2FDA7F02200413940525785A007A5F1E Resolución - 1997 - CRG217-97
Texto del documento

LA COMISION DE REGULACION DE ENERGIA Y GAS

C O N S I D E R A N D O:



Que la Comisión de Regulación de Energía y Gas tiene la facultad legal de establecer el Reglamento de Operación, el cual incluye los principios, criterios y procedimientos para regular el funcionamiento del mercado mayorista de energía eléctrica, de conformidad con lo señalado en la Ley 143 de 1994;

Que de acuerdo con el Artículo 88 de la Ley 143 de 1994: “Cuando el país se vea abocado a ejecutar un racionamiento de energía eléctrica, ya sea por limitaciones técnicas o catástrofe natural éste se llevará a cabo siguiendo los lineamientos trazados por el estatuto de racionamiento que con tal fin establecerá la Comisión de Regulación de Energía y Gas. Este Estatuto debe estar inspirado en los principios de solidaridad y equidad para que todas las regiones atendidas por el sistema interconectado nacional participen en la distribución nacional del déficit energético”.

Que la Comisión debe regular el funcionamiento del Sistema Interconectado Nacional en condiciones de racionamiento, a fin de minimizar su costo para la sociedad como un todo;

Que conforme a lo dispuesto en la Ley 143 de 1994, el Consejo Nacional de Operación expresó sus opiniones sobre los aspectos regulados en la presente Resolución;


RESUELVE:



ARTICULO 1o. DEFINICIONES. Para efectos de la presente resolución se usarán las siguientes definiciones generales:


Autogenerador.
Es aquella persona natural o jurídica que produce energía eléctrica exclusivamente para atender sus propias necesidades. Por lo tanto, no usa la red pública para fines distintos al de obtener respaldo del Sistema Interconectado Nacional (SIN), y puede o no, ser el propietario del sistema de generación. (Resolución CREG-084 de 1996).


Cogenerador.
Es aquella persona natural o jurídica que produce energía utilizando un proceso de Cogeneración, y que puede o no, ser el propietario del sistema de Cogeneración. (Resolución CREG-085 de 1996).


Mercado de Comercialización. Es el conjunto de usuarios finales conectados a un mismo sistema de transmisión regional y/o distribución local.


Precio Umbral. Es el costo equivalente al primer segmento de la Curva de Costos de Racionamiento definida por la UPME.


Racionamiento de Emergencia. Déficit originado en una limitación técnica, causada por la pérdida en tiempo real de operación de una o varias unidades o plantas de generación, o la salida forzada de activos de transporte de energía, que implican que no es posible cubrir la demanda total esperada del Sistema Interconectado Nacional con cobertura regional o nacional.


Racionamiento Programado. Déficit originado en una limitación técnica identificada (incluyendo la falta de recursos energéticos) o en una catástrofe natural, que implican que el parque de generación es insuficiente para cubrir la demanda total esperada del Sistema Interconectado Nacional.


Racionamiento Programado con Cobertura Nacional. Déficit originado en una limitación técnica identificada o en una catástrofe natural, que implica que el parque de generación es insuficiente para cubrir la demanda total esperada del Sistema Interconectado Nacional y es técnicamente posible distribuir el déficit a nivel nacional.


Racionamiento Programado con Cobertura Regional. Déficit originado en una limitación técnica identificada o en una catástrofe natural, que implica que el parque de generación es insuficiente para cubrir la demanda total esperada del Sistema Interconectado Nacional y no es técnicamente posible distribuir el déficit a nivel nacional.
Derogado : Resolución-CREG119-98-Art:15


ARTICULO 2o. INFORMACION GENERAL BASE PARA APLICAR UN RACIONAMIENTO PROGRAMADO. A más tardar el día quince (15) de diciembre de 1997, las empresas que operen físicamente activos pertenecientes al STN, STR´s o SDL´s que tengan usuarios finales conectados, enviarán al CND en un formato definido por éste, un listado con la identificación de los circuitos aislables clasificados de acuerdo con el tipo de usuarios que se encuentren conectados a los mismos:

1. Circuito Residencial: Circuito en el cual el mayor porcentaje de la demanda de energía corresponde al sector residencial y cuya topología de conexión a los sistemas de transporte de energía, permite su desconexión individual del Mercado de Comercialización al que pertenece.

2. Circuito Comercial: Circuito en el cual el mayor porcentaje de la demanda de energía corresponde al sector comercial y cuya topología de conexión a los sistemas de transporte de energía, permite su desconexión individual del Mercado de Comercialización al que pertenece.

