4E1B0C69AB6284F20525785A007A62AE Resolución - 1998 - CREG094-98
Texto del documento
Resolución No. 94
(Septiembre 04 de 1998)




Por la cual se adoptan medidas que propenden por la igualdad de tratamiento entre usuarios de igual condición, en los diferentes Mercados de Comercialización del Sistema de Interconectado Nacional.


LA COMISION DE REGULACION DE ENERGIA Y GAS
Artículo 1º. Definiciones: Para efectos de esta resolución se aplican las definiciones adoptadas en el Artículo 1º de la Resolución CREG-079/97.

Artículo 2º. Límite al factor de subsidio:
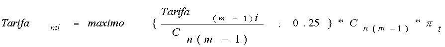
A partir de la vigencia de la presente Resolución, y durante el periodo de transición, la tarifa de los consumos anteriores al Consumo de Nivelación se liquidarán con base en la siguiente expresión, que tiene implícito el límite al factor de subsidio:

donde:



: Es el Costos de prestación del servicio en el nivel de tensión n, para el mes m-1, como se define en la resolución CREG-079/97
: Es la indexación mensualizada, con base en la inflación proyecta para el año t, como se define en la resolución CREG-079/97



Artículo 3º. Unificación del Consumo de Nivelación:
El plan de ajustes establecido por los comercializadores para 1998, previsto en el Artículo 6º. de la resolución CREG 079/97, a partir de la vigencia de la presente resolución quedará así:


Concordancia : Resolución-CRG79-97-Art:6
Artículo 4º. Vigencia: La presente Resolución rige a partir de la fecha de su publicación en el Diario Oficial, y deroga aquellas normas que le sean contrarias.
Doble click sobre el archivo anexo para bajarlo

Crg94_98.docCREG094-98.pdf - CREG094-98.pdf


Ultima actualización: 10/20/2014 03:32:09 PM