a cada comercializador u OR, y pagados por estos últimos, en los mismos plazos que se establezcan para la liquidación y recaudo de los cargos por uso de STR. Estos plazos podrán ser modificados por acuerdo entre las partes.


4 CARGOS POR USO, POR NIVELES DE TENSIÓN, QUE SE UTILIZAN EN EL CÁLCULO DEL COSTO UNITARIO DE PRESTACIÓN DEL SERVICIO

Los Cargos por Uso a utilizar en el calculo del costo unitario de prestación del servicio, para un mercado de comercialización asociado con el sistema del OR j, que a su vez hace parte del Sistema de Transmisión Regional R, se determinan de acuerdo con las siguientes expresiones:

a. Nivel de Tensión 4 (Dt4,m,k):


donde:

CD4,R,m,k: Cargo del Nivel de Tensión 4, del Sistema de Transmisión Regional R, actualizado al mes m del año k, así:



donde:

PR4,j,k: Factor para referir las medidas de energía del Nivel de Tensión 4 al STN, en el sistema del OR j, durante el año k.

b. Nivel de Tensión 3 (Dt3,m,k):







d. En caso que la muestra no sea normal, se normaliza utilizando la transformación Box-Cox, y se calcula el Cargo Máximo Eficiente a reconocer, así:




l: Parámetro de la transformación.




2. CARGO MÁXIMO EFICIENTE PARA EL NIVEL DE TENSIÓN 3 (CME3)

El cargo máximo eficiente para el Nivel de Tensión 3 se calcula de manera análoga al procedimiento descrito en el numeral 1.2 de este Anexo, pero utilizando los Costos Medios del Nivel de Tensión 3 de cada OR (CMNRj,3), estimados así:



donde:

NNRj,3: Numero total de unidades constructivas del Nivel de Tensión 3, reportados por el OR j. No se deben considerar activos las unidades constructivas asociadas con líneas “normalmente abiertas”, o con activos que usualmente no son utilizados en la prestación del servicio.

CRi: Costo de Reposición a nuevo para la unidad constructiva i.

PUi: Fracción del costo de la Unidad Constructiva i, que es remunerada vía cargos por uso de los STR o SDL.

r: Tasa de Descuento reconocida, en términos constantes y antes de impuestos, para remuneración por la Metodología de Ingreso Máximo. Su valor es 16.06%.

Vi: Vida útil en años, reconocida para la unidad constructiva i.

CAETj,3: Costo Anual de Terrenos para el Nivel de Tensión 3 del OR j. Aplica exclusivamente a las Unidades Constructivas de Subestaciones, y se calcula según lo dispuesto en el literal d. del numeral 1.1 del Anexo No. 1.

CASNj: Costo Anual de Unidades Constructivas que no se asocian con un Nivel de Tensión específico. Este costo se determina según lo establecido en el literal e. del numeral 1.1 del Anexo No. 1.

Nsj: Número Total de Niveles de Tensión distintos al Nivel de Tensión 1 (máximo 3), para los cuales el OR j reporta activos de uso.

Dsj,3: Variable que toma los valores 1 ó 0. Su valor es 1 cuando el OR j reporta activos de uso para el Nivel de Tensión 3.

Euj,3: Energía útil del Nivel de Tensión 3 del Operador de Red j.


3. CARGOS MÁXIMOS EFICIENTES DEL NIVEL DE TENSIÓN 2

Para este Nivel de Tensión se determinan los siguientes Cargos Máximos Eficientes:

3.1 Cargo Máximo Eficiente a reconocer para activos de uso correspondientes a líneas urbanas (CMEU2)

donde:


3.2 Cargo Máximo eficiente a reconocer para activos de uso correspondientes a líneas rurales (CMER2)


donde:

3.3 Cargo Máximo eficiente a reconocer para activos de uso diferentes a líneas urbanas y rurales (CMEO2)

donde:





LUIS ERNESTO MEJÍA CASTRO
JAIME ALBERTO BLANDÓN DÍAZ
Ministro de Minas y Energía
Director Ejecutivo
Presidente
ANEXO No 9

CÁLCULO DE CARGOS MONOMIOS HORARIOS A PARTIR DEL CARGO MONOMIO ACUMULADO


El procedimiento que se seguirá para determinar los cargos horarios es el siguiente:

1. Elaborar las curvas de carga típicas por Nivel de Tensión (4, 3, 2, 1).

2. Determinar los períodos de carga máxima, media y mínima en función de la curva de carga típica que fue estimada para cada Nivel de Tensión.

3. Cálculo de cargos monomios horarios.

· Para la condición inicial, los costos que recupera la empresa utilizando los cargos monomios horarios son iguales a los que recupera con el cargo monomio. · Por definición de la Comisión, los cargos monomios horarios son proporcionales a la potencia promedio de cada período de carga.






LUIS ERNESTO MEJÍA CASTRO
JAIME ALBERTO BLANDÓN DÍAZ
Ministro de Minas y Energía
Director Ejecutivo
Presidente






ANEXO No. 10

PÉRDIDAS RECONOCIDAS POR NIVEL DE TENSIÓN Y FACTORES DE PÉRDIDAS PARA REFERIR AL STN


1. Pérdidas reconocidas por Nivel de Tensión

A continuación se presentan los porcentajes de pérdidas a reconocer para cada año del período regulatorio, en cada Nivel de Tensión:

Los niveles de pérdidas en los niveles de tensión 1 y 2, aplicables a cada OR en cada uno de los años del periodo tarifario, se determinan así:




donde:

PR4,j,k: Factor para referir las medidas de energía del Nivel de Tensión 4 en el año k, del OR j, al STN.

P4,k: Pérdidas a reconocer en el Nivel de Tensión 4 en el año k.

Nivel de Tensión 3:


Creg082-2002.docCreg082-2002.pdfUC_final.xls

D-113-DISTRIBUCION ENERGÍA.pdf - D-113-DISTRIBUCION ENERGÍA.pdf


Ultima actualización: 21/03/2011 05:23:56 p.m.