3. Circuito Industrial: Circuito en el cual el mayor porcentaje de la demanda de energía corresponde al sector industrial y cuya topología de conexión a los sistemas de transporte de energía, permite su desconexión individual del Mercado de Comercialización al que pertenece.

4. Circuito Oficial: Circuito en el cual el mayor porcentaje de la demanda de energía corresponde al sector oficial y cuya topología de conexión a los sistemas de transporte de energía, permite su desconexión individual del Mercado de Comercialización al que pertenece.

5. Circuito No Regulado Eléctricamente Aislable: Circuito al que se encuentra conectado exclusivamente un Usuario No Regulado y cuya topología de conexión a los sistemas de transporte de energía, permite su desconexión individual del Mercado de Comercialización al que pertenece.

Los Circuitos descritos en los Numerales 1 a 4 deberán clasificarse en Desconectables y No Desconectables, entendiendo por Circuitos No Desconectables aquellos en los cuales se encuentran conectados usuarios que por la actividad que desarrollan no experimentarán suspensiones en el servicio de suministro de electricidad en situaciones de Racionamiento Programado (Hospitales, Clínicas, Acueductos, Aeropuertos, Cárceles, Instalaciones Militares y de Policía).

Así mismo se deberá determinar para cada uno de los Circuitos (Numerales 1 a 5), un estimativo de la demanda semanal de energía asociada con cada uno de ellos, expresada en porcentaje de la demanda total del Mercado de Comercialización correspondiente.

PARAGRAFO 1o. Las empresas a las que se refiere el presente Artículo, mantendrán actualizado al CND, sobre las novedades que se presenten en sus sistemas con respecto a la clasificación y a las características propias de sus circuitos.

PARAGRAFO 2o. La Superintendencia de Servicios Público Domiciliarios podrá en cualquier momento solicitar esta información y aplicar cuando sea del caso, las sanciones previstas en la Ley.
Derogado : Resolución-CREG119-98-Art:15


ARTICULO 3o. DECLARACION DE RACIONAMIENTO PROGRAMADO. El proceso de Declaración de Racionamiento se iniciará cuando tenga ocurrencia una de las siguientes situaciones:

a) Cuando durante cinco (5) días, de los últimos siete (7) días calendario, el promedio aritmético de los valores del Costo Marginal horario del redespacho, correspondientes a los períodos de las 9 a las 12 horas y de las 18 a las 21 horas, iguale o supere el Precio Umbral.

b) Cuando de los análisis sobre la situación energética del SIN de corto, mediano y largo plazo elaborados por el CND, de acuerdo con las disposiciones establecidas en el Reglamento de Operación y los criterios y supuestos que defina el CNO, se concluya que es necesario aplicar un Racionamiento Programado.

c) Cuando se prevea que un Racionamiento de Emergencia, se prolongará por un período superior a diez (10) días, de acuerdo con el siguiente procedimiento de evaluación: cuando un Racionamiento de Emergencia supere los cuatro días continuos, el CNO deberá evaluar la situación el quinto día y establecer si la emergencia tendrá una duración superior a los diez días continuos; si se establece que el Racionamiento de Emergencia sobrepasará los diez días continuos, el déficit se distribuirá siguiendo los lineamientos de un Racionamiento Programado a partir del sexto día, con base en las disposiciones de la presente resolución.

De ocurrir alguna de las situaciones planteadas, el CND emitirá un concepto con recomendaciones específicas sobre la magnitud y la duración esperada del racionamiento.

El concepto será enviado inmediatamente al Ministro de Minas y Energía, a la CREG y al Presidente del CNO, quien citará a reunión extraordinaria de dicho organismo con el fin de evaluar y emitir concepto sobre la necesidad de declarar Racionamiento Programado.

El Ministro de Minas y Energía, una vez valorados los conceptos del CND y/o el CNO, tomará las decisiones a que hubiere lugar sobre la declaración de racionamiento, en los términos de la presente resolución, las cuales serán comunicadas al CNO para su aplicación.

PARAGRAFO. Si la recomendación de racionar obedece a la causal establecida en el literal a) del presente Artículo, el CND y el CNO para proponer la magnitud del racionamiento, tendrán en cuenta las disposiciones contenidas en el Artículo 6o de la presente Resolución.
Derogado : Resolución-CREG119-98-Art:15


ARTICULO 4o. PROGRAMACION DEL RACIONAMIENTO. Una vez declarado el racionamiento, se aplicarán programas semanales (7 días calendario) de suspensión del servicio. Transcurridos cinco (5) días de la aplicación del Programa Semanal de Racionamiento de Energía establecido (Ver Artículo 9o de la presente Resolución), el CND efectuará un análisis sobre la persistencia de una o de varias de las señales que originaron la declaratoria. De persistir la señal de déficit, el racionamiento se prorrogará de manera automática por una semana adicional. En este caso, el CND recomendará la magnitud de Racionamiento Programado aplicable, la cual será ratificada por el Ministro de Minas y Energía.
Derogado : Resolución-CREG119-98-Art:15


