41738AE3C554B78C0525785A007A6420 Resolución - 2002 - CREG063-2002
Texto del documento
RESOLUCION No.063
( 12 SET. 2002 )


LA COMISIÓN DE REGULACIÓN DE ENERGÍA Y GAS


C O N S I D E R A N D O:


Que mediante el Decreto 1407 de 2002, el Gobierno Nacional dictó una directriz de política en cuanto a la transición de los períodos tarifarios, con el objeto de que los usuarios del servicio público domiciliario de energía eléctrica no se vean sometidos a un aumento súbito respecto de las tarifas que deban sufragar por la actividad de distribución, en el siguiente período tarifario;

Que el citado Decreto dispuso que la CREG “deberá efectuar una transición entre los dos períodos tarifarios, con el objeto de que los incrementos en las tarifas que deban producirse, se realicen en forma gradual”, utilizando la mejor información disponible, para lo cual deberá expedir los actos administrativos que sean necesarios;

Que el Artículo 8o. de la Resolución CREG-099 de 1997, por la cual se aprobaron los principios generales y la metodología para el establecimiento de Cargos por Uso de los Sistemas de Transmisión Regional y/o Distribución Local, dispuso que los Cargos por Uso de los Sistema de Transmisión Regional y/o Distribución Local que aprobó la Comisión tendrían una vigencia de cinco (5) años, contados a partir del primero de enero de 1998 y que, vencido este período, continuarán rigiendo hasta tanto la Comisión no apruebe los nuevos;


Que la Comisión, mediante Resolución CREG-080 de 2000, sometió a consideración de los agentes, usuarios y terceros interesados los principios generales conceptuales sobre la remuneración en distribución eléctrica (Cargos por Uso de STR’s y/o SDL’s), que permitirá establecer la metodología para determinar los cargos en dicha actividad, que regirán en el siguiente período tarifario;

Que en desarrollo del trámite adelantado a partir de la citada Resolución CREG-080 de 2000, la Comisión, mediante Resolución CREG-013 de 2002, estableció la metodología de cálculo y ajuste para la determinación de las tasas de retorno que se utilizarán en las fórmulas tarifarias de la actividad de distribución de energía eléctrica (Cargos por Uso de STR’s y/o SDL’s), para el siguiente período tarifario;

Que mediante Resolución CREG-046 de 2002, la Comisión modificó el Artículo 8o. de la Resolución CREG-099 de 1997, en el sentido de establecer que: “las empresas distribuidoras de electricidad someterán a aprobación los estudios de los Cargos por Uso del STR y/o SDL, aplicables a partir del primer año del siguiente período tarifario, de acuerdo con la metodología y plazos que adopte la Comisión de Regulación de Energía y Gas en desarrollo de la actuación iniciada con la Resolución CREG-080 de 2000”;

Que a partir de la metodología de cálculo para la determinación de las tasas de retorno, aprobada por la CREG mediante Resolución CREG-013 de 2002; la metodología de cálculo de los Cargos por Uso de STR y/o SDL vigente; y la información contenida en los estudios enviados a la CREG, por las empresas Operadoras de Red para la aprobación de los Cargos por Uso de STR y/o SDL vigentes en el actual período tarifario, la Comisión estimó que se pueden presentar incrementos tarifarios en el siguiente período;

Que la transición tarifaria no debe significar para los Operadores de Red (OR) un mayor ingreso neto y que, por lo tanto, los respectivos ingresos que reciba un OR durante el actual período tarifario, deberán ser compensados a partir del inicio de la aplicación de los Cargos por Uso que se le aprueben de conformidad con las fórmulas correspondientes al siguiente período tarifario;

Que la Comisión de Regulación de Energía y Gas, mediante Resolución CREG-053 de 2002 sometió a consideración de las empresas, usuarios y terceros interesados una propuesta de transición, en materia tarifaria, entre el actual y el siguiente período tarifario de la actividad de transporte en los Sistemas de Transmisión Regional y de Distribución Local del Sistema Interconectado Nacional;

Que la Comisión analizó los comentarios y propuestas presentadas por las empresas, usuarios y terceros interesados, como está consignado en el Documento CREG-094 de 2002;