ARTICULO 5o. SUSPENSION DEL RACIONAMIENTO PROGRAMADO. El Ministro de Minas y Energía tomará la decisión de suspender un Racionamiento Programado después de valorar los conceptos del CND y/o el CNO.
Derogado : Resolución-CREG119-98-Art:15


ARTICULO 6o. MAGNITUD DEL RACIONAMIENTO PROGRAMADO CON COBERTURA NACIONAL. Para determinar la magnitud de un Racionamiento Programado o Prorrogado con Cobertura Nacional y definir la cantidad de energía a abastecer el CNO tendrá en cuenta, además de los análisis energéticos, la siguiente relación Precios - Cantidades:

donde:
Los costos que determinan la curva de Demanda a Abastecer y la metodología de actualización mensual en pesos de tales costos, serán revisados por la UPME anualmente. Los resultados de dichas revisiones serán publicados a más tardar el 30 de noviembre de cada año.
Derogado : Resolución-CREG119-98-Art:15


ARTICULO 7o. CALCULO DE LA DEMANDA A RACIONAR. Con base en la magnitud de racionamiento declarado (MR), expresado en porcentaje, el CND calculará el porcentaje a racionar () aplicable a los circuitos, descontando de la demanda total, para dicho cálculo, la demanda de los Circuitos a los cuales no se les aplicará el racionamiento, según las prioridades establecidas en el Artículo 8o de la presente Resolución.
Derogado : Resolución-CREG119-98-Art:15


ARTICULO 8o. DISTRIBUCION DEL RACIONAMIENTO PROGRAMADO. De tomarse la decisión de racionar, el CND informará a todos los comercializadores el porcentaje de racionamiento asignado (), con el objeto de que estas empresas implementen o adecuen sus programas de racionamiento y coordinen con las empresas que operen físicamente activos en el STN, STR´s o SDL´s, que tengan usuarios finales conectados, el programa de interrupción de Circuitos. Dichas interrupciones se efectuarán de acuerdo con la siguiente guía de prioridades:
donde:
MR: Magnitud Racionamiento Declarado (Expresado en Porcentaje con respecto a la Demanda Total).
: Porcentaje Promedio Semanal de Energía a racionar por Circuito.
PARAGRAFO. Racionamientos iguales o inferiores a 1.5%, serán manejados operativamente afectando el Voltaje de suministro de electricidad en el SIN. Para aplicar este racionamiento se procederá de acuerdo con las siguientes disposiciones:
a) El CND evaluará la necesidad de aplicar este tipo de racionamiento en forma preventiva y previa a la declaración de un Racionamiento Programado, o si su aplicación debe postergarse hasta que se declare el Racionamiento Programado. Al respecto emitirá concepto con recomendaciones específicas sobre su duración y magnitud.
b) Dicho concepto será enviado inmediatamente al Ministro de Minas y Energía, a la CREG y al Presidente del CNO, quien citará a reunión extraordinaria de dicho organismo con el fin de analizar la situación y emitir concepto sobre la necesidad de aplicar este tipo de racionamiento, su magnitud y su duración;
c) Si el CNO emite concepto favorable su aplicación será: i) efectiva a partir del día siguiente, en caso de que la medida sea de carácter preventivo; o ii) efectiva a partir del día siguiente a la declaración del Racionamiento Programado.
d) El racionamiento de que trata este parágrafo será coordinado por el CND y los CRD´s y manejado operativamente por los transportadores.
e) La suspensión de esta medida se efectuará previa decisión del CNO si es de carácter preventivo, o cuando cese el Racionamiento Programado.
Derogado : Resolución-CREG119-98-Art:15


ARTICULO 9o. PROGRAMA SEMANAL DE RACIONAMIENTO DE ENERGIA. El CND informará a todos los comercializadores y éstos a las empresas que operen físicamente activos del STN, STR’s o SDL’s, la magnitud de la demanda de energía que deben racionar. Los comercializadores serán responsables de efectuar la distribución del racionamiento más apropiada entre sus diferentes clases de Circuitos, de acuerdo con lo establecido en el Artículo 8o. de la presente Resolución.

Con base en la magnitud de racionamiento asignada, cada comercializador, antes de las nueve (9) horas del día previo al inicio del racionamiento, o su prórroga, enviará al CND un Programa Semanal de Racionamiento de Energía que refleje el porcentaje () establecido, de acuerdo con lo previsto en el Parágrafo 4o. del presente Artículo.

El Programa Semanal de Racionamiento de Energía para cada comercializador, aplicable a todos los usuarios, se diligenciará de acuerdo con el siguiente formato :
PROGRAMA SEMANAL DE RACIONAMIENTO DE ENERGIA POR COMERCIALIZADOR

donde :
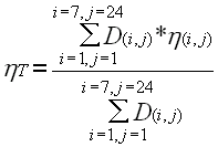
(i,j) Porcentaje de Racionamiento Programado por el comercializador para el Día i en la Hora j; este racionamiento podrá ser ejecutado mediante apertura de circuitos o reducciones voluntarias de consumo (autorracionamiento).
La consistencia y factibilidad de este Programa Semanal de Racionamiento para cada comercializador, se constatará por medio del cumplimiento de la siguiente expresión: donde :

T Porcentaje Promedio Semanal de Energía a racionar para cada comercializador.
D(i,j) Demanda de los usuarios del comercializador correspondiente, en el Día i en la Hora j. Esta Demanda se estimará con base en la Demanda de Energía correspondiente a la semana previa a la Declaración de Racionamiento, ajustada estacionalmente.

PARAGRAFO 1o. El CND en coordinación con los CRD´s verificará si las condiciones técnicas y operacionales resultantes, conllevan a restricciones operativas localizadas en alguna(s) parte(s) del Sistema Interconectado Nacional. En caso de que ésto ocurra, tales restricciones se deberán considerar previamente para determinar adecuadamente la distribución de la carga a desconectar. En este caso el CND ajustará el programa en coordinación con los agentes involucrados. De no ser posible el acuerdo, el CND ajustará el Programa de manera autónoma, previo concepto del CNO, informando en todo caso a los agentes sobre el Programa Semanal de Suministro de Energía que se deberá aplicar.

PARAGRAFO 2o. Cuando el CND prevea que habrá un déficit de potencia en alguna(s) hora(s) específica(s), realizará de manera autónoma los ajustes correspondientes a los Programas de Racionamiento, informando en todo caso a los agentes del sistema.

PARAGRAFO 3o. En caso de que un comercializador no envíe al CND el Programa Semanal de Racionamiento de Energía dentro de los términos estipulados, previo concepto del CNO, el CND de manera autónoma definirá dicho Programa, siendo de cumplimiento obligatorio las suspensiones que deberá efectuar la empresa que opere físicamente activos del STN, STR o SDL del Mercado de Comercialización respectivo.

PARAGRAFO 4o. Cuando en un mismo Circuito exista más de un comercializador, el programa de suspensiones se hará de común acuerdo entre los comercializadores involucrados. Si no hay acuerdo entre ellos, el programa será definido por el comercializador que atienda la mayor demanda de energía en dicho Circuito, asegurando que el asignado a dichos comercializadores sea factible de cumplir.
Derogado : Resolución-CREG119-98-Art:15


ARTÍCULO 10o. PROGRAMA DE APERTURA DE CIRCUITOS.
Cada comercializador informará a los transportadores del respectivo Mercado de Comercialización el programa semanal de apertura de circuitos, en cumplimiento de los Artículos 8o. y 9o. de la presente Resolución.
Derogado : Resolución-CREG119-98-Art:15


ARTICULO 11o. PRECIO DE BOLSA EN SITUACIONES DE RACIONAMIENTO. En caso de Racionamiento Programado o de Emergencia los agentes continuarán ofertando en la Bolsa de acuerdo con las reglas vigentes (Artículo 6o de la Resolución CREG-055 de 1994).

El precio de Bolsa de Energía horario en la hora j del día i, será igual al precio ofertado por la planta o unidad marginal en el nivel de generación conforme al despacho ideal para atender la demanda comercial para esa hora. La liquidación de las transacciones se efectuará con las reglas vigentes.
Derogado : Resolución-CREG119-98-Art:15