Que la Comisión de Regulación de Energía y Gas, en su Sesión No. 197 del 12 de septiembre de 2002, aprobó las decisiones contenidas en la presente Resolución;


R E S U E L V E:



ARTÍCULO 1o. Transición en la aplicación de los Cargos por Uso de STR y/o SDL vigentes en el período tarifario actual.
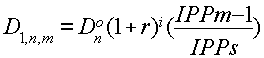
A partir del primer día del mes siguiente a la fecha de entrada en vigencia de la presente Resolución, los Cargos por Uso de los STR’s y SDL’s se determinarán de acuerdo con la siguiente expresión:



donde:

D1,n,m: Cargo por uso del nivel de tensión n, a aplicar en el mes m de prestación del servicio, durante el período 1 (primera etapa) de la transición.

Don: Cargo por uso del nivel de tensión n, correspondiente al mes de publicación de la presente Resolución, establecido según lo previsto en el numeral 8 del Anexo No. 1 de la Resolución CREG-099 de 1997.

i: Número de meses desde el mes de aprobación de esta Resolución hasta el mes m, del período 1 (primera etapa) de la transición. El valor de i no será mayor que 6. Para el primer mes de aplicación de la transición i es igual a 1. Para el mes siete y los meses siguientes de la primera etapa de la transición, hasta la entrada de los nuevos cargos, i será igual a 6.

r: Tasa de crecimiento mensual de los cargos en términos reales, su valor será igual a 0.024.

IPPm-1: Índice de Precios al Productor Total Nacional correspondiente al mes anterior al mes m de prestación del servicio.

IPPs: Índice de Precios al Productor Total Nacional correspondiente al mes de publicación de la presente Resolución.


Parágrafo 1o. La fórmula contenida en este Artículo, para determinar los Cargos por Uso de los STR y SDL, se aplicará hasta la fecha en que entren en vigencia los nuevos Cargos por Uso de cada Operador de Red para el próximo período tarifario.

Parágrafo 2o. Mensualmente, siguiendo los formatos y medios que apruebe mediante circular la Dirección Ejecutiva de la Comisión, los Operadores de Red deberán reportar a la CREG la siguiente información:

a) La energía facturada por el Operador de Red para la liquidación de los Cargos por Uso de STR y/o SDL, en cada nivel de tensión.

b) El valor de la variable D1,n,m efectivamente aplicada en la liquidación de los Cargos por Uso de STR y/o SDL, en cada nivel de tensión y en cada mes del período 1 (primera etapa) de la transición.

Concordancia: Resolución CREG 099-97 Anexo 1


ARTÍCULO 2o. Transición en la aplicación de los Cargos por Uso de STR y/o SDL vigentes en el siguiente período tarifario.
Conjuntamente con la aprobación en firme de los Cargos por Uso de STR y/o SDL de cada Operador de Red, que resulten de la metodología que se defina para el siguiente período tarifario, la Comisión establecerá la segunda etapa de la transición, de que trata esta Resolución, con el fin de alcanzar gradualmente los cargos que se aprueben, en un término máximo de veinticuatro (24) meses, y dando cumplimiento a los siguientes criterios:

a) Durante esta segunda etapa de la transición, el Operador de Red compensará totalmente los mayores ingresos recibidos por la aplicación de lo dispuesto en el Artículo 1o. de la presente Resolución (primera etapa de la transición). b) Los mayores ingresos recibidos en la primera etapa de la transición se estimarán por nivel de tensión, de acuerdo con la siguiente expresión:



ARTÍCULO 3o. La presente Resolución rige a partir de su publicación en el Diario Oficial.


Publicada en el Diario Oficial No.44.940 de Septiembre 21 de 2002
PUBLÍQUESE Y CÚMPLASE

Dada en Bogotá, D. C., el día 12 SET. 2002





LUIS ERNESTO MEJÍA CASTRO
JAIME ALBERTO BLANDÓN
Ministro de Minas y Energía
Director Ejecutivo
Presidente
Doble click sobre el archivo anexo para bajarlo

Creg063-2002.docCreg063-2002.pdf


Ultima actualización: 03/21/2011 05:23:04 PM