ARTICULO 12o. AUTOGENERADORES, COGENERADORES Y PLANTAS MENORES. Con el único propósito de aumentar la disponibilidad de energía eléctrica en el SIN, el CND evaluará la necesidad de contar con energía adicional proveniente de Autogeneradores, Cogeneradores y Plantas Menores en forma preventiva y previa a la declaración de un Racionamiento Programado, o durante una situación de Racionamiento Programado. Al respecto emitirá concepto con recomendaciones específicas sobre el período previsto de aplicación de esta medida.
Dicho concepto será enviado inmediatamente al Ministro de Minas y Energía, a la CREG y al Presidente del CNO.
Valorado el concepto del CND, el Ministro de Minas y Energía podrá anunciar públicamente que los agentes mencionados podrán participar transitoriamente en el mercado mayorista de electricidad.
Los Autogeneradores, Cogeneradores y Plantas Menores con telemedida, podrán negociar su disponibilidad excedentaria de energía en los siguientes términos:
a) Ofertándola directamente en la Bolsa, para lo cual la capacidad instalada mínima que se exige para participar en la Bolsa, no será tenida en cuenta. La energía efectivamente entregada por estos agentes al sistema, será remunerada al Precio de Bolsa en el día y la hora correspondiente.

b) Negociándola con comercializadores y/o generadores del SIN a precios pactados libremente.


PARAGRAFO. El Ministro de Minas y Energía, previo concepto del CND, tomará la decisión sobre la fecha de suspensión de las transacciones que autoriza el presente Artículo.
Derogado : Resolución-CREG119-98-Art:15


ARTICULO 13o. DESVIACIONES CON RESPECTO AL PROGRAMA SEMANAL DE RACIONAMIENTO DE ENERGIA. Durante situaciones de Racionamiento Programado, las empresas que operen físicamente activos del STN, STR´s o SDL´s que tengan usuarios finales conectados, serán responsables ante los comercializadores que los atienden, por el cumplimiento del Programa de Apertura de Circuitos. Así mismo, los comercializadores serán responsables por el cumplimiento del Porcentaje Promedio Semanal de Energía a Racionar () asignado. En la aplicación del Programa correspondiente no podrán excederse las siguientes desviaciones:


Las desviaciones semanales que excedan los valores admisibles, se sumarán o sustraerán del asignado a los comercializadores respectivos, en la siguiente semana de racionamiento.
Si durante la semana previa al levantamiento del racionamiento, se presentan desviaciones que excedan los valores admisibles, el SIC abrirá cuentas débito para cada uno de los comercializadores que hayan excedido la desviación, liquidándoles la energía que dejaron de racionar o racionaron en exceso con relación a la desviación admisible, al Precio Promedio de la Bolsa de Energía calculado durante todo el período de racionamiento. Los fondos recaudados, quedarán a disposición de la Superintendencia de Servicios Públicos, sin perjuicio de las sanciones que tal entidad decida implementar.
Derogado : Resolución-CREG119-98-Art:15


ARTICULO 14o. RACIONAMIENTO DE EMERGENCIA. En caso de presentarse una situación que implique la aplicación de un Racionamiento de Emergencia, el procedimiento a seguir se reglamenta a continuación:
a) El CND determinará la magnitud de la demanda horaria a desconectar, de acuerdo con las características e implicaciones de la emergencia.
b) El CND deberá verificar si las condiciones técnicas y operacionales resultantes, conllevan a restricciones operativas localizadas en alguna(s) parte(s) del Sistema Interconectado Nacional. En caso de que esto ocurra, tales restricciones se deberán considerar previamente para determinar adecuadamente la distribución de la carga a desconectar.
c) La distribución de la demanda a desconectar se hará en forma proporcional a la demanda horaria de cada área operativa.
d) Cada Centro Regional de Despacho, de acuerdo con las instrucciones impartidas por el CND en desarrollo de los literales a) a c), distribuirá la demanda a desconectar entre los sistemas sobre los cuales ejerce control.
e) La distribución de la demanda a desconectar entre los usuarios finales del servicio, dependerá de las características y duración prevista de la emergencia. En la medida de lo posible, la distribución de la demanda a desconectar seguirá los lineamientos establecidos en el Artículo 8o de la presente Resolución. De no ser posible, la distribución de la demanda a desconectar será el resultado de las restricciones y exigencias técnicas y operativas de cada sistema.
Derogado : Resolución-CREG119-98-Art:15


ARTICULO 15o. DEROGATORIAS. Quedan derogadas las siguientes disposiciones : Numeral 1.1.4.4, Anexo A de la Resolución CREG-024 de 1995; y la Resolución CREG-070 de 1995.
Ver : Resolución-CREG119-98-Art:15

ARTICULO 16o. La presente resolución rige a partir del 1o. de Diciembre de 1997, previa su publicación en el Diario Oficial.

PUBLIQUESE Y CUMPLASE


ORLANDO CABRALES MARTINEZ
Ministro de Minas y Energía
Presidente
JORGE ENRIQUE MERCADO DIAZ
Director Ejecutivo


Doble click sobre el archivo anexo para bajarlo

Cr217-97.docCr217-97.pdf


Ultima actualización: 21/03/2011 05:19:23 p.